leetcode 230. Kth Smallest Element in a BST(python)

820 阅读2分钟

一起养成写作习惯!这是我参与「掘金日新计划 · 4 月更文挑战」的第19天,点击查看活动详情

描述

Given the root of a binary search tree, and an integer k, return the kth smallest value (1-indexed) of all the values of the nodes in the tree.

Example 1:

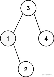
Input: root = [3,1,4,null,2], k = 1
Output: 1	

Example 2:

Input: root = [5,3,6,2,4,null,null,1], k = 3
Output: 3

Note:

The number of nodes in the tree is n.
1 <= k <= n <= 10^4
0 <= Node.val <= 10^4

解析

根据题意,给定二叉搜索树的根和一个整数 k ,返回树中所有节点值的第 k 个最小值(索引从 1 开始)。

这道题虽然难度是 Medium ,但是其实看过题目我们就能瞬间有了解题思路,就是考察对树的中序遍历,中序遍历其实就是先遍历左节点,再遍历根节点,再遍历右节点的顺序访问二叉树。

既然我们知道了题目考查的内容是中序遍历,那么最常见的就是两种方法,一种是递归解法,另一种就是用栈来实现,这里的解法是第一种解法。

递归的思路就是中序遍历的定义很简单,按照中序遍历的顺序将所有节点的值都放入一个列表中,最后用 k-1 索引返回值即可。

时间复杂度为 O(N),空间复杂度为 O(N) 。

另外题目还给出了更加复杂的条件让有能力的同学做,如果 BST 经常被修改(即我们可以进行插入和删除节点操作),并且需要让你频繁地找到第 k 个最小的值,你会如何优化?有兴趣的同学可以思考一下。

解答

class TreeNode(object):
    def __init__(self, val=0, left=None, right=None):
        self.val = val
        self.left = left
        self.right = right
class Solution(object):
    def kthSmallest(self, root, k):
        """
        :type root: TreeNode
        :type k: int
        :rtype: int
        """
        def inorder(root):
            result = []
            if not root: return result
            for node in inorder(root.left):
                result.append(node)
            result.append(root.val)
            for node in inorder(root.right):
                result.append(node)
            return result
        return inorder(root)[k-1]

运行结果

Runtime: 63 ms, faster than 36.13% of Python online submissions for Kth Smallest Element in a BST.
Memory Usage: 21.3 MB, less than 29.74% of Python online submissions for Kth Smallest Element in a BST.

原题链接

leetcode.com/problems/kt…

您的支持是我最大的动力