1. 简单计算器

183 阅读38分钟

简单计算器

设计语言的“标准流程”

在实现计算器之前,我们需要简单的了解一下,设计一门语言的所谓的“标准”流程。

这里所谓的“标准”是针对于树遍历解释器(Tree walking interpreter)来说的。

language-flow.png

这里的步骤从表面上看起来还是比较简单的:

  1. 词法分析器接受输入(一般是文件或者字符串),然后输出一系列的词元(Token)。
  2. 语法分析器对词元(Token)进行处理,生成对应的抽象语法树(AST)。
  3. 解释器对AST进行解释,执行相应的脚本动作。

对于词法分析器,有的语言使用Scanner术语,有的使用Lexer术语,但结果都是输出词元(Token)。

AST : Abstract Syntax Tree(抽象语法树),对于代码来说,其实就是一个go语言的结构。

请记住上面的“标准”流程。下面让我们开始一步一步实现我们的简单计算器。

词元(Token)

【词元】简单的说,就是解析语言的最小单元。

这里还是使用例子来进行说明,假设我们的语言支持如下的语句(statement):

let num = 10 + 20;

我们需要把这个句子拆分成一个个独立的单元(类似于中文语言中一句话中的单词)。我们的词法分析器(Lexer),遇到上面的输入,输出的词元(Token)类型(Token Type)如下:

TOKEN_LET             // let
TOKEN_IDENTIFIER      // num
TOKEN_ASSIGN          // =
TOKEN_NUMBER          // 10
TOKEN_PLUS            // +
TOKEN_NUMBER          // 20
TOKEN_SEMICOLON       // ;

那么这里所说的词元(Token)需要包含哪些信息呢?一个词元(Token)需要包含如下的信息:

  1. 词元类型(Token Type),通常将其定义为常量
  2. 词元位置(Position),作为将来调试用或者报错用
  3. 词元字面量(Literal),词元所表示的实际值(或者字面量)

字面量:顾名思义就是字面本身的值。例如2.5的字面量就是2.5Hello的字面量就是Hello, var1的字面量就是var1

词元类型(Token Type)

假设我们的简单四则运算器的输入如下:

2 + (3 * 4) / ( 6 - 3 ) + 10 * 1.5 + 2 ** 3

从上面的例子中可以看出,这里的Token类型包含【+】,【-】,【*】,【/】,【**】,【数字】,【括号(包括左括号和右括号)】。

词元类型一般是用常量来定义的,对于我们将要实现的简单四则运算器,词元类型定义如下:

//token.go
type TokenType int //定义词元类型为一个整形

//定义Token类型
const (
	TOKEN_ILLEGAL TokenType = (iota - 1) // 非法词元
	TOKEN_EOF                            // 文件(或输入)结束Token(EOF:End of file)

	TOKEN_PLUS     // +
	TOKEN_MINUS    // -
	TOKEN_MULTIPLY // *
	TOKEN_DIVIDE   // '/'
	TOKEN_MOD      // '%'(取模)
    TOKEN_POWER    // ** (开方)

	TOKEN_LPAREN // (
	TOKEN_RPAREN // )

	TOKEN_NUMBER //数字,例如10、10.1等
)

词元位置(Token Position)

【位置】信息需要有诸如行号列号等信息,下面是其定义:

//token.go

//词元的【位置】
type Position struct {
    Filename string //文件名(当脚本的输入为字符串的时候,为空)
    Offset   int //当前词元相对于整个文件或者输入的偏移量(暂时作用不大)
	Line     int //当前词元所在的行号
	Col      int //当前词元所在的列号
}

//调试用
//可以使用类似`fmt.Printf("Position=%s\n", position)`的语句来打印Position结构
func (p Position) String() string {
	var msg string
	if p.Filename == "" {
		msg = fmt.Sprint(" <", p.Line, ":", p.Col, "> ")
	} else {
		msg = fmt.Sprint(" <", p.Filename, ":", p.Line, ":", p.Col, "> ")
	}

	return msg
}

//位置的字符串表示。调试用(脚本错误的时候会报告相应的行号)
//这里我们不能使用`Line()`作为函数名, 因为`Line`是Position结构的字段名
func (p Position) Sline() string { //Sline: String line
	var msg string
	if p.Filename == "" {
		msg = fmt.Sprint(p.Line)
	} else {
		msg = fmt.Sprint(" <", p.Filename, ":", p.Line, "> ")
	}
	return msg
}

这里的Position结构浅显易懂,应该没有太多需要解释的地方。

词元结构(Token Structure)

有了上面的说明,下面来定义我们的词元结构。大致如下:

//token.go

//词元结构
type Token struct {
	Pos     Position    //词元的位置信息
	Type    TokenType   //词元的类型
	Literal string      //词元的字面量
}

//词元类型的字符串表示(调试或者测试用)
func (tt TokenType) String() string {
	switch tt {
	case TOKEN_ILLEGAL:
		return "ILLEGAL"
	case TOKEN_EOF:
		return "EOF"

	case TOKEN_PLUS:
		return "+"
	case TOKEN_MINUS:
		return "-"
	case TOKEN_MULTIPLY:
		return "*"
	case TOKEN_DIVIDE:
		return "/"
	case TOKEN_MOD:
		return "%"
	case TOKEN_POWER:
		return "**"

	case TOKEN_LPAREN:
		return "("
	case TOKEN_RPAREN:
		return ")"

	case TOKEN_NUMBER:
		return "NUMBER"

	default:
		return "UNKNOWN"
	}
}

//词元的字符串表示。调试用
//可以使用类似`fmt.Printf("token=%s\n", tok)`的语句来打印词元结构
func (t Token) String() string {
	return fmt.Sprintf("Position: %s, Type: %s, Literal: %s", t.Pos, t.Type, t.Literal)
}

为了让读者加深理解,这里再次举个例子:

2 + (3 * 5) - 10

对于上面的例子,共有10个词元类型(Token Type):

TOKEN_NUMBER      ---> 字面量是【2】
TOKEN_PLUS        ---> 字面量是【+】
TOKEN_LPAREN      ---> 字面量是【(】
TOKEN_NUMBER      ---> 字面量是【3】
TOKEN_MULTIPLY    ---> 字面量是【*】
TOKEN_NUMBER      ---> 字面量是【5】
TOKEN_RPAREN      ---> 字面量是【)】
TOKEN_MINUS       ---> 字面量是【-】
TOKEN_NUMBER      ---> 字面量是【10】
TOKEN_EOF         ---> 做为结尾标识

注:词法分析器(Lexer)会忽略空格

对应着上面的计算式,10个词元结构的内容如下:

token.png

词法分析器(Lexer)

结合本节开头的图,我们知道词法分析器的作用是将输入进行分析,最后输出词元(Token)。

下面我们来分析一下,词法分析器需要哪些信息呢?

