分布式锁用 Redis 还是 Zookeeper?

90 阅读15分钟

为什么用分布式锁?

在讨论这个问题之前,我们先来看一个业务场景:

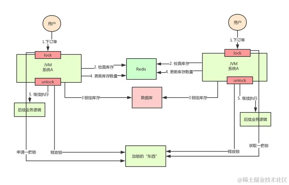
系统A是一个电商系统,目前是一台机器部署,系统中有一个用户下订单的接口,但是用户下订单之前一定要去检查一下库存,确保库存足够了才会给用户下单。

由于系统有一定的并发,所以会预先将商品的库存保存在redis中,用户下单的时候会更新redis的库存。

此时系统架构如下:

图片

但是这样一来会产生一个问题:假如某个时刻,redis里面的某个商品库存为1,此时两个请求同时到来,其中一个请求执行到上图的第3步,更新数据库的库存为0,但是第4步还没有执行。

而另外一个请求执行到了第2步,发现库存还是1,就继续执行第3步。

这样的结果,是导致卖出了2个商品,然而其实库存只有1个。

很明显不对啊!这就是典型的库存超卖问题

此时,我们很容易想到解决方案:用锁把2、3、4步锁住,让他们执行完之后,另一个线程才能进来执行第2步。

图片

按照上面的图,在执行第2步时,使用Java提供的synchronized或者ReentrantLock来锁住,然后在第4步执行完之后才释放锁。

这样一来,2、3、4 这3个步骤就被“锁”住了,多个线程之间只能串行化执行。

但是好景不长,整个系统的并发飙升,一台机器扛不住了。现在要增加一台机器,如下图:

图片

增加机器之后,系统变成上图所示,我的天!

假设此时两个用户的请求同时到来,但是落在了不同的机器上,那么这两个请求是可以同时执行了,还是会出现库存超卖的问题。

为什么呢?因为上图中的两个A系统,运行在两个不同的JVM里面,他们加的锁只对属于自己JVM里面的线程有效,对于其他JVM的线程是无效的。

因此,这里的问题是:Java提供的原生锁机制在多机部署场景下失效了

这是因为两台机器加的锁不是同一个锁(两个锁在不同的JVM里面)。

那么,我们只要保证两台机器加的锁是同一个锁,问题不就解决了吗?

此时,就该分布式锁隆重登场了,分布式锁的思路是:

在整个系统提供一个全局、唯一的获取锁的“东西”,然后每个系统在需要加锁时,都去问这个“东西”拿到一把锁,这样不同的系统拿到的就可以认为是同一把锁。

至于这个“东西”,可以是Redis、Zookeeper,也可以是数据库。

文字描述不太直观,我们来看下图:

图片

通过上面的分析,我们知道了库存超卖场景在分布式部署系统的情况下使用Java原生的锁机制无法保证线程安全,所以我们需要用到分布式锁的方案。

那么,如何实现分布式锁呢?接着往下看!

基于Redis实现分布式锁

上面分析为啥要使用分布式锁了,这里我们来具体看看分布式锁落地的时候应该怎么样处理。扩展:Redisson是如何实现分布式锁的? 最常见的一种方案就是使用Redis做分布式锁

使用Redis做分布式锁的思路大概是这样的:在redis中设置一个值表示加了锁,然后释放锁的时候就把这个key删除。

具体代码是这样的:

// 获取锁
// NX是指如果key不存在就成功,key存在返回false,PX可以指定过期时间
SET anyLock unique_value NX PX 30000


// 释放锁:通过执行一段lua脚本
// 释放锁涉及到两条指令,这两条指令不是原子性的
// 需要用到redis的lua脚本支持特性,redis执行lua脚本是原子性的
if redis.call("get",KEYS[1]) == ARGV[1] then
return redis.call("del",KEYS[1])
else
return 0
end

这种方式有几大要点:

