统计学——概率论介绍(一)

435 阅读7分钟

统计学 #04 - 概率论介绍

基本概念,如联合、交叉和条件概率,以及维恩图和概率树的视觉化

照片:Simon BergeronUnsplash

目录

  1. 什么是概率
  2. 如何计算和显示概率
  3. 用维恩图可视化概率
  4. 交叉和联合
  5. 条件性概率
  6. 用概率树来显示概率
  7. 总结

今天,我们将讨论概率问题。如果你正在开始学习统计学,或者你只是想回忆一些基本概念,这个系列是为你准备的

什么是概率?

用一句话来说,概率就是某件事情发生的可能性有多大。

例如,当你在早上出门前查看天气预报应用程序时,应用程序显示将是一个阳光明媚的日子,只有5%的机会下雨,你可能不会带雨伞或雨衣,因为不太可能下雨。不过这也不是不可能的,因为天气预报并不总是准确的,即使它显示0%的下雨机会,也可能会下雨。它们是通过收集大量关于温度、湿度、风等方面的数据进行预测,以确定大气条件在未来可能如何演变。

因此,概率可以帮助人们和公司根据收集的数据和过去的经验,考虑预测的结果,做出明智的决定。

如何计算和显示概率

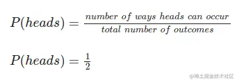
首先,让我们看看一个最简单的例子,在这个例子中我们可以进行概率性思考:掷硬币。

当你投掷硬币时,只有两种可能的结果**(事件**):正面_或_反面。对于一个标准的硬币,这两个事件发生的可能性相同,也就是说,我们有50%的机会得到正面,50%的机会得到反面。

在这个例子中,这两个可能的事件可以表示为:。

  • (_P(正面)--_硬币落在正面的概率
  • P(tails)--硬币落在尾巴上的概率

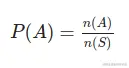
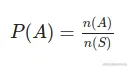
例如,如果我们想找到_P(head)_,我们需要用_head_的发生方式除以结果的总数,如下所示。

概率可以用分数、小数或百分比表示,只要所有概率的总和等于1或100%。在这种情况下,我们可以说 P(人头)=1/20.550%

为了概括,请考虑以下公式。

其中

  • _P(A)_是事件_A_发生的概率。
  • _n(A)_是_A_可能发生的方式的数量。
  • n(S)是结果的总数。

结果的总数也被称为样本空间,这里用字母S表示。

每本统计书中的另一个常用符号是补充事件**(A**′

P(A′)是事件A不发生的概率,可以显示为。

在我们的例子中, 发生的概率也是50%。

用维恩图可视化概率

将概率可视化的一个简单方法是使用维恩图。维恩图可以帮助我们直观地看到每种情况的概率,以及它们的交叉点和样本空间。

图片由作者提供

请注意,上面的维恩图在视觉上为我们提供了关于概率的宝贵信息。它显示了两个圆圈,代表投掷硬币后得到正面或反面的概率。请注意,这两个圆圈是相互分开的,因为这两个事件之间没有交集,也就是说,一枚硬币不可能既有正面也有反面朝上落地。

这意味着这两个事件(头和尾)是相互排斥的

请注意,样本空间也在我们的图中得到了体现。在这里,头和尾涵盖了整个样本空间内的所有事件,除了它们之外,没有其他可能的事件,用_0_表示。这意味着,头和尾是集体的穷尽性事件。

既然我们谈到了互斥的事件,现在让我们展示一个事件相交的图。

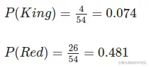
假设我们从一副牌中随机抽取一张牌。所选的牌是红色花色的国王的概率是多少?让我们考虑一副包含54张牌的牌,分为4种花色--黑桃梅花 (黑色)红心钻石 (红色)。每种花色都包含从2到10的牌,一张J,一张Q,一张K和一张A。此外,我们还有两个没有颜色的小丑。

那么,我们如何画一个维恩图来帮助我们直观地了解得到红色花色(红心或钻石)的国王的概率呢?

图片由作者提供

这种情况比硬币的例子要复杂一些。54张牌中有4张是国王,54张中有26张是红色花色的。然而,这些事件可能同时发生,我们有2种可能选到一张既是国王又是红色花色的牌,大约占4%的可能性。

请注意,这次我们在圆圈外有一个值(0.481)。它代表所选的牌既不是国王也不是红色花色的概率。

交叉和联合

为了理解交叉和联合的概念,让我们继续研究上一个例子。我们已经知道_P(国王)和_P(红色),如下图所示。

我们可以把这张牌是国王红色的概率(国王和红色的交集)写成如下。

有了这些信息,我们可以确定另一个数值。这张牌是国王红色的概率(A和B的联合)。

条件性概率

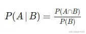
这里是事情开始变得更有趣的地方!当我们将一个条件应用于某些概率时,我们试图确定在另一事件_B_已经发生的情况下,事件_A_发生的概率。

条件概率可以显示为P(A|B),我们可以用下面的公式找到它。

进一步说,我们现在有另一种方法来寻找两个事件之间的交集。

因为_P(A∩B)=P(B∩A)_。

用概率树可视化概率

当我们处理条件概率时,用维恩图来可视化它们可能会变得很棘手。这时,概率树就派上用场了。概率树的基本结构如下。

图片由作者提供

现在,让我们思考一下我们之前做的卡组练习,但这次我们要做一些改变。假设我们已经知道我们拿的是一张红牌。这张牌是国王的概率是多少?概率树又如何帮助我们将其可视化呢?

首先,让我们应用条件概率的方程式。请注意,我们要测量的是,这张牌是红色花色的情况下P(King)

现在我们来检查一下概率树。

图片由作者提供

注意概率树如何帮助我们理解我们正在处理的概率。请记住,这是一个非常简单的例子,为了更好地理解,这些数值都是四舍五入的。根据你要预测的事件,树的表现形式可能有几个不同的附加分支。

结论

我希望这篇文章能帮助你快速掌握概率,如何计算概率,以及如何利用维恩图和概率树的优势,使你正在处理的概率可视化。

这不是一份关于概率论的详尽材料。如果你想更深入地了解这个主题,再进一步就是研究其他关键理论,如总概率法贝叶斯定理

总结一下,让我们回顾一下今天看到的内容。

计算概率

  • 一个事件A发生的概率是A可能发生的方式的数量除以可能结果的总数。
  • 相互排斥的事件不能同时发生(如头和尾)。
  • 事件A的补充是事件不发生。A不发生的概率用P(A′)表示。

交叉

  • 事件A B发生的概率是AB的交集**。**
  • 它用_P(A∩B)_表示。
  • 如果A和B是相互排斥的事件,P(A∩B)=0。

联合

  • 事件A B发生的概率是AB的联合的概率。
  • 它用_P(A∪B)_表示。

条件性概率

  • 它是在事件B已经发生的情况下,事件A发生的概率。
  • 它用_P(A|B)_表示。

概率的可视化

  • 维恩图是可视化概率的好方法。它可以显示样本空间中所有事件的概率,以及它们的结合点和交叉点。
  • 概率树对于可视化复杂的概率更为有用,例如,当条件适用时。

参考文献

[1] Griffiths, D. Head First Statistics:A Brain-Friendly Guide.O'Reilly, 2008.


Statistics #04 - Introduction to Probability最初发表于Towards Data Scienceon Medium,在那里人们通过强调和回应这个故事继续进行对话。