  1. 文件名(从文件读取脚本输入时使用)
  2. 输入字节流(从文件读取时,实际是将文件整个内容读到输入字节流中)
  3. 当前正在处理的字符
  4. 当前正在处理的字符的位置
  5. 当前正在处理的字符的下一个位置
  6. 行号和列号

有了上面的信息后,我们的词法分析器(Lexer)结构如下:

//lexer.go
type Lexer struct {
	filename     string //文件名
	input        []rune //输入(如果文件名不为空,会将文件整个文件的内容读入input中)
	ch           rune   //当前正在处理的字符
	position     int    //当前正在处理的字符的位置
	readPosition int    //当前正在处理的字符的下一个位置

	line int //行号
	col  int //列号
}

这里input使用[]rune,ch使用rune的目的主要是为了能够处理中文之类的变量名。

读取字符

词法分析器需要一个字符一个字符的读取“输入”:

//lexer.go
func (l *Lexer) readNext() { //读取下一个字符
	if l.readPosition >= len(l.input) { //如果读取的位置大于等于输入的长度,则认为读到了结束。
		l.ch = 0 //读取结束
	} else {
		l.ch = l.input[l.readPosition]
		if l.ch == '\n' { //当遇到'\n'时
			l.col = 0
			l.line++
		} else {
			l.col += 1
		}
	}

	l.position = l.readPosition
	l.readPosition++ //将readPosition指向下一个字符
}

对于第4行的代码,有的读者可能就会问了,如果输入中有0字符的话,那么是不是就会有问题?答案是不会,因为如果输入中有0的话,l.ch中存放的是'0',而不是0。

词法分析器,还要根据输入来初始化Lexer结构:

//lexer.go
func NewLexer(input string) *Lexer {
	l := &Lexer{input: []rune(input)} //将input字符串转换为rune数组
	l.ch = ' '
	l.position = 0
	l.readPosition = 0

	l.line = 1
	l.col = 0

    //预先读取一个字符,这样position的值为0,readPostion的值为1。
    //就是说下面的语句执行后,当前字符位置为position,下一个字符位置为readPosition。
    //这样,初始化后,position和readPosition都指向了正确的位置。
	l.readNext()

	//0xFEFF: BOM(byte order mark)
	if l.ch == 0xFEFF {
		l.readNext() //忽略文件头的BOM
	}

	return l
}

关于BOM(Byte order mark)的相关信息,请读者参照百度的文档baike.baidu.com/item/BOM/27…

有时候,我们还需要词法分析器能够获取下一个字符的值,而并不读取下一个字符。因此我们还需要给词法分析器提供一个peek()函数,来获取(并非读取)下一个字符。

//lexer.go
func (l *Lexer) peek() rune {
	if l.readPosition >= len(l.input) {
		return 0
	}
	return l.input[l.readPosition]
}

有的细心的读者可能会有疑问,获取下一个字符(而不读取)的意义是啥?下面我们举个例子:

2 ** 3

这里的**表示开方。 2 ** 3 = 2^3^ = 8

当我们遇到第一个 *的时候,我们需要预判断下一个字符是否为*。如果下一个字符是*,那么我们就能够判断需要处理的词元为**。如果不是,那么我们就知道现在处理的词元为*。如果读者还是不能够很明白其中的道理,不用担心,请继续往下读。

对于词法分析器来说,需要忽略输入中的空格(这里的空格包括回车换行,TAB键,空白)。我们的词法分析器还需要提供一个忽略空格的函数:

//lexer.go
func (l *Lexer) skipWhitespace() {
	for unicode.IsSpace(l.ch) {
		l.readNext()
	}
}

我们的简单四则运算器主要处理的是数字的运算,所以我们还需要提供一个判断数字的函数:

//lexer.go
func isDigit(ch rune) bool {
	return '0' <= ch && ch <= '9'
}

这个函数是一个工具(utility)函数。它接受一个类型为runech参数,然后判断这个参数是否为数字。它并不依赖于Lexer结构中的任何信息,所以并不是Lexer的成员函数。

我们的词法分析器(Lexer)还需要一个简单的生成词元(Token)的工具函数(utility function):

//lexer.go
func newToken(tokenType token.TokenType, ch rune) token.Token {
	return token.Token{Type: tokenType, Literal: string(ch)}
}

读取数字

我们的简单四则运算器需要处理类似12.75之类的浮点数。有了isDigit()这个工具函数(utility function)后,我们就可以写一个处理数字的函数:

//lexer.go
func (l *Lexer) readNumber() string {
	var ret []rune

	ch := l.ch
	ret = append(ret, ch)
	l.readNext()

	for isDigit(l.ch) || l.ch == '.' { //当前字符是数字或者'.'的时候,就继续读取
		ret = append(ret, l.ch)
		l.readNext()
	}

	return string(ret)
}

注:这个处理数字的函数,其实是有些问题的。第9行判断如果字符为数字或者点,就继续。那么如果是类似99...2345这样的输入,那么这里的处理就会有问题。

词法分析器(Lexer)还需要获取当前词元(Token)的位置信息。所以这里我们提供了获取位置信息的函数:

//lexer.go
func (l *Lexer) getPos() token.Position {
	return token.Position{
		Filename: l.filename,
		Offset:   l.position,
		Line:     l.line,
		Col:      l.col,
	}
}

这个函数应该也是比较浅显易懂,无需太多解释吧。

获取下一个词元(Token)

说了这么多,读者可能已经有点不耐烦了,词法分析器(Lexer)的输出是词元(Token)。怎么还没有获取词元(Token)的函数呢?好吧,我承认这里有些啰嗦了。下面是我们真正的主角开始登场了:

//lexer.go
//获取下一个词元
func (l *Lexer) NextToken() token.Token {
	var tok token.Token
    
	l.skipWhitespace() //忽略所有的空格

	pos := l.getPos() //获取Token的位置信息

	switch l.ch {
	case '+':
		tok = newToken(token.TOKEN_PLUS, l.ch)
	case '-':
		tok = newToken(token.TOKEN_MINUS, l.ch)
	case '*':
        //这里需要获取下一个字符,判断是否是`**`,还是一个简单的`*`
		if l.peek() == '*' {
			tok = token.Token{Type: token.TOKEN_POWER, Literal: string(l.ch) + 
                              string(l.peek())}
			l.readNext()
		} else { //下一个字符不是`*`
			tok = newToken(token.TOKEN_MULTIPLY, l.ch)
		}
	case '/':
		tok = newToken(token.TOKEN_DIVIDE, l.ch)
	case '%':
		tok = newToken(token.TOKEN_MOD, l.ch)
	case '(':
		tok = newToken(token.TOKEN_LPAREN, l.ch)
	case ')':
		tok = newToken(token.TOKEN_RPAREN, l.ch)
	case 0:
		tok.Literal = "<EOF>"
		tok.Type = token.TOKEN_EOF
	default:
		if isDigit(l.ch) { //如果当前字符为数字
			tok.Literal = l.readNumber()
			tok.Type = token.TOKEN_NUMBER
			tok.Pos = pos
			return tok
		} else {
			tok = newToken(token.TOKEN_ILLEGAL, l.ch)
		}
	}

	tok.Pos = pos
	l.readNext()
	return tok
}

这个NextToken()函数就是词法分析器(Lexer)的灵魂,语法解析器(Parser)就是通过不断的调用这个NextToken()函数来分析词元(Token),生成相应的抽象语法树(AST)的。所以请初学者认真体会一下这个函数。

测试词法分析器

下面我们写一个简单的测试程序来测试我们的词法分析器的正确性:

//main.go
func TestLexer() {
	input := "2 + (3 * 4) / ( 5 - 3 ) + 10 - a ** 2"
	fmt.Printf("Input = %s\n", input)

	l := lexer.NewLexer(input)
	for {
		tok := l.NextToken()
		fmt.Printf("%s\n", tok)
		if tok.Type == token.TOKEN_EOF {
			break
		}
	}
}

func main() {
	TestLexer()
}

运行后,输出信息如下:

Input = 2 + (3 * 4) / ( 5 - 3 ) + 10 - a ** 2
Position:  <1:1> ,     Type: NUMBER ,     Literal: 2
Position:  <1:3> ,     Type: +      ,     Literal: +
Position:  <1:5> ,     Type: (      ,     Literal: (
Position:  <1:6> ,     Type: NUMBER ,     Literal: 3
Position:  <1:8> ,     Type: *      ,     Literal: *
Position:  <1:10>,     Type: NUMBER ,     Literal: 4
Position:  <1:11>,     Type: )      ,     Literal: )
Position:  <1:13>,     Type: /      ,     Literal: /
Position:  <1:15>,     Type: (      ,     Literal: (
Position:  <1:17>,     Type: NUMBER ,     Literal: 5
Position:  <1:19>,     Type: -      ,     Literal: -
Position:  <1:21>,     Type: NUMBER ,     Literal: 3
Position:  <1:23>,     Type: )      ,     Literal: )
Position:  <1:25>,     Type: +      ,     Literal: +
Position:  <1:27>,     Type: NUMBER ,     Literal: 10
Position:  <1:30>,     Type: -      ,     Literal: -
Position:  <1:32>,     Type: UNKNOWN,     Literal: a
Position:  <1:34>,     Type: **     ,     Literal: **
Position:  <1:37>,     Type: NUMBER ,     Literal: 2
Position:  <1:37>,     Type: EOF    ,     Literal: <EOF>

上面的输出,我做了相应的格式化,以方便读者阅读。

请注意最后的,它的Position实际上已经没有太大的意义。对于,我们关心的只是词元的类型,而并不关心词元的位置。

恭喜!词法分析器的工作已经完成了。对于初学者,请仔细阅读上面所讲的内容,争取能够完全吸收。

抽象语法树(AST)与语法解析器(Parser)

什么是语法?简单来说就类似人类语言,我们说话有主谓宾,而计算机语言也需要自己的语法,比如一个if表达式,使用go语言的话,类似下面这样:

if a == 10 {
    //...
}

而对于c语言,则类似下面这样:

if (a == 10) {
    //...
}

这个c语言版本的if条件判断,要求后面的判断必须包在括号中,而go语言版本不需要使用括号。这就是两种语言所要求的语法不同所导致的。

语法解析器(Parser)的作用是将输入(Token)转换为代表语法的数据结构,这个数据结构通常就是我们说的抽象语法树(AST)。下面就来看看如何用代码表示四则运算。

四则运算的表示(抽象语法树)

首先让我们假设,我们需要处理的算术运算如下:

1 + 2
1 - 2
1 * 2
1 / 2
5 % 2

我们怎么用代码表示这个【算术运算】呢?我们可以把这个【算术运算】想象成下面这种:

<Expression> operator <Expression>
//<表达式> 操作符 <表达式>

有的读者就会有疑问:什么是表达式(expression)?简单来说表达式就是能够产生【值】的式子。

语言中还有称为语句(statement)的式子。它和表达式的区别是:语句不产生【值】,表达式产生【值】。例如:

let sum = 1 + 2

这里的let就是一个语句,而 1 + 2就是表达式。let语句的形式如下:

//let 标识符 = 表达式
let <identifier> = <expression>

这里说的有点偏离现在的主题了,读者只需要简单理解一下即可。之后我们扩展的时候会用到语句。对于现在的四则运算,则只用到表达式

如何在语言中表示这个表达式(expression)呢?这里就需要提到抽象语法树(AST)了。在抽象语法树中,每个表达式(包括将来扩展要用到的语句)都是一个节点(Node)。那么节点(Node)数据结构中需要什么样的信息呢?

  1. 每个节点的开始和结束位置。
  2. 节点对应的词元(Token)的字面量(Token Literal)。
  3. 节点的字符串表示(调试用)。

既然是抽象语法树(一棵树),就必然会用到节点(Node),这个应该不难理解。

看起来非常简单,对吧。下面是节点(Node)的定义:

//ast.go
type Node interface {
	Pos() token.Position // 节点的开始位置
	End() token.Position // 节点的结束位置

    TokenLiteral() string // 节点对应的词元(Token)字面量(Token Literal)
	String() string // 节点的字符串表示(调试用)
}

这个是节点(Node)的定义。所有的表达式和将来要使用到的语句都必须要实现这个节点(Node)接口。

我们将要构建的抽象语法树( AST)就是由彼此相关联的节点(Node)组成的。

那么怎么用代码表示我们的表达式呢?刚才提到了表达式是一个节点。所以表达式的接口如下:

type Expression interface {
    Node //`表达式`是一个节点(Node)
    
    //一个空的dummy方法,表示此节点是一个`表达式`节点,用来区别于将来的`语句`节点
	expressionNode()
}

有了节点(Node)表达式(Expression)的说明,让我们再来看看【算术表达式】:

1 + 2

这其实就是一个中缀表达式(Infix Expression)中缀表达式就是类似如下的表达式:

<expression> operator <oexpression>
//<表达式> 操作符 <表达式>

那么对于1+2这个算术表达式,1就是左表达式,+是操作符,而2是右表达式。

可以看到中缀表达式需要下面的信息:

  1. 中缀表达式对应的词元(Token)
  2. 操作符(operator)
  3. 操作符左边的表达式和右边的表达式
//ast.go
//中缀表达式
type InfixExpression struct {
	Token    token.Token //词元信息
	Operator string      //操作符
	Right    Expression  //右表达式
	Left     Expression  //左表达式
}

这个中缀表达式是一个上面我们提到的表达式,因此需要实现表达式接口的所有方法:

//ast.go

//开始位置
func (ie *InfixExpression) Pos() token.Position { return ie.Token.Pos }
//结束位置(即右表达式的结束位置)
func (ie *InfixExpression) End() token.Position { return ie.Right.End() }

//表示此中缀表达式是一个`表达式(expression)`节点,以区别于将来要扩展的`语句(statement)`节点
func (ie *InfixExpression) expressionNode()      {}

//节点的字面量
func (ie *InfixExpression) TokenLiteral() string { return ie.Token.Literal }

//中缀表达式节点的字符串表示
func (ie *InfixExpression) String() string {
	var out bytes.Buffer

	out.WriteString("(")
	out.WriteString(ie.Left.String()) //左边表达式的字符串表示
	out.WriteString(" " + ie.Operator + " ") //操作符
	out.WriteString(ie.Right.String()) //右边表达式的字符串表示
	out.WriteString(")")

	return out.String()
}

不算很复杂,是吧。那么怎么用代码表示【算术表达式】中的【数字】呢?其实【数字】也是一个表达式,这个表达式非常简单,请看下面的代码:

//ast.go

//数字字面量
type NumberLiteral struct {
	Token token.Token //词元信息
	Value float64     //数字表示的值,这里只支持float类型(就是说对于整型,内部实际是使用float来存放的)
}

//开始位置
func (nl *NumberLiteral) Pos() token.Position { return nl.Token.Pos }

//结束位置 = 节点开始位置 + 数字字面量的长度。
func (nl *NumberLiteral) End() token.Position {
	pos := nl.Token.Pos //节点开始位置
    length := utf8.RuneCountInString(nl.Token.Literal) //数字字面量的长度
	return token.Position{Filename: pos.Filename, Line: pos.Line, Col: pos.Col + length}
}

//数字字面量是一个`表达式(expression)`节点
func (nl *NumberLiteral) expressionNode()      {}

func (nl *NumberLiteral) TokenLiteral() string { return nl.Token.Literal }
func (nl *NumberLiteral) String() string       { return nl.Token.Literal }

脚本是由程序(Program)组成的,程序(Program)也是一个节点(Node)。对于这里介绍的简单计算器而言,程序(Program)仅仅包含一个四则运算表达式

