计算机网络第二章——物理层(仅记录我所认为重要的知识点)

323 阅读12分钟

本文已参与「新人创作礼」活动,一起开启掘金创作之路

计算机网络第二章——物理层

物理层

基本概念

物理层的作用

尽可能屏蔽设备之间系统之间的通信差异(使得数据链路层无法感受到差异)来传输比特流数据以及完成传输方式的转换

规章

物理层的协议

物理层协议的主要任务

确定与传输媒体的接口有关的一些特性

  1. 机械特性(指明接口所用的接线器的形状尺寸,引脚数目和排列,固定和锁定装置等)
  2. 电气特性(指明在接口电缆的各条线上出现的电压范围)
  3. 功能特性(指明某条线上出现的某一电平的电压表示何种意义)
  4. 过程特性(指明对于不同功能的各种可能事件的出现顺序)

一般来说数据在通信线路上的传输方式是串行传输

即逐个按照比特时间顺序传输

数据通信的基础知识

数据通信系统可分为:

  1. 源系统(发送方,发送端)
  2. 传输系统(传输网络)
  3. 目的系统(接收端,接收方)

源系统组成

  1. 源点:源点设备产生要传输的数据,也可以称为源站或信源
  2. 发送器:源点生成的数据比特流需要进行发送器进行编码才能在传输系统中进行传输,典型的 发送器就是调剂器

目的系统组成

  1. 接收器:接收传输系统传输的信号并将其转换为能够被目的设备处理的信息(解调器是典型的接收器,他把来自传输线路上的模拟信号进行解调,提取出在发哦是那个端置入的消息,还原出发送端的数字比特流)
  2. 终点:终点设备从接收器获取传送来的数字比特流,然后进行信息输出(即反馈给用户看到直观的效果)

消息

通信的目的是为了传送消息

数据

数据是运送消息的实体

信号

数据的电气或电磁表现

信号的分类

  1. 模拟信号(连续信号):消息的参数的取值是连续的
  2. 数字信号(离散信号):消息的参数的取值是离散的

码元

在使用时域的波形来表示数字信号时,代表不同离散数值的基本波形称为码元(承载信息的基本信号单位)(一个码元能承载的信息量由码元信号所能表示的数据有效值状态个数决定) 在使用二进制编码时仅有0,1形式进行表示

码元传输速率

单位时间内通过信道传输的码元数量

信道

信道不等同于电路,是用于表示向某一方向传送信息的媒体 通常一条信道包含一条发送信道和一条接收信道 当然也可以由多个组成

编码与调制

编码

将数字数据转化为数字信号的过程

调制

数字数据转换成模拟信号的过程

常用编码方式

  1. 比特流(直接以0,1进行标识)
  2. 不归零制(凸1凹0)
  3. 归零制(凸1凹0)
  4. 曼彻斯特(向下1向上0)
  5. 差分曼彻斯特(边界跳变为0,不跳变为1) 在这里插入图片描述

基本调制方法

基带信号往往含有较多的低频成分,甚至直流成分,许多模拟信道仅能通过某一频率范围的信号,不能直接传输这种基带信号,所以要进行调制,使其可以在模拟信道中传输

多数情况下,需要使用载波进行调制,把基带信号的频率范围搬移到较高的频段以便在信道中传输

经过调制后的信号称为带通信号,使用载波的调制叫做带通调制

基带信号

矩形脉冲波形的数字信号包含从直流开始的低频分量

基带传输

数字信道上直接传输基带信号的方法 在这里插入图片描述

调幅(幅移键控)

载波的振幅随基带数字信号而变化

调频(频移键控)

载波的频率随基带数字信号而变化

调相(相移键控)

载波的初始相位随基带数字信号而变化

信道的极限容量

传输信号必会产生失真

数字信道的优点

接收端只要可以从失真的波形中辨别原来的信号就不会对通信质量影响

信道能通过的频率范围

范围是有限的,通常高频分量往往无法通过信道

码间串扰(干扰)

信号中的高频分量在传输时受到衰落,接收端难以辨别,扩散了的码元波形所占的时间变得更宽,码元之间失去了清晰的界限

奈氏准则

为避免码间串扰,码元的传输速率上限: 理想低通信道:2W Baud 理想带通信道:W Baud W:信道带宽(单位:Hz) Baud:波特,码元传输速率的单位(1 Baud = 1 码元/秒)

另一种表达方式

每赫带宽的理想低通信道的最高码元传输速率是每秒2个码元 每赫带宽的理想带同信道的最高马原传输速率是每秒1个码元

总结

在任何信道中码元的传输速率是有上限的,若超过上限将会出现码间串扰,信道的频带越宽(能够通过的信号频率范围越大),就能用更高的速率传输码元而不产生码间串扰 波特是码元传输的速率单位 比特是信息量的单位 若1个码元只携带1 bit的信息量,则波特和比特/秒在数值上相等 若1个码元携带n bit的信息量,则M Baud的码元传输速率所对应的信息传输速率为M * n bit/s

多元制

为了让每个码元能够携带更多个比特的信息量,我们采用多元制的调制方法, 例子: 采用 8 元制 , 每个码元携带 3 bit , 带宽 = 3kHz ==》 最高信息传输速率 = 18000 bit/s 但我们要知道一件事:信道的极限信息传输速率还要受限于实际的信号在信道中传输时的信噪比

信噪比

信道中的噪声也会影响接收端对码元的识别,噪声功率相对信号功率越大,影响越大 即:噪声与影响成正比,与可识别能力能力成反比

香农公式

C:信道的极限信息传输速率(单位 bit / s) W:信道带宽(单位 Hz) S:信道内所传信号的平均功率 N:信道内部的高斯噪声功率

C = W log2( 1 + S / N ) bit/s

信道的带宽或信道中的信噪比与越大,则信息的极限传输速率就越高

传输方式

对数字信号有各种不同的传输方式 传输时,收发双方必须对每一个比特在线路上持续的时间达成一致,才能保证数据的正确 同步指的是收发双方在时间基准上保持一致的过程

并行传输

数字一次发送n个比特(则接收端和发送端都需要有n条传输线路)