  • 一定要用SET key value NX PX milliseconds 命令

    如果不用,先设置了值,再设置过期时间,这个不是原子性操作,有可能在设置过期时间之前宕机,会造成死锁(key永久存在)

  • value要具有唯一性

    这个是为了在解锁的时候,需要验证value是和加锁的一致才删除key。

    这是避免了一种情况:假设A获取了锁,过期时间30s,此时35s之后,锁已经自动释放了,A去释放锁,但是此时可能B获取了锁。A客户端就不能删除B的锁了。

图片

除了要考虑客户端要怎么实现分布式锁之外,还需要考虑redis的部署问题。

redis有3种部署方式:

  • 单机模式
  • master-slave + sentinel选举模式
  • redis cluster模式

使用redis做分布式锁的缺点在于:如果采用单机部署模式,会存在单点问题,只要redis故障了。加锁就不行了。

采用master-slave模式,加锁的时候只对一个节点加锁,即便通过sentinel做了高可用,但是如果master节点故障了,发生主从切换,此时就会有可能出现锁丢失的问题。

基于以上的考虑,其实redis的作者也考虑到这个问题,他提出了一个RedLock的算法,这个算法的意思大概是这样的:

假设redis的部署模式是redis cluster,总共有5个master节点,通过以下步骤获取一把锁:

  • 获取当前时间戳,单位是毫秒
  • 轮流尝试在每个master节点上创建锁,过期时间设置较短,一般就几十毫秒
  • 尝试在大多数节点上建立一个锁,比如5个节点就要求是3个节点(n / 2 +1)
  • 客户端计算建立好锁的时间,如果建立锁的时间小于超时时间,就算建立成功了
  • 要是锁建立失败了,那么就依次删除这个锁
  • 只要别人建立了一把分布式锁,你就得不断轮询去尝试获取锁

但是这样的这种算法还是颇具争议的,可能还会存在不少的问题,无法保证加锁的过程一定正确。

图片

另一种方式:Redisson

此外,实现Redis的分布式锁,除了自己基于redis client原生api来实现之外,还可以使用开源框架:Redission

Redisson是一个企业级的开源Redis Client,也提供了分布式锁的支持。我也非常推荐大家使用,为什么呢?

回想一下上面说的,如果自己写代码来通过redis设置一个值,是通过下面这个命令设置的。

  • SET anyLock unique_value NX PX 30000

这里设置的超时时间是30s,假如我超过30s都还没有完成业务逻辑的情况下,key会过期,其他线程有可能会获取到锁。

这样一来的话,第一个线程还没执行完业务逻辑,第二个线程进来了也会出现线程安全问题。所以我们还需要额外的去维护这个过期时间,太麻烦了~

我们来看看redisson是怎么实现的?先感受一下使用redission的爽:

Config config = new Config();
config.useClusterServers()
.addNodeAddress("redis://192.168.31.101:7001")
.addNodeAddress("redis://192.168.31.101:7002")
.addNodeAddress("redis://192.168.31.101:7003")
.addNodeAddress("redis://192.168.31.102:7001")
.addNodeAddress("redis://192.168.31.102:7002")
.addNodeAddress("redis://192.168.31.102:7003");

RedissonClient redisson = Redisson.create(config);


RLock lock = redisson.getLock("anyLock");
lock.lock();
lock.unlock();

就是这么简单,我们只需要通过它的api中的lock和unlock即可完成分布式锁,他帮我们考虑了很多细节:\

  • redisson所有指令都通过lua脚本执行,redis支持lua脚本原子性执行

  • redisson设置一个key的默认过期时间为30s,如果某个客户端持有一个锁超过了30s怎么办?

    redisson中有一个watchdog的概念,翻译过来就是看门狗,它会在你获取锁之后,每隔10秒帮你把key的超时时间设为30s

    这样的话,就算一直持有锁也不会出现key过期了,其他线程获取到锁的问题了。

  • redisson的“看门狗”逻辑保证了没有死锁发生。

    (如果机器宕机了,看门狗也就没了。此时就不会延长key的过期时间,到了30s之后就会自动过期了,其他线程可以获取到锁)