//ast.go
type Program struct {
	Expression Expression //仅包含一个四则运算表达式,实际上就是上面介绍的`InfixExpression`
}

//开始位置
func (p *Program) Pos() token.Position {
	return p.Expression.Pos()
}

//结束位置
func (p *Program) End() token.Position {
	return p.Expression.End()
}

//字面量
func (p *Program) TokenLiteral() string {
	return p.Expression.TokenLiteral()
}

//程序(Program)节点的字符串表示
func (p *Program) String() string {
	var out bytes.Buffer

	out.WriteString(p.Expression.String())
	return out.String()
}

最后,我们的四则运算表达式,还需要支持类似下面的运算:

-2
+2

这里的例子就是前缀表达式(prefix expression)的例子,很好理解。前缀表达式的形式如下:

//-2, +2
operator <expression>

前缀表达式的抽象语法树(AST)表示和中缀表达式差不多,甚至更简单。因为没有了左表达式,而只包含右表达式:

//ast.go
//前缀表达式
type PrefixExpression struct {
	Token    token.Token //词元信息
	Operator string      //操作符
	Right    Expression  //右表达式
}

//开始位置
func (pe *PrefixExpression) Pos() token.Position { return pe.Token.Pos }
//结束位置
func (pe *PrefixExpression) End() token.Position { return pe.Right.End() }

//前缀表达式是一个表达式(Expression)节点
func (pe *PrefixExpression) expressionNode()      {}
func (pe *PrefixExpression) TokenLiteral() string { return pe.Token.Literal }

//前缀表达式的字符串表示
func (pe *PrefixExpression) String() string {
	var out bytes.Buffer

	out.WriteString("(")
	out.WriteString(pe.Operator)
	out.WriteString(pe.Right.String())
	out.WriteString(")")

	return out.String()
}

细心的读者会注意到,前述所说的所有的表达式结构都有一个词元(Token)信息字段,这个字段主要是用来解析、调试和报错用的。

这里强调一下,将来所有的节点结构,都包含这个Token字段。

四则运算的解析

对于语法解析器(Parser),实际上有几种软件行业采用的方法(这里说的是主要方法):

  1. EBNF(扩展巴克斯范式)
  2. Pratt解析器(Pratt parser)
  3. Split & Merge

上面列出的前两种比较常用,第三种方法不是很常用。有兴趣的读者可以参考相关的文档学习。我们这里使用的是第二种Pratt解析器(Pratt parser)

Pratt解析器(Pratt parser)

在序言部分,我说过我不会讲一些深奥的理论知识。为了不把初学的读者吓退,所以关于Pratt解析的具体内容就不展开来讲了,当然有兴趣可以自己阅读。它的具体内容就是:对于每一个词元类型(Token Type),我们可以有两个函数去处理它infix(中缀)或者prefix(前缀)。选择哪个函数取决于词元(Token)在哪个位置。

举个例子,对于-(减号)这个操作符,如果用在2-1这种表达式中,它就是个中缀表达式,而如果用在-2这样的表达式中,它就是个前缀表达式。对于这两种位置,我们可以用两种不同的方法来处理它。

之前讲过,我们的语法解析器(Parser)的输入是词元(Token),它由词法分析器(Lexer)分析脚本后生成。

语法解析器(Parser)需要什么样的信息呢?

  1. 词法分析器(Lexer),用来获取词法分析器产生词元(Token)
  2. 语法错误的时候,需要尽可能多的捕获错误信息,即错误信息
  3. 当前词元(Token)和下一个词元(Token)
  4. Pratt解析器需要用到的前缀和中缀函数
//定义Pratt解析器用到的函数
type (
    //处理前缀表达式的函数
	prefixParseFn func() ast.Expression
    //处理中缀表达式的函数(参数为中缀表达式的左表达式)
	infixParseFn  func(ast.Expression) ast.Expression
)

//解析器
type Parser struct {
	l          *lexer.Lexer //词法分析器,用来通过其读取词元(Token)信息
	errors     []string //存放错误处理信息
    
    //存放错误处理行号(这个主要是用在和网页交互上使用,将来会用到,暂时请忽略)
	errorLines []string

	curToken  token.Token //当前词元
	peekToken token.Token //当前词元的下一个词元

    //前缀表达式map,key是一个词元类型,值是需要处理的前缀表达式函数
	prefixParseFns map[token.TokenType]prefixParseFn
    
    //中缀表达式map,key是一个词元类型,值是需要处理的中缀表达式函数
	infixParseFns  map[token.TokenType]infixParseFn
}

这里面比较难理解的是前缀表达式map中缀表达式map简单来讲的话,就是对于语法解析过程中遇到的词元类型(Token Type),会调用相对应的函数去解析。如果还是不好理解,那么没关系,我们先把这个暂且放一边,接着看下面的分析,一会你就会慢慢理解这个。

对于前缀表达式函数和中缀表达式函数,我们给语法解析器(Parser)提供两个简单的函数:

//parser.go

//注册前缀表达式函数
func (p *Parser) registerPrefix(tokenType token.TokenType, fn prefixParseFn) {
	p.prefixParseFns[tokenType] = fn
}

//注册中缀表达式函数
func (p *Parser) registerInfix(tokenType token.TokenType, fn infixParseFn) {
	p.infixParseFns[tokenType] = fn
}

这两个函数应该很好理解,根据传入的词元类型和回调函数来填充map。

语法解析器(Parser)要不断的读取词元(Token),根据得到的词元(Token)信息来生成相应的抽象语法树。所以这里需要给语法解析器提供一个获取下一个词元(Token)的函数:

//parser.go

//获取下一个词元(Token),将其储存在语法分析器的curToken和peekToken变量中
func (p *Parser) nextToken() {
	p.curToken = p.peekToken
	p.peekToken = p.l.NextToken()
}

接下来,看一下我们如何初始化语法解析器(Parser):

//parser.go

//解析器的参数为词法分析器(Lexer)
func NewParser(l *lexer.Lexer) *Parser {
	p := &Parser{
		l:          l,
		errors:     []string{},
		errorLines: []string{},
	}

	p.registerAction()

    //通过两次调用nextToken,语法分析器的curToken变量中保存的就是输入的第一个词元(Token),
    //peekToken保存的就是第二个词元(Token)。
	p.nextToken()
	p.nextToken()
    
	return p
}

这个初始化里面,我们没有介绍到registerAction()这个函数。在介绍这个函数之前,我还是要再次强调之前说的话:对于前缀表达式map中缀表达式map简单来讲的话,就是对于语法解析过程中遇到的词元类型(Token Type),会调用相对应的函数去解析。这个是Pratt解析器(Pratt Parser)的核心功能之一。

Pratt解析器(Pratt Parser)另外一个核心功能是对于优先级的处理,之后会讲到。

如果仔细理解上面的这句话,那么我们的registerAction()函数就是显而易懂的了:

//parser.go

//注册前缀表达式方法和中缀表达式函数
func (p *Parser) registerAction() {
	//前缀表达式
	p.prefixParseFns = make(map[token.TokenType]prefixParseFn)

	//遇到数字,会调用parseNumber函数来处理
	p.registerPrefix(token.TOKEN_NUMBER, p.parseNumber)

	//遇到类似`+2`这样的表达式中的`+`操作符,调用parsePrefixExpression函数来处理
	p.registerPrefix(token.TOKEN_PLUS, p.parsePrefixExpression)