优点

速度比串行传输快n倍

缺点

成本高,通常仅用于短距离传输

串行传输

数据一个一个比特依次发送(则接收端和发送端都需要有1条传输线路) 优缺点和并行传输相对

异步传输

以字节为独立的传输单位,字节间的时间间隔不是固定的,接收端仅在每个字节的起始处对字节内的比特实现同步

同步传输

数据块以稳定的比特流的形式传输,字节之间没有间隔,也没有起始位和结束位

实现同步的两种方法

  1. 外同步(发送端和接收端间提供一条单独的时间线,发送数字信号的同时发送时钟同步信号)
  2. 内同步(发送端将士中同步信号编码到发送数据中一起传输【曼彻斯特和差分曼彻斯特】)

单工

只能有一个方向的通信而没有反方向的交互 在这里插入图片描述

半双工

通信双方都可以发送信息,但双方无法同时发送,即一方发送一方接收完再转换

在这里插入图片描述

全双工

双方可以同时发送和接收信息 在这里插入图片描述

物理层下面的传输媒体

也称传输介质或传输媒介,用于连通发送端和接收端之间的物理通路 分类:

  1. 引导型传输媒体(电磁波被导引沿着固体媒体传播)
  2. 非引导型传输媒体(自由空间,称为无线传输)

电磁波谱

在这里插入图片描述

引导型传输媒体

1.双绞线

常用于局域网 在这里插入图片描述

2.同轴电缆

广泛用于传输较高速率的数据,有很好的抗干扰性 在这里插入图片描述

3.光纤

在发送端有光源,可以采用发光二极管或半导体激光器,在电脉冲的作用下能产出光脉冲,在接收端利用光电二极管作为光检测器,检测到光脉冲时还原出电脉冲 在这里插入图片描述

在这里插入图片描述 光脉冲在多模光纤中传输时会逐渐被展造成失真,因此仅适合近距离传输 在这里插入图片描述

非引导型传输媒体

无线信道进行传输是运动中通信的唯一手段

多径效应

同一个信号经过不同的反射路径到达同一接收点,但是各反射路径的衰减程度和时延都不同使得最后的合成信号失真严重

接力

依靠中继器放大信号的方式 在这里插入图片描述

信道复用技术

复用就是通过一条物理线路同时传输多路用户信号 在这里插入图片描述

频分复用

将传输线路的频带资源划分成多个子频带,形成多个子信道,当多路信号输入一个多路复用器时,这个复用器将每一路信号调制到不同频率的载波上,接收端由相应的分用器通过滤波将各路信号分开,将合成的复用信号恢复成原始的多路信号

所有用户在同样的时间占用不同的频带资源

时分复用

将传输线路的带宽资源按时间轮流分配给不同的用户,每个用户只在分配的时间里使用线路传输数据 当多个低速设备产生的信号输入一个多路复用器时,复用器按照一定的周期顺序将这些信号依次发送到一条高速复用链路上,接收端再由相应分用器按照同样的顺序将这些信号分离出来恢复成原始的多路信号

所有用户在不同的时间占用同样的频带宽度

时分复用可能会造成线路资源的浪费

时分复用和频分复用图

在这里插入图片描述

分用器

复用器和分用器总是成对出现使用,分用器用于将高速信道传输的数据进行分用,分别送交到相应的用户

统计时分复用

一种改进时分复用,能够明显提高信道的利用率,集中器常使用这种 在这里插入图片描述

波分复用(光的频分复用)

一根光纤同时传输多个频率接近的光载波信号,使传输能力得到显著提升 随着复用的光载波信号的路数增多也就形成了密集波分复用 在这里插入图片描述

码分复用(重要)

一种共享信道的方式

码分多址(CDMA)

每个用户可以在同样的时间使用同样的频带进行通信 各个用户使用经过特殊挑选的不同码型,所以不会造成干扰

码片

在CDMA中每一比特时间再划分为m个短的间隔称为码片 m通常为64或128

码片序列

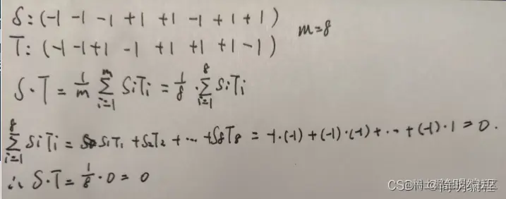
若要发送比特1就发送m bit码片序列,若发送0则取反码 例子: 要发送8bit码片序列:01001001 发送1 ===》 01001001 发送0 ===》10110110 为了方便表示我们通常用-1代替码片中的0,+1代表1 所以上方的码片序列:01001001 ===》(-1+1-1-1+1-1-1+1)

扩频

若发送端要发送信息的数据率为b bit/s,由于每个比特要转换为m个比特的码片,发送端实际上发送的数据率提高到mb bit/s ,同时发送端所占用的频带宽带也提高到原来数值的m倍,这种通信方式就是扩频

扩频可以分为

  1. 直接序列(DS-CDMA)
  2. 跳频(FH-CDMA)

CDMA系统的特点

每一个站分配的码片序列必须各不相同并且正交 再实用的系统中使用的伪随机码序列

正交关系

令向量S表示站S的码片向量 令T表示其他站的码片向量 两个站进行正交就是向量S和向量T的规格化内积都是0 自己交自己为1 在这里插入图片描述 计算过程: 在这里插入图片描述