图片

这里稍微贴出来其实现代码:

// 加锁逻辑
private <T> RFuture<Long> tryAcquireAsync(long leaseTime, TimeUnit unit, final long threadId) {
    if (leaseTime != -1) {
        return tryLockInnerAsync(leaseTime, unit, threadId, RedisCommands.EVAL_LONG);
    }
    // 调用一段lua脚本,设置一些key、过期时间
    RFuture<Long> ttlRemainingFuture = tryLockInnerAsync(commandExecutor.getConnectionManager().getCfg().getLockWatchdogTimeout(), TimeUnit.MILLISECONDS, threadId, RedisCommands.EVAL_LONG);
    ttlRemainingFuture.addListener(new FutureListener<Long>() {
        @Override
        public void operationComplete(Future<Long> future) throws Exception {
            if (!future.isSuccess()) {
                return;
            }

            Long ttlRemaining = future.getNow();
            // lock acquired
            if (ttlRemaining == null) {
                // 看门狗逻辑
                scheduleExpirationRenewal(threadId);
            }
        }
    });
    return ttlRemainingFuture;
}


<T> RFuture<T> tryLockInnerAsync(long leaseTime, TimeUnit unit, long threadId, RedisStrictCommand<T> command) {
    internalLockLeaseTime = unit.toMillis(leaseTime);

    return commandExecutor.evalWriteAsync(getName(), LongCodec.INSTANCE, command,
              "if (redis.call('exists', KEYS[1]) == 0) then " +
                  "redis.call('hset', KEYS[1], ARGV[2], 1); " +
                  "redis.call('pexpire', KEYS[1], ARGV[1]); " +
                  "return nil; " +
              "end; " +
              "if (redis.call('hexists', KEYS[1], ARGV[2]) == 1) then " +
                  "redis.call('hincrby', KEYS[1], ARGV[2], 1); " +
                  "redis.call('pexpire', KEYS[1], ARGV[1]); " +
                  "return nil; " +
              "end; " +
              "return redis.call('pttl', KEYS[1]);",
                Collections.<Object>singletonList(getName()), internalLockLeaseTime, getLockName(threadId));
}



// 看门狗最终会调用了这里
private void scheduleExpirationRenewal(final long threadId) {
    if (expirationRenewalMap.containsKey(getEntryName())) {
        return;
    }

    // 这个任务会延迟10s执行
    Timeout task = commandExecutor.getConnectionManager().newTimeout(new TimerTask() {
        @Override
        public void run(Timeout timeout) throws Exception {

            // 这个操作会将key的过期时间重新设置为30s
            RFuture<Boolean> future = renewExpirationAsync(threadId);

            future.addListener(new FutureListener<Boolean>() {
                @Override
                public void operationComplete(Future<Boolean> future) throws Exception {
                    expirationRenewalMap.remove(getEntryName());
                    if (!future.isSuccess()) {
                        log.error("Can't update lock " + getName() + " expiration", future.cause());
                        return;
                    }

                    if (future.getNow()) {
                        // reschedule itself
                        // 通过递归调用本方法,无限循环延长过期时间
                        scheduleExpirationRenewal(threadId);
                    }
                }
            });
        }

    }, internalLockLeaseTime / 3, TimeUnit.MILLISECONDS);

    if (expirationRenewalMap.putIfAbsent(getEntryName(), new ExpirationEntry(threadId, task)) != null) {
        task.cancel();
    }
}
另外,redisson还提供了对redlock算法的支持,

它的用法也很简单:

RedissonClient redisson = Redisson.create(config);
RLock lock1 = redisson.getFairLock("lock1");
RLock lock2 = redisson.getFairLock("lock2");
RLock lock3 = redisson.getFairLock("lock3");
RedissonRedLock multiLock = new RedissonRedLock(lock1, lock2, lock3);
multiLock.lock();
multiLock.unlock();