	//遇到类似`-2`这样的表达式中的`-`操作符,调用parsePrefixExpression函数来处理
    p.registerPrefix(token.TOKEN_MINUS, p.parsePrefixExpression)

    //遇到'(',调用parseGroupedExpression来处理
	p.registerPrefix(token.TOKEN_LPAREN, p.parseGroupedExpression)

	//中缀表达式
	p.infixParseFns = make(map[token.TokenType]infixParseFn)

	//遇到类似`3+2`这样的表达式中的`+`操作符,调用parseInfixExpression函数来处理
	p.registerInfix(token.TOKEN_PLUS, p.parseInfixExpression)

	p.registerInfix(token.TOKEN_MINUS, p.parseInfixExpression)
	p.registerInfix(token.TOKEN_MULTIPLY, p.parseInfixExpression)
	p.registerInfix(token.TOKEN_DIVIDE, p.parseInfixExpression)
	p.registerInfix(token.TOKEN_MOD, p.parseInfixExpression)
	p.registerInfix(token.TOKEN_POWER, p.parseInfixExpression)
}

上面的registerAction()函数,主要就是注册一堆词元类型(Token Type)和与其对应的前缀表达式和中缀表达式回调函数。如何理解呢?举个例子:

-2 + 3 * 4 - (6 / 3)

对于这样的输入,我们看一下registerAction函数所做的工作:

字面量          词元类型                     注册的回调函数
---------------------------------------------------------------------
-       --->  TOKEN_MINUS           --->  parsePrefixExpression
2       --->  TOKEN_NUMBER          --->  parseNumber
+       --->  TOKEN_PLUS            --->  parseInfixExpression
3       --->  TOKEN_NUMBER          --->  parseNumber
*       --->  TOKEN_MULTIPLY        --->  parseInfixExpression
4       --->  TOKEN_NUMBER          --->  parseInfixExpression
-       --->  TOKEN_MINUS           --->  parseInfixExpression
(       --->  TOKEN_LPAREN          --->  parseGroupedExpression
6       --->  TOKEN_NUMBER          --->  parseInfixExpression
/       --->  TOKEN_DIVIDE          --->  parseInfixExpression
3       --->  TOKEN_NUMBER          --->  parseNumber
)       --->  TOKEN_RPAREN          --->  --
结束标志  --->  TOKEN_EOF            --->   --

使用更通俗的说法,就是当语法解析器(Parser)遇到相应的词元类型(Token Type),会调用注册过的回调函数来执行相应的动作。

使用一幅图,可能更形象一些:

expr_func_map.png

下面让我们来一步一步实现语法解析的相关代码。

解析程序(Parse Program)

脚本是由程序(Program)组成的,我们先看一下之前定义的的Program抽象语法树表示:

//ast.go
type Program struct {
	Expression Expression //仅包含一个四则运算表达式
}

解析Program节点的代码也比较简单:

func (p *Parser) ParseProgram() *ast.Program {
	program := &ast.Program{} //生成一个Program节点

	program.Expression = p.parseExpression(LOWEST) //解析表达式
	return program
}

这里需要注意的是第四行的parseExpression(暂时还没有讲到)函数的参数LOWEST,这个就涉及到Pratt解析器的第二个核心功能【优先级】。

我们小时候学数学的时候,老师告诉我们乘除法的优先级高于加减法。那么Pratt解析器如何去处理这个概念的呢?

和之前的registerAction()函数类似,在这个registerAction()函数里,每个词元类型(Token Type)对应一个回调函数。同样,Pratt解析器为了处理优先级这个概念,它规定对于每个词元类型(Token Type)(当然这里主要是指前缀和中缀操作符),也可以有一个相应的优先级。

我们使用代码具体来说:

//parser.go
const (
	_ int = iota
	LOWEST //值为1

	SUM     //+, -
	PRODUCT //*, /, %, **
	PREFIX  //-X, +X
)

var precedences = map[token.TokenType]int{
	token.TOKEN_PLUS:     SUM,
	token.TOKEN_MINUS:    SUM,
	token.TOKEN_MULTIPLY: PRODUCT,
	token.TOKEN_DIVIDE:   PRODUCT,
	token.TOKEN_MOD:      PRODUCT,
	token.TOKEN_POWER:    PRODUCT,
}

从上面的代码中我们可以看到,我们给+(TOKEN_PLUS)-(TOKEN_MINUS)定义的优先级为SUM(值为2),给

*(TOKEN_MULTIPLY)/(TOKEN_DIVIDE)%(TOKEN_MOD)**(TOKEN_POWER)定义的优先级为PRODUCT(值为3)。简单来讲,就是我们给乘除法、取模、乘方定义的优先级比加减法高。而前缀+和前缀-的优先级为PREFIX(值为4),就是最高的优先级。

细心的读者可能会觉得奇怪,precedences变量中为啥没有-X或者+X对应的优先级PREFIX。这是因为我们会在parsePrefixExpression方法里使用这个优先级,稍后读者会看到。

解析表达式(expression)

parseProgram方法中,调用了parseExpression函数,这个函数就是语法解析器(Parser)中最核心的函数。它不仅处理优先级,还同时处理之前介绍的回调函数。请看下面的代码:

//parser.go
//处理表达式:传入的是当前词元的【优先级】
func (p *Parser) parseExpression(precedence int) ast.Expression {
    //对当前的词元类型,调用【前缀回调函数】
	prefix := p.prefixParseFns[p.curToken.Type]
	if prefix == nil { //如果没有找到,则报错
		p.noPrefixParseFnError(p.curToken.Type)
		return nil
	}
	leftExp := prefix() //调用前缀回调函数

	// 调用中缀回调函数,直到下一个词元(Token)有更高的优先级,就退出循环
	for precedence < p.peekPrecedence() {
		infix := p.infixParseFns[p.peekToken.Type]
		if infix == nil {
			return leftExp
		}
		p.nextToken()
		leftExp = infix(leftExp) //调用中缀回调函数,将前缀回调函数的返回值作为参数传递给中缀表达式
	}

	return leftExp
}

从代码中可以看到,parseExpression首先会调用之前注册的前缀表达式的回调函数,如果没有找到,就会报错。如果找到了,接着就会循环处理中缀表达式的回调函数,直到遇到下一个词元(Token)有更高的优先级,就退出循环。

关于这个优先级的描述,由于这里面涉及到函数的递归调用,所以比较晦涩难懂。这就是使用Pratt解析器的好处,我们只需要按照Pratt解析器方法来实现就可以了(这就是【站在巨人的肩膀上】)。

当然,如果读者对Pratt解析的细节感兴趣的话,可以在百度、必应、谷歌里面搜索【Pratt Parsing】。

对于这个parseExpression函数,如果还是感觉不太理解的话, 你只需要知道它就是Pratt Parsing的处理逻辑。读者之后会发现,我们后续的章节加入了很多更高级的语言特性,这个函数也从未有任何改变。它老老实实的待在那里,默默无闻的做着最核心的事情(调用前缀回调函数,调用中缀回调函数,处理优先级),从来不抱怨:smile:。

假设我们的四则运算表达式如下:

5 + 2 * 3

对于这个输入,调用parseExpression函数后,生成的抽象语法树(AST)如下:

AST.png

parseExpression函数里调用了一个peekPrecedence函数,顾名思义就是取得下一个词元(Token)的优先级:

//parser.go
func (p *Parser) peekPrecedence() int {
    //从变量为precedences的map中取出下一个词元(Token)对应的优先级
	if p, ok := precedences[p.peekToken.Type]; ok {
		return p
	}
	return LOWEST
}

