「leetCode」114-二叉树展开为链表⚡️

118 阅读1分钟

一起养成写作习惯!这是我参与「掘金日新计划 · 4 月更文挑战」的第20天,点击查看活动详情

大家好,我是速冻鱼🐟,一条水系前端💦,喜欢花里胡哨💐,持续沙雕🌲,是隔壁寒草🌿的好兄弟。 欢迎小伙伴们加我微信:sudongyuer拉你进群,一起讨论,期待与大家共同成长🥂。

题目🦀

114. 二叉树展开为链表

难度中等

给你二叉树的根结点 root ,请你将它展开为一个单链表:

  • 展开后的单链表应该同样使用 TreeNode ,其中 right 子指针指向链表中下一个结点,而左子指针始终为 null

  • 展开后的单链表应该与二叉树 先序遍历 顺序相同。

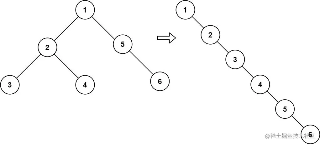
示例 1:

img

输入:root = [1,2,5,3,4,null,6]
输出:[1,null,2,null,3,null,4,null,5,null,6]

示例 2:

输入:root = []
输出:[]

示例 3:

输入:root = [0]
输出:[0]

提示:

  • 树中结点数在范围 [0, 2000]

  • -100 <= Node.val <= 100

**进阶:**你可以使用原地算法(O(1) 额外空间)展开这棵树吗?

解题思路🌵

  • 先进行前序遍历,遍历出各个节点
  • 然后将节点依次放书数组中
  • 最后遍历数组,拼接链表

解题步骤🐂

  • 初始化list数组用来存放结点
  • 进行先序遍历,存放结点
  • 遍历结点,拼接为链表

源码🔥

/**
 * Definition for a binary tree node.
 * function TreeNode(val, left, right) {
 *     this.val = (val===undefined ? 0 : val)
 *     this.left = (left===undefined ? null : left)
 *     this.right = (right===undefined ? null : right)
 * }
 */
/**
 * @param {TreeNode} root
 * @return {void} Do not return anything, modify root in-place instead.
 */
var flatten = function(root) {
        let list = []
        preTravel(root,list)

        for(let i=1;i<list.length;i++){
            const pre = null;
            const cur = list[i]
            list[i-1].left=pre;
            list[i-1].right=cur
        }
};

function preTravel(root,list){
    if(root){
        list.push(root)
        preTravel(root.left,list)
        preTravel(root.right,list)
    }
}

时间复杂度:O(n)

空间复杂度:O(n)

结束语🌞

那么鱼鱼的LeetCode算法篇的「leetCode」114-二叉树展开为链表⚡️就结束了,算法这个东西没有捷径,只能多写多练,多总结,文章的目的其实很简单,就是督促自己去完成算法练习并总结和输出,菜不菜不重要,但是热爱🔥,喜欢大家能够喜欢我的短文,也希望通过文章认识更多志同道合的朋友,如果你也喜欢折腾,欢迎加我好友,一起沙雕,一起进步

github🤖:sudongyu

个人博客👨‍💻:速冻鱼blog

vx👦:sudongyuer

写在最后

伙伴们,如果喜欢我的口水话给🐟🐟点一个赞👍或者关注➕都是对我最大的支持。

加我微信:sudongyuer,邀你进群,一起学习前端,成为更优秀的工程师~(群二维码在这里->前端要早睡, 二维码过期了的话看链接沸点中的评论,我会把最新的二维码放在评论区,当然也可以加我微信我拉你进群,毕竟我也是有趣的前端,认识我也不赖🌟~