小结: 




本节分析了使用redis作为分布式锁的具体落地方案

以及其一些局限性

然后介绍了一个redis的客户端框架redisson,

这也是我推荐大家使用的,

比自己写代码实现会少care很多细节。

基于zookeeper实现分布式锁

常见的分布式锁实现方案里面,除了使用redis来实现之外,使用zookeeper也可以实现分布式锁。

在介绍zookeeper(下文用zk代替)实现分布式锁的机制之前,先粗略介绍一下zk是什么东西:

Zookeeper是一种提供配置管理、分布式协同以及命名的中心化服务。

zk的模型是这样的:zk包含一系列的节点,叫做znode,就好像文件系统一样每个znode表示一个目录,然后znode有一些特性:

  • 有序节点:假如当前有一个父节点为/lock,我们可以在这个父节点下面创建子节点;

  • zookeeper提供了一个可选的有序特性,例如我们可以创建子节点“/lock/node-”并且指明有序,那么zookeeper在生成子节点时会根据当前的子节点数量自动添加整数序号

    也就是说,如果是第一个创建的子节点,那么生成的子节点为/lock/node-0000000000,下一个节点则为/lock/node-0000000001,依次类推。

  • 临时节点:客户端可以建立一个临时节点,在会话结束或者会话超时后,zookeeper会自动删除该节点。

  • 事件监听:在读取数据时,我们可以同时对节点设置事件监听,当节点数据或结构变化时,zookeeper会通知客户端。当前zookeeper有如下四种事件:

    • 节点创建
    • 节点删除
    • 节点数据修改
    • 子节点变更

基于以上的一些zk的特性,我们很容易得出使用zk实现分布式锁的落地方案:

  1. 使用zk的临时节点和有序节点,每个线程获取锁就是在zk创建一个临时有序的节点,比如在/lock/目录下。

  2. 创建节点成功后,获取/lock目录下的所有临时节点,再判断当前线程创建的节点是否是所有的节点的序号最小的节点

  3. 如果当前线程创建的节点是所有节点序号最小的节点,则认为获取锁成功。

  4. 如果当前线程创建的节点不是所有节点序号最小的节点,则对节点序号的前一个节点添加一个事件监听。

    比如当前线程获取到的节点序号为/lock/003,然后所有的节点列表为[/lock/001,/lock/002,/lock/003],则对/lock/002这个节点添加一个事件监听器。

如果锁释放了,会唤醒下一个序号的节点,然后重新执行第3步,判断是否自己的节点序号是最小。

比如/lock/001释放了,/lock/002监听到时间,此时节点集合为[/lock/002,/lock/003],则/lock/002为最小序号节点,获取到锁。

整个过程如下:

图片

具体的实现思路就是这样,至于代码怎么写,这里比较复杂就不贴出来了。

Curator介绍

Curator是一个zookeeper的开源客户端,也提供了分布式锁的实现。

他的使用方式也比较简单:

InterProcessMutex interProcessMutex = new InterProcessMutex(client,"/anyLock");
interProcessMutex.acquire();
interProcessMutex.release();

其实现分布式锁的核心源码如下:

private boolean internalLockLoop(long startMillis, Long millisToWait, String ourPath) throws Exception
{
    boolean  haveTheLock = false;
    boolean  doDelete = false;
    try {
        if ( revocable.get() != null ) {
            client.getData().usingWatcher(revocableWatcher).forPath(ourPath);
        }