同样的,我们还需要一个获取当前词元(Token)优先级的函数:

//parser.go
func (p *Parser) curPrecedence() int {
    //从变量为precedences的map中取出当前词元(Token)对应的优先级
	if p, ok := precedences[p.curToken.Type]; ok {
		return p
	}
	return LOWEST
}

parseExpression函数里调用了一个noPrefixParseFnError函数,我们还没有涉及到。当语法解析器(Parser)找不到当前词元对应的前缀函数的时候,会调用这个noPrefixParseFnError函数报告语法错误:

//parser.go
//没有找到当前词元(Token)对应的前缀函数的时候,会报告语法错误
func (p *Parser) noPrefixParseFnError(t token.TokenType) {
	if t != token.TOKEN_EOF {
		msg := fmt.Sprintf("Syntax Error:%v - no prefix parse functions for '%s' found", 
                           p.curToken.Pos, t)
        
        //将语法错误信息加入到errors数组
		p.errors = append(p.errors, msg)
        //将语法错误的当前行号加入到errorLines数组
		p.errorLines = append(p.errorLines, p.curToken.Pos.Sline())
	}
}

我们还需要给语法解析器(Parser)提供一些常用的函数:

  1. 当我们期待下一个词元(Token)必须是某个类型的expectPeek()函数。
  2. 判断当前词元(Token)的类型是否为某个期望的类型的curTokenIs()函数。
  3. 判断下一个词元(Token)的类型是否为某个期望的类型的peekTokenIs()函数。
  4. 当下一个词元(Token)的类型不是期望的类型的时候的报错函数peekError()
  5. 获取语法错误信息的函数Errors()
  6. 获取语法错误行号的函数ErrorLines()
//parser.go

//判断当前词元(Token)类型是否为指定的词元(Token)类型
func (p *Parser) curTokenIs(t token.TokenType) bool {
	return p.curToken.Type == t
}

//判断下一个词元(Token)类型是否为指定的词元(Token)类型
func (p *Parser) peekTokenIs(t token.TokenType) bool {
	return p.peekToken.Type == t
}

//期待下一个词元(Token)类型必须为某个类型。如果是,就读取下一个词元并返回true。
//否则,报告语法错误并返回false。
func (p *Parser) expectPeek(t token.TokenType) bool {
	if p.peekTokenIs(t) {
		p.nextToken()
		return true
	}

    peekError(t)
	return false
}

func (p *Parser) peekError(t token.TokenType) {
	newPos := p.curToken.Pos
    //注:这里不要使用'len(p.curToken.Literal)'。因为标识符中可以包含中文等多字节字符。
	newPos.Col = newPos.Col + utf8.RuneCountInString(p.curToken.Literal)
	msg := fmt.Sprintf("Syntax Error:%v- expected next token to be %s, got %s instead",
					   newPos, t, p.peekToken.Type)
	p.errors = append(p.errors, msg)
	p.errorLines = append(p.errorLines, p.curToken.Pos.Sline())
}

//获取语法错误信息
func (p *Parser) Errors() []string {
	return p.errors
}

//获取语法错误行号
func (p *Parser) ErrorLines() []string {
	return p.errorLines
}

上面的几个语法解析器(Parser)函数理解起来应该都比较简单。需要注意的就是peekError函数,我们汇报错误的时候,行号应该是报告当前词元(Token)的位置,而不是下一个词元(peek Token)的位置。如果我们将其更改为如下的代码(不正确的版本):

func (p *Parser) peekError(t token.TokenType) {
	newPos := p.peekToken.Pos
	newPos.Col = newPos.Col + len(p.peekToken.Literal) //当前词元的位置+当前词元的长度
	msg := fmt.Sprintf("Syntax Error:%v- expected next token to be %s, got %s instead",
                       newPos, t, p.peekToken.Type)
	p.errors = append(p.errors, msg)
	p.errorLines = append(p.errorLines, p.peekToken.Pos.Sline())
}

报告的错误行号,反而会让人感到困惑。这是为什么呢?来看一个例子,假设我们有如下的脚本代码(这里的代码是将来会实现的脚本代码,用在这里只是为了说明问题):

println("hello world!"

println()

注意:第1行,我故意少写了一个)。如果peekError函数使用的是不正确的版本,那么会报告如下错误:

Syntax Error: <examples/xxx.mp:3:1> - expected next token to be ), got IDENTIFIER instead

可以看到,它报告的是下一个词元(peek Token)即第3行的println所在的位置(因为第2行是个空行)。这会让人感到非常困惑。

如果peekError函数使用的是正确的版本,那么报告如下错误:

Syntax Error: <examples/xxx.mp:1:21> - expected next token to be ), got IDENTIFIER instead

可以看到,语法解析器正确的汇报出了错误的行号。我们希望获取的是当前词元的位置+当前词元的长度这个错误位置,而不是下一个词元的位置(因为如果有多个空行或者多个注释行的情况下,下一个词元的行号可能离现在词元的行号位置相差很远了)。

现在我们的语法解析器(Parser)还剩下registerAction()函数里的回调函数没有实现,分别是:

  1. 解析数字的函数parserNumber
  2. 解析括号的函数parseGroupedExpression
  3. 解析中缀表达式的函数parseInfixExpression
  4. 解析前缀表达式的函数parsePrefixExpression

下面我们来逐步实现这几个函数:

首先是parseNumber函数,用来解析数字:

//parser.go

//解析数字
func (p *Parser) parseNumber() ast.Expression {
	lit := &ast.NumberLiteral{Token: p.curToken} //生成NumberLiteral节点

	//取出当前词元包含的字面量值,并将其转换为浮点数(float64)。
	value, err := strconv.ParseFloat(p.curToken.Literal, 64)
	if err != nil { //如果无法解析,则报错
		msg := fmt.Sprintf("Syntax Error:%v - could not parse %q as float", 
						   p.curToken.Pos, p.curToken.Literal)
		p.errors = append(p.errors, msg)
		p.errorLines = append(p.errorLines, p.curToken.Pos.Sline())
		return nil
	}

	lit.Value = value
	return lit
}

这个parseNumber函数返回的是NumberLiteral这个抽象语法树结构。

接下来是解析括号的函数parseGroupedExpression

//parser.go

//解析括号
func (p *Parser) parseGroupedExpression() ast.Expression {
	p.nextToken()

	exp := p.parseExpression(LOWEST)

    //解析完成后,判断下一个词元类型是否为右括号。如果不是的话,报错
	if !p.expectPeek(token.TOKEN_RPAREN) {
		return nil
	}

	return exp
}

再接下来是解析中缀表达式的函数parseInfixExpression

//parser.go

// 解析中缀表达式: <left-expression> operator <right-expression>
func (p *Parser) parseInfixExpression(left ast.Expression) ast.Expression {
    //生成中缀表达式节点
	expression := &ast.InfixExpression{
		Token:    p.curToken,
		Operator: p.curToken.Literal, //当前节点的操作符
		Left:     left, //左表达式
	}
	precedence := p.curPrecedence()
	// 如果当前的词元类型是'**', 我们希望它是右结合的。例如: 3 ** 2 ** 3 = 3 ** (2 ** 3)
    // 这里的做法非常简单,只需要将其优先级减去【1】即可。
    // 当然如果希望'**'是左结合的,那么下面的判断是不需要的。
	if p.curTokenIs(token.TOKEN_POWER) {
		precedence--
	}

	p.nextToken()
	expression.Right = p.parseExpression(precedence) //处理右表达式

	return expression
}

这里唯一需要注意的就是词元类型为**的时候的处理。我已经在代码的注释中写的比较清楚了,理解起来也应该不算困难。

最后是处理前缀表达式的函数parsePrefixExpression

//parser.go

// 解析前缀表达式: <prefix-operator><right-expression>
func (p *Parser) parsePrefixExpression() ast.Expression {
	expression := &ast.PrefixExpression{Token: p.curToken, Operator: p.curToken.Literal}
	p.nextToken()

