回归模型---多元线性回归

165 阅读2分钟

本文已参与「新人创作礼」活动,一起开启掘金创作之路。

上一篇博客主要对简单的线性回归进行的公式的推导,然后用代码进行了简单的实现。这篇博客接着上次的回归开始,主要进行拓展,讲一下多线性回归的内容。

多线性回归

上篇博文的例子是房屋的建筑面积影响房屋的价格,而且价格主要受房屋的面积这一单一因素的影响,但是在实际中,由于房屋所在的位置,楼层等因素都是实际影响房屋价格的因素,因此在现实中仅仅依靠单一简单的线性模型是没有办法完成相关性的预测的。

多线性回归可以找到多个输入变量X与输出变量Y之间的线性关系,以使得输入输出之间满足以下的一种预测关系。

2.PNG

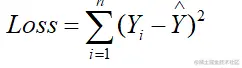
根据上述的预测关系,我们进一步可以得到多线性函数的损失函数,如下

3.PNG

多元线性回归

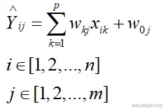
多元线性回归类比于多线性回归,公式如下

4.PNG

对于输出Y,表示的是第i个输入样本对应的第j个预测输出值,w表示回归系数,输入x表示的是第i个输入样本的第k个特征。整个公式的原型也是在最基础的线性模型演变而来,只不过在参数量方便有了较大的提升,由原来的两个变为现在的nxm个,此时再使用最小二乘法计算参数已经不再适合,而tensorflow中提供了一种高阶的API来解决计算问题,这一篇博客主要偏重原理,相对较为枯燥,但是想要理解其中的算法原理,还是希望能将公式看明白,在下篇博客中将重点介绍如何使用tensorflow中的Estimator求解多元线性回归的问题。