java---sql优化

129 阅读3分钟

explain

语法:Explain + SQL 语句;

image.png

1. id
  • 1.1 id相同,执行顺序由上至下
explain select * from t1 where t1.id in (select t2.id from t2);
  • 1.2 id 不同,如果是子查询,id 号会递增,id 值越大优先级越高,越先被执行
explain select * from t1 where t1.id = (select t2.id from t2);

image.png

2. select_type
simple  简单的 select 查询,查询中不包含子查询或者 union 查询

primary  SQL 语句中包含任何子查询,那么子查询的最外层会被标记为 primary

subquery  在 select 或者 where 里包含了子查询,那么子查询就会被标记为 subQquery

derived  在 from 中包含的子查询,会被标记为衍生查询,会把查询结果放到一个临时表中

union / union result  如果有两个 select 查询语句,他们之间用 union 连起来查询,那么第二个 select 会被标记为 unionunion 的结果被标记为 union result
3. type\color{red}{type},性能高到低依次是 system > const > eq_ref > ref > range > index > all

一般来说,得保证查询至少是 range 级别,最好能达到 ref级别

system 表中只有一行记录
const  将主键索引或者唯一索引放到 where 条件中查询,MySQL 可以将查询条件转变成一个常量,只匹配一行数据,索引一次就找到数据了
eq_ref 在多表查询中,如 T1 和 T2,T1 中的一行记录,在 T2 中也只能找到唯一的一行,说白了就是 T1 和 T2 关联查询的条件都是主键索引或者唯一索引,这样才能保证 T1 每一行记录只对应 T2 的一行记录
ref    不是主键索引,也不是唯一索引,就是普通的索引,可能会返回多个符合条件的行。
range  一般出现在 where 条件中的 betweenand<>in 等范围查找中。
index  将所有的索引树都遍历一遍,查找到符合条件的行。索引文件比数据文件还是要小很多,所以全表扫描还是要快很多。
all   没用到索引,全表扫描,查找到符合条件的数据
4.key\color{red}{key} 此次查询中实际上用到的索引
5.keylen\color{red}{key_len} 长度越短查询效率越高
6.rows\color{red}{rows} 大致估算说要找到所需记录需要读取的行数,rows 越小越好

索引

-- 添加索引
alter table 表名 add  index idx_name_age(name, age)

-- 测试(不走缓存)
select sql_no_cache * from user where name = "bwf" and age = 18

索引优化

    1. 最左前缀法则(复合索引),带头大哥不能挂,桥不能断。
    1. sql中不要对索引做如下处理,否则索引会失效
加减乘除 !=  <>  / is null / or  等
函数 sum() 等
类型转换  id = 1 (表中id是字符串)
  • 3.索引字段不要放在范围查找的右边
比如复合索引(id,age,name) where id = ? and age > ? and name = ?
这个时候只能用到索引 id 和 age.
  • 4.减少select * 的使用
select * 会破坏覆盖索引(覆盖索引就是where的列覆盖查询的列)
  • 5.like的模糊搜索,like "%name%" 或者 like "%name" 会使索引失效
  • 6.order by 后面的索引会失效,除非使用覆盖索引,建议java代码层做排序
  • 7.联合索引失效原因:a是有序的,b是无序的,只有在a相等的情况下,b才是有序的

image.png

各种类型的索引

  • hash 索引
hash索引缺点:  hash生成的值是无序的,不利于范围的查询和排序的操作
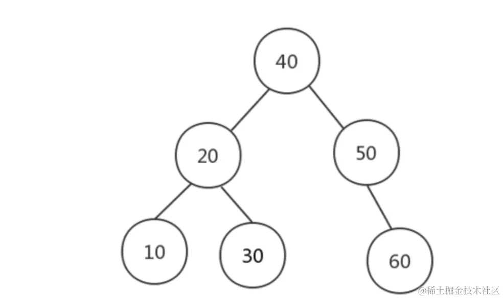
  • 平衡二叉树索引(左子树和右子树的高度的相差<=1) image.png
平衡二叉树索引缺点: 数据量多的时候树的高度就比较高,比较难查找到数据,另外譬如找大于某范围的值,需要回表查询
  • B树

image.png

B树优点:相对于平衡二叉树,高度变矮,查找速度变快
B树缺点:依然存在回旋查找的问题
  • B + 树

image.png

高度变矮,且有序排列,所以找大于某范围的也是很快

索引和表数据之间的关联

image.png