        while ( (client.getState() == CuratorFrameworkState.STARTED) && !haveTheLock ) {
            // 获取当前所有节点排序后的集合
            List<String>        children = getSortedChildren();
            // 获取当前节点的名称
            String              sequenceNodeName = ourPath.substring(basePath.length() + 1); // +1 to include the slash
            // 判断当前节点是否是最小的节点
            PredicateResults    predicateResults = driver.getsTheLock(client, children, sequenceNodeName, maxLeases);
            if ( predicateResults.getsTheLock() ) {
                // 获取到锁
                haveTheLock = true;
            } else {
                // 没获取到锁,对当前节点的上一个节点注册一个监听器
                String  previousSequencePath = basePath + "/" + predicateResults.getPathToWatch();
                synchronized(this){
                    Stat stat = client.checkExists().usingWatcher(watcher).forPath(previousSequencePath);
                    if ( stat != null ){
                        if ( millisToWait != null ){
                            millisToWait -= (System.currentTimeMillis() - startMillis);
                            startMillis = System.currentTimeMillis();
                            if ( millisToWait <= 0 ){
                                doDelete = true;    // timed out - delete our node
                                break;
                            }
                            wait(millisToWait);
                        }else{
                            wait();
                        }
                    }
                }
                // else it may have been deleted (i.e. lock released). Try to acquire again
            }
        }
    }
    catch ( Exception e ) {
        doDelete = true;
        throw e;
    } finally{
        if ( doDelete ){
            deleteOurPath(ourPath);
        }
    }
    return haveTheLock;
}

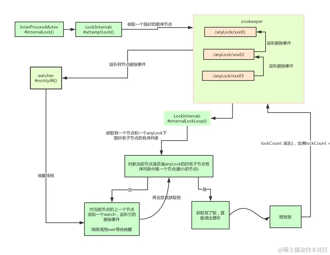
其实curator实现分布式锁的底层原理和上面分析的是差不多的。这里我们用一张图详细描述其原理:
图片

小结:

本节介绍了zookeeperr实现分布式锁的方案以及zk的开源客户端的基本使用,简要的介绍了其实现原理。相关可以参考:肝一下ZooKeeper实现分布式锁的方案,附带实例!

两种方案的优缺点比较

学完了两种分布式锁的实现方案之后,本节需要讨论的是redis和zk的实现方案中各自的优缺点。

对于redis的分布式锁而言,它有以下缺点:

  • 它获取锁的方式简单粗暴,获取不到锁直接不断尝试获取锁,比较消耗性能。
  • 另外来说的话,redis的设计定位决定了它的数据并不是强一致性的,在某些极端情况下,可能会出现问题。锁的模型不够健壮
  • 即便使用redlock算法来实现,在某些复杂场景下,也无法保证其实现100%没有问题,关于redlock的讨论可以看How to do distributed locking
  • redis分布式锁,其实需要自己不断去尝试获取锁,比较消耗性能。

但是另一方面使用redis实现分布式锁在很多企业中非常常见,而且大部分情况下都不会遇到所谓的“极端复杂场景”

所以使用redis作为分布式锁也不失为一种好的方案,最重要的一点是redis的性能很高,可以支撑高并发的获取、释放锁操作。

对于zk分布式锁而言:

  • zookeeper天生设计定位就是分布式协调,强一致性。锁的模型健壮、简单易用、适合做分布式锁。
  • 如果获取不到锁,只需要添加一个监听器就可以了,不用一直轮询,性能消耗较小。

但是zk也有其缺点:如果有较多的客户端频繁的申请加锁、释放锁,对于zk集群的压力会比较大。

小结:

综上所述,redis和zookeeper都有其优缺点。我们在做技术选型的时候可以根据这些问题作为参考因素。

建议

通过前面的分析,实现分布式锁的两种常见方案:redis和zookeeper,他们各有千秋。应该如何选型呢?

就个人而言的话,我比较推崇zk实现的锁:

因为redis是有可能存在隐患的,可能会导致数据不对的情况。但是,怎么选用要看具体在公司的场景了。

如果公司里面有zk集群条件,优先选用zk实现,但是如果说公司里面只有redis集群,没有条件搭建zk集群。

那么其实用redis来实现也可以,另外还可能是系统设计者考虑到了系统已经有redis,但是又不希望再次引入一些外部依赖的情况下,可以选用redis。

这个是要系统设计者基于架构的考虑了。