[二叉数]翻转二叉树

137 阅读2分钟

一起养成写作习惯!这是我参与「掘金日新计划 · 4 月更文挑战」的第13天,点击查看活动详情

一、题目描述

原文链接:226. 翻转二叉树
具体描述: 给你一棵二叉树的根节点 root ,翻转这棵二叉树,并返回其根节点。

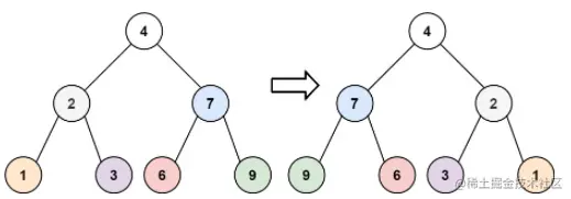
示例 1:

示例1.png

输入:root = [4,2,7,1,3,6,9] 输出:[4,7,2,9,6,3,1]

示例 2:

示例2.png

输入:root = [2,1,3] 输出:[2,3,1]

示例 3:

输入:root = [] 输出:[]

提示:

  • 树中节点数目范围在 [0, 100] 内
  • -100 <= Node.val <= 100

二、思路分析

这个题目主要是考查的还是二叉数的遍历! 比如说我们层次遍历的时候,不需要存储值,只需要把左右反转一下就可以来啦! 或者我们进行递归深度优先遍历的时候,只需要把左右孩子啊反转一下就可以啦!需要注意的就是前序遍历和后序遍历都可以反转左右孩子就可以来,但是中序遍历会反转两次,所以不容易实现,可以在纸上画画试试!


三、AC代码

深度遍历翻转

/**
 * Definition for a binary tree node.
 * public class TreeNode {
 *     int val;
 *     TreeNode left;
 *     TreeNode right;
 *     TreeNode() {}
 *     TreeNode(int val) { this.val = val; }
 *     TreeNode(int val, TreeNode left, TreeNode right) {
 *         this.val = val;
 *         this.left = left;
 *         this.right = right;
 *     }
 * }
 */
class Solution {
    public TreeNode invertTree(TreeNode root) {
        if (root == null) return root;
        swapChildren(root);
        invertTree(root.left);
        invertTree(root.right);
        return root;
    }
    public void swapChildren(TreeNode root){
        TreeNode tmpNode = root.left;
        root.left = root.right;
        root.right = tmpNode;
    }
}

层次遍历翻转

/**
 * Definition for a binary tree node.
 * public class TreeNode {
 *     int val;
 *     TreeNode left;
 *     TreeNode right;
 *     TreeNode() {}
 *     TreeNode(int val) { this.val = val; }
 *     TreeNode(int val, TreeNode left, TreeNode right) {
 *         this.val = val;
 *         this.left = left;
 *         this.right = right;
 *     }
 * }
 */
class Solution {
    public TreeNode invertTree(TreeNode root) {
        Queue<TreeNode> queue = new LinkedList();
        if (root != null) queue.offer(root);
        while (queue.isEmpty() == false){
            int len = queue.size();
            while (len > 0){
                TreeNode tmpNode = queue.poll();
                swapChildren(tmpNode);
                if (tmpNode.left != null) queue.offer(tmpNode.left);
                if (tmpNode.right != null) queue.offer(tmpNode.right);
                len--;
            }
        }
        return root;
    }

    public void swapChildren(TreeNode root){
        TreeNode tmpNode = root.left;
        root.left = root.right;
        root.right = tmpNode;
    }
}

四、总结

  • 复习二叉数的遍历方式

感谢大家的阅读,我是Alson_Code,一个喜欢把简单问题复杂化,把复杂问题简单化的程序猿! ❤