「LeetCode」617-合并二叉树⚡️

126 阅读3分钟

一起养成写作习惯!这是我参与「掘金日新计划 · 4 月更文挑战」的第19天,点击查看活动详情

大家好,我是速冻鱼🐟,一条水系前端💦,喜欢花里胡哨💐,持续沙雕🌲,是隔壁寒草🌿的好兄弟,刚开始写文章。 如果喜欢我的文章,可以关注➕点赞,为我注入能量,与我一同成长吧~

前言🌧️

算法,对前端人来说陌生又熟悉,很多时候我们都不会像后端工程师一样重视这项能力。但事实上,算法对每一个程序员来说,都有着不可撼动的地位。

因为开发的过程就是把实际问题转换成计算机可识别的指令,也就是《数据结构》里说的,「设计出数据结构,在施加以算法就行了」。

编写指令的好坏,会直接影响到程序的性能优劣,而指令又由数据结构和算法组成,所以数据结构和算法的设计基本上决定了最终程序的好坏

题目🦀

617. 合并二叉树

难度简单

给你两棵二叉树: root1root2

想象一下,当你将其中一棵覆盖到另一棵之上时,两棵树上的一些节点将会重叠(而另一些不会)。你需要将这两棵树合并成一棵新二叉树。合并的规则是:如果两个节点重叠,那么将这两个节点的值相加作为合并后节点的新值;否则,不为 null 的节点将直接作为新二叉树的节点。

返回合并后的二叉树。

注意: 合并过程必须从两个树的根节点开始。

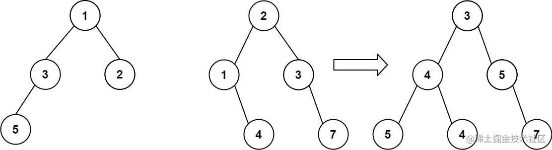
示例 1:

img

输入:root1 = [1,3,2,5], root2 = [2,1,3,null,4,null,7]
输出:[3,4,5,5,4,null,7]

示例 2:

输入:root1 = [1], root2 = [1,2]
输出:[2,2]

提示:

  • 两棵树中的节点数目在范围 [0, 2000]
  • -104 <= Node.val <= 104

解题思路🌵

  • 采用前序遍历解决此题
  • 需要注意的是传入的参数,以及边界条件的处理
  • 当左结点为空时,返回右结点
  • 当右结点为空时,返回左结点
  • 当都不会空时,创建新结点,将左右结点值相加并赋值给新结点
  • 再进行递归调用

解题步骤🐂

  • 处理边界条件 root1为空 返回root2
  • 处理边界条件 root2为空 返回root1
  • 都不为空,创建新结点
  • 再此递归调用得到 treeNode.left
  • 再此递归调用得到 treeNode.right

源码🔥

/**
 * Definition for a binary tree node.
 * function TreeNode(val, left, right) {
 *     this.val = (val===undefined ? 0 : val)
 *     this.left = (left===undefined ? null : left)
 *     this.right = (right===undefined ? null : right)
 * }
 */
/**
 * @param {TreeNode} root1
 * @param {TreeNode} root2
 * @return {TreeNode}
 */
var mergeTrees = function(root1, root2) {
    if(!root1){
        return root2
    }
     if(!root2){
        return root1
    }
    const treeNode = new TreeNode(root1.val+root2.val)
    treeNode.left = mergeTrees(root1.left,root2.left)
    treeNode.right = mergeTrees(root1.right,root2.right)
    return treeNode
};

时间复杂度:O(n)

空间复杂度:O(n)

结束语🌞

那么鱼鱼的LeetCode算法篇的「LeetCode」617-合并二叉树⚡️就结束了,算法这个东西没有捷径,只能多写多练,多总结,文章的目的其实很简单,就是督促自己去完成算法练习并总结和输出,菜不菜不重要,但是热爱🔥,喜欢大家能够喜欢我的短文,也希望通过文章认识更多志同道合的朋友,如果你也喜欢折腾,欢迎加我好友,一起沙雕,一起进步

github🤖:sudongyu

个人博客👨‍💻:速冻鱼blog

vx👦:sudongyuer

写在最后

伙伴们,如果喜欢我的口水话给🐟🐟点一个赞👍或者关注➕都是对我最大的支持。