剑指 Offer 27. 二叉树的镜像

125 阅读1分钟

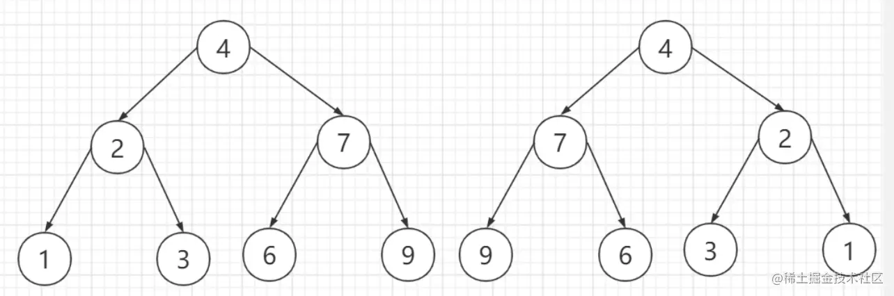
剑指 Offer 27. 二叉树的镜像 请完成一个函数,输入一个二叉树,该函数输出它的镜像。 实例如下

image.png

代码实现

var mirrorTree = function (root) {
    return f(root)
    function f(node) {
        if (!node) return node
        var mid = node.right
        node.right = f(node.left)
        node.left = f(mid)
        return node
    }
};