    //注意:这里给parseExpression函数传入的是'PREFIX'的优先级,这个的优先级是最高的。所以诸如:
    //   2 + -2,  2 - -2
    //  都是合法的表达式。
    // 它们会被处理成:
    //   2 + (-2), 2 - (-2)
	expression.Right = p.parseExpression(PREFIX)

	return expression
}

还有一点不能忘记了,当遇到不合法的词元类型(TOKEN_ILLEGAL)的时候,我们也需要处理这种情况,因为这个所谓的Illegal词元类型可能会出现在程序的任何位置,所以我们必须为其注册前缀和中缀表达式回调函数:

//parser.go
func (p *Parser) registerAction() {
	p.prefixParseFns = make(map[token.TokenType]prefixParseFn)
	p.registerPrefix(token.TOKEN_ILLEGAL, p.parsePrefixIllegalExpression)
	//...

	p.infixParseFns = make(map[token.TokenType]infixParseFn)
	p.registerPrefix(token.TOKEN_ILLEGAL, p.parseInfixIllegalExpression)
	//...
}

func (p *Parser) parsePrefixIllegalExpression() ast.Expression {
	msg := fmt.Sprintf("Syntax Error:%v - Illegal token found. Literal: '%s'", 
						p.curToken.Pos, p.curToken.Literal)
	p.errors = append(p.errors, msg)
	p.errorLines = append(p.errorLines, p.curToken.Pos.Sline())
	return nil
}

func (p *Parser) parseInfixIllegalExpression() ast.Expression {
	msg := fmt.Sprintf("Syntax Error:%v - Illegal token found. Literal: '%s'", 
						p.curToken.Pos, p.curToken.Literal)
	p.errors = append(p.errors, msg)
	p.errorLines = append(p.errorLines, p.curToken.Pos.Sline())
	return nil
}

parsePrefixIllegalExpression()函数和parseInfixIllegalExpression函数的内容是一样的,都是简单的报告一个语法错误。当然如果你觉得代码重复了的话,你可以使其中一个函数来调用另一个函数,像下面这样:

//parser.go
func (p *Parser) parsePrefixIllegalExpression() ast.Expression {
	msg := fmt.Sprintf("Syntax Error:%v - Illegal token found. Literal: '%s'", 
                       p.curToken.Pos, p.curToken.Literal)
	p.errors = append(p.errors, msg)
	p.errorLines = append(p.errorLines, p.curToken.Pos.Sline())
	return nil
}

func (p *Parser) parseInfixIllegalExpression() ast.Expression {
    return parsePrefixIllegalExpression()
}

恭喜恭喜!我们的语法解析器(Parser)终于大功告成了。

测试语法解析器

现在我们写一个简单的测试程序,来验证一下我们的语法解析器(Parser):

//main.go
func TestParser() {
	input := " 1 + 2 * (5 - 3) * 3"          //输入
	expected := "(1 + ((2 * (5 - 3)) * 3))"  //期待值
	l := lexer.NewLexer(input)
	p := parser.NewParser(l)
	program := p.ParseProgram()
	if len(p.Errors()) != 0 { //如果语法有错误,则报告错误
		for _, err := range p.Errors() {
			fmt.Println(err)
		}
		os.Exit(1)
	}
	if program.String() != expected {
		fmt.Printf("Syntax error: expected %s, got %s\n", expected, program.String())
		os.Exit(1)
	}

	fmt.Printf("input  = %s\n", input)
	fmt.Printf("output = %s\n", program.String())
}

func main() {
	TestParser()
}

有的读者可能会有个疑问,对于带有括号的算术表达式,我们好像并没有处理括号的优先级,实际上这个括号的优先级是在parseGroupedExpression函数中处理的。但是我们在parseGroupedExpression函数里并没有看到处理任何有关优先级的代码啊,这是怎么回事?这就是Pratt解析器的神奇之处。是的,就是这么神奇!上面的例子能够正常运行,且返回正确的结果。

读者可以多写一些测试用例,来深入理解一下语法解析器(Parser)是如何工作的。

解释器(Evaluator)

通过上面的学习,读者应该了解了语法解析器(Parser)的实现步骤。现在到了最激动人心的时刻了。请大家稍安勿躁,容我慢慢讲来。

我们的解释器(Evaluator)的输入是抽象语法树(AST),解释器(Evaluator)通过解释抽象语法树(AST)来实现相应的脚本动作。

在实现之前,我们先想一想,我们需要定义什么信息,来表示解释器(Evaluator)的返回值呢?这就引出了我们将要讲的对象(Object)。

有的书籍或者文档中,使用Value这个概念,和我们这里讲的Object差不多是一个概念,只不过使用的是不同的术语罢了。

对象表示 (Representing Objects )

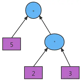
对于我们的简单计算器,当解释器(Evaluator)解释抽象语法树(AST)的时候,我们需要一个对象结构,来表示抽象语法树的计算结果(或者说中间结果)。举个例子:

1 + 2 + 3

当语法解析器遇到这样的表达式之后,它生成的抽象语法树如下图所示:

AST2.png

解释器(Evaluator)遇到上面的抽象语法树(AST)后,它需要将1+2的结果【3】先保存起来,然后再和3相加。

那么解释器(Evaluator)如何保存1+2的结果呢?这就需要用到解释器(Evaluator)的对象系统(Object system)了。

那么这个对象(Object)需要什么样的信息呢?

  1. 对象的类型(Object Type)
  2. 对象的字符串表示(输出或者调试用)

下面来看看对象(Object)的代码表示:

//object.go

//对象类型,这里为了便于理解,使用的是字符串类型,实际上还可以是整形。
type ObjectType string

//对象接口
type Object interface {
	Type() ObjectType  // 对象的类型
	Inspect() string   // 对象的字符串表示(输出或者调试用)
}

对于简单的计算器,我们如何表示我们的数字对象(Number Object)呢?其实对于 数字对象(Number Object),它唯一需要保存的就是数字,这个其实很好理解,下面是数字对象(Number Object)的代码表示:

//object.go

const (
	NUMBER_OBJ = "NUMBER"
)

// 数字对象(实现了Object接口)
type Number struct {
	Value float64 //数字对象存储的数字值
}

func (n *Number) Inspect() string {
	return fmt.Sprintf("%g", n.Value) //将对象中存储的数字,转换为字符串返回
}

func (n *Number) Type() ObjectType { return NUMBER_OBJ }

// 这里提供一个工具函数(utility function)
// 根据传入的浮点型参数,生成一个新的数字对象。
func NewNumber(f float64) *Number {
	return &Number{Value: f}
}

是不是觉得不可思议,简单到难以置信!

