【LeetCode】19-删除链表的倒数第 N 个结点

248 阅读3分钟

一起养成写作习惯!这是我参与「掘金日新计划 · 4 月更文挑战」的第8天,点击查看活动详情

19-删除链表的倒数第 N 个结点

题目描述

给你一个链表,删除链表的倒数第 n 个结点,并且返回链表的头结点。

示例

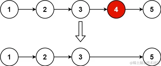
remove_ex1

示例一
输入:head = [1,2,3,4,5], n = 2
输出:[1,2,3,5]

示例二
输入:head = [1], n = 1
输出:[]

示例三
输入:head = [1,2], n = 1
输出:[1]

提示

  • 链表中结点的数目为 sz
  • 1 <= sz <= 30
  • 0 <= Node.val <= 100
  • 1 <= n <= sz

题解

首先从题目中得知需要删除的是链表的倒数第 n 个节点,重点在于倒数,如果是正数的第 n 个节点,那么我们直接遍历到链表的第 n - 1 个节点,然后将 n - 1 节点指向 n + 1节点即可删除掉第 n 个节点。

方法一

正如上面所说,删除正数的第 n 个节点很简单,那么我们就可以通过链表的长度和 n 计算出倒数第 n 个节点是正数第几个节点,然后再对链表进行遍历删除指定节点即可。

public ListNode removeNthFromEnd3(ListNode head, int n) {
  ListNode temp = new ListNode(0, head);
  int length = 0;
  while (head != null) {
    length++;
    head = head.next;
  }
  ListNode cur = temp;
  for (int i = 1; i < length - n + 1; ++i) {
    cur = cur.next;
  }
  cur.next = cur.next.next;
  return temp.next;
}

代码解析

首先通过 while 循环计算出链表的长度,然后通过 length - n + 1 即可计算出倒数的第 n 个节点前一个节点的位置,然后通过循环找到该节点的位置,将该节点指向要删除的节点的下一个节点即可。

新建一个临时节点只想传入的链表的头结点,这样是为了保证如果删除的刚好是头结点的问题。

方法二

除了通过 n 和链表长度计算出节点所在位置之外,还有一种方法就是直接使用倒数,那么要如何删除倒数第 n 个节点呢?这时候就需要使用到一个数据结构:栈(Stack),我们都知道栈的特征就是先进后出,那么如果我们将链表从头节点开始都将其放入到栈中,然后再又从栈中依次取出节点,那么取出的这个顺序不就成了倒数的吗,然后当取到倒数第 n 个节点的前一个节点时,就将其指向倒数第 n 个节点的下一个节点即可。

public ListNode removeNthFromEnd(ListNode head, int n) {
  ListNode temp = new ListNode(0, head);
  Deque<ListNode> stack = new LinkedList<ListNode>();
  ListNode cur = temp;
  while (cur != null) {
    stack.push(cur);
    cur = cur.next;
  }
  for (int i = 0; i < n; i++) {
    stack.pop();
  }
  ListNode prev = stack.peek();
  prev.next = prev.next.next;
  return temp.next;
}

代码解析

首先通过 while 循环将链表的所有节点从头结点开始都放入到栈中,然后通过 for 循环从栈中取出节点,一直取出到倒数第 n 个节点,这时候栈顶的节点就是链表倒数第 n 个节点的前一个节点,然后将其指向倒数第 n 个节点的下一个节点即可。

方法三

第三种方法就是使用前后两个指针,假设有指针 l1l2,首先 l2 指针先向后移动 n 个位置,然后再指针 l1l2 同时向后移动,直到 l2 到达链表的结尾,这时候 l1 指针所在的位置就是倒数第 n 个节点的前一个节点,然后将其指向倒数第 n 个节点的下一个节点即可。

public ListNode removeNthFromEnd2(ListNode head, int n) {
  ListNode temp = new ListNode(0, head);
  ListNode l1 = temp;
  ListNode l2 = head;
  for (int i = 0; i < n; i++) {
    l2 = l2.next;
  }
  while (l2 != null) {
    l1 = l1.next;
    l2 = l2.next;
  }
  l1.next = l1.next.next;
  return temp.next;
}

代码解析

首先通过 for 循环将指针 l2 先向后移动 n 个位置,然后使用 while 循环同时移动两个指针,当 l2 移动到最后时,l1 所在位置就刚好是倒数第 n 个节点的前一个节点。