不要把这里的对象(Object)和面向对象系统中的对象搞混了,它们完全不是一个概念。

解释抽象语法树(AST)

有了这个对象(Object)系统后,接下来让我们看一下解释器(Evaluator)如何解释抽象语法树(AST):

//eval.go

//解释AST
func Eval(node ast.Node) Object {
	switch node := node.(type) {
	case *ast.Program: //遇到程序节点
		return evalProgram(node)
	case *ast.NumberLiteral: //遇到数字节点
		return evalNumber(node)
	case *ast.PrefixExpression: //遇到前缀表达式节点
		right := Eval(node.Right) //解释右表达式
		return evalPrefixExpression(node, right)
	case *ast.InfixExpression: //遇到中缀表达式节点
		left := Eval(node.Left) //解释左表达式
		right := Eval(node.Right) //解释右表达式
		return evalInfixExpression(node, left, right)
	}

	return nil
}

从上面的代码中可以看到,Eval()函数的内部是由一个巨大的swtich语句组成的。遇到特定的节点(Node)就解释(Evaluating)相应的节点,这个还是比较好理解的,而Eval()函数的返回值就是我们前面提到的对象(Object)。

下面我们分别来实现上面switch分支中的函数,这些函数的实现可能比你们想象的简单很多。

解释程序(Program)节点

//eval.go
func evalProgram(program *ast.Program) (results Object) {
	results = Eval(program.Expression) //解释程序(Program)节点中包含的表达式
	return results
}

对于程序(Program)节点的解释,仅仅是解释程序(Program)节点包含的表达式,这个应该也是比较好理解的。

下面我们再来看看如何解释数字节点。

解释数字节点

//eval.go

//解释数字节点: 3.23, 5,...
func evalNumber(n *ast.NumberLiteral) Object {
	return NewNumber(n.Value) //生成一个数字对象并返回
}

当遇到数字节点的时候,我们只是简单的取出数字节点(*ast.NumberLiteral)中的值,然后调用NewNumber来生成一个之前介绍的数字对象(Number Object),然后返回这个数字对象。

解释前缀表达式(prefix-expression)节点

//eval.go
//解释前缀表达式节点: -1.5, +2.3,...
func evalPrefixExpression(node *ast.PrefixExpression, right Object) Object {
	switch node.Operator {
	case "+": 
		return evalPlusPrefixOperatorExpression(node, right)
	case "-":
		return evalMinusPrefixOperatorExpression(node, right)
	default:
		return nil
	}
}

func evalPlusPrefixOperatorExpression(node *ast.PrefixExpression, right Object) Object {
	if right.Type() != NUMBER_OBJ {
		return nil
	}
	return right
}

func evalMinusPrefixOperatorExpression(node *ast.PrefixExpression, right Object) Object {
	if right.Type() != NUMBER_OBJ {
		return nil
	}
	value := right.(*Number).Value
	return NewNumber(-value)
}

对于前缀表达式节点,如果遇到诸如+1.3之类的节点的时候,我们只是判断一下对象的类型是否为数字类型,如果是的话,就简单返回这个数字对象(Number object)。当遇到诸如-2.5之类的节点的时候,同理,我们也只是判断一下对象的类型是否为数字类型,如果是的话,就将对象的值取负数,然后返回一个新的数字对象(Number Object)

细心的读者可能会注意到,我们的前缀表达式节点中,其实是不可能存在非数字节点的,所以上面的判断不是必须的。没错,对于简单的四则运算,我们确实不需要这个判断。但是我们将来会扩展这个方法,使其支持类似!true!false等语法,即支持!这种前缀。

解释中缀表达式(infix-expression)节点

//eval.go
//解释中缀表达式节点: 1.5 + 2.3, 3 * 5, ...
func evalInfixExpression(node *ast.InfixExpression, left, right Object) Object {
	switch {
	case left.Type() == NUMBER_OBJ && right.Type() == NUMBER_OBJ:
		return evalNumberInfixExpression(node, left, right)
	default:
		return nil
	}
}

func evalNumberInfixExpression(node *ast.InfixExpression, left, right Object) Object {
    leftVal := left.(*Number).Value //取出左边的数字对象(Number Object)中保存的值
	rightVal := right.(*Number).Value //取出右边的数字对象(Number Object)中保存的值

	switch node.Operator {
	case "+":
		return &Number{Value: leftVal + rightVal}
        //还可以使用: return NewNumber(leftVal + rightVal)
	case "-":
		return &Number{Value: leftVal - rightVal}
	case "*":
		return &Number{Value: leftVal * rightVal}
	case "/":
		return &Number{Value: leftVal / rightVal}
	case "%":
		v := math.Mod(leftVal, rightVal)
		return &Number{Value: v}
	case "**":
		return &Number{Value: math.Pow(leftVal, rightVal)}
	default:
		return nil
	}
}

这个代码实际上没有太多可说的。取出数字对象中存储的值,然后利用go语言进行四则运算后,生成新的数字对象(Number Object)返回。

注意:这里并没有处理除法的除数为【0】的情况,只是为了使程序更简单罢了。真正的脚本语言是必须要考虑到这层因素的。当然加上这个逻辑也是比较简单的,相信读者应该能够自行完成。

实际上,如果不处理这种异常情况,go语言自身也会抛出异常,从而导致我们的脚本语言解释器异常终了。之后我们扩展的时候,会加入异常的捕获。

It's Amazing!不是吗?这就是所有的解释代码。好了,又到了测试解释器的时候了。

测试解释器

//main.go

func TestEval() {
	tests := []struct {
		input    string //输入
		expected string //期待值
	}{
		{"-1 - 2.333", "-3.333"},
		{"+1 + 2", "3"},
		{"2 + (3 * 4) / ( 6 - 3 ) + 10", "16"},
		{"2 + 3 * 4 / 6 - 3  + 10", "11"},
		{"(5 + 2) * (4 - 2) + 6", "20"},
		{"5 + 2 * 4 - 2 + 6", "17"},
		{"5 + 2.1 * 4 - 2 + 6.2", "17.6"},
		{"2 + 2 ** 2 ** 3", "258"},
		{"10", "10"},
	}

	for _, tt := range tests {
		l := lexer.NewLexer(tt.input) //创建新的词法分析器
        p := parser.NewParser(l) //将词法分析器(Lexer)作为输入传给语法解析器(Parser)
		program := p.ParseProgram() //解析程序(Program)节点
		evaluated := eval.Eval(program) //解释程序
		if evaluated != nil {
			if evaluated.Inspect() != tt.expected {
				fmt.Printf("%s", evaluated.Inspect())
			} else {
				fmt.Printf("%s = %s\n", tt.input, tt.expected)
			}
		}
	}
}

func main() {
	TestEval()
}

总结

我们从介绍词元(Token)开始,到词法分析器(Lexer)输出词元(Token),再到语法解析器(Parser)根据输入的词元(Token),解析后生成抽象语法树(AST),最后到解释器(Evaluator)解释抽象语法树(AST),返回对象系统(Object System)中的对象。一步一个脚印的实现了一个简单的能够处理四则运算的计算器。有没有点非常激动人心的感觉?

很多读者可能会说,这么简单的四则运算的实现,你这也搞得太复杂了吧。这个我必须得承认,确实搞得有点太复杂了。使用堆栈的方式(或者EBNF的方式)很容易就能够实现一个这样的四则运算解释器了。但是这个设计,为以后的程序扩展带来了很多的便利。之后的文章,我们会在现有的代码的基础上,实现if-else判断,for/while循环(break, continue),数组/元组/哈希支持,函数(支持多值返回),内置函数,导入go语言的package和变量,导入(import)别人写的代码,结构(struct)支持,甚至让我们的解释器在浏览器中运行等等功能。

鉴于本篇的内容比较多,而且是后续文章的基础,所以这里建议初学者认真体会。最好多读几遍,以达到最终完全掌握的目的。

如果读者希望进一步学习的话,请继续关注我的下一篇文章,我们下次见!