二叉树的右视图

218 阅读1分钟

一起养成写作习惯!这是我参与「掘金日新计划 · 4 月更文挑战」的第18天,点击查看活动详情

前言

笔者除了大学时期选修过《算法设计与分析》和《数据结构》还是浑浑噩噩度过的(当时觉得和编程没多大关系),其他时间对算法接触也比较少,但是随着开发时间变长对一些底层代码/处理机制有所接触越发觉得算法的重要性,所以决定开始系统的学习(主要是刷力扣上的题目)和整理,也希望还没开始学习的人尽早开始。

系列文章收录《算法》专栏中。

力扣题目链接

问题描述

给定一个二叉树的 根节点 root,想象自己站在它的右侧,按照从顶部到底部的顺序,返回从右侧所能看到的节点值。

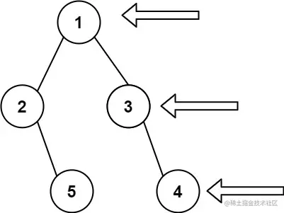
示例 1:

image.png

输入: [1,2,3,null,5,null,4]
输出: [1,3,4]

示例 2:

输入: [1,null,3]
输出: [1,3]

示例 3:

输入: []
输出: []

提示:

  • 二叉树的节点个数的范围是 [0,100]
  • -100 <= Node.val <= 100 

剖析

题目的示例优点潦草,注意题目是返回右侧能看到的节点值,就是如果右边没有节点时读左边的节点,也就是每层的最后一个节点。和二叉树的层序遍历很像,不用返回所有节点,只需要返回每层的最后一个元素即可,具体参考《二叉树的层序遍历》

时间复杂度:需要遍历所有树节点,所以为O(n)。
空间复杂度:如果二叉树为完全平衡二叉树的话设最底层的个数为m那么上面所有层加在一起的个数为m-1,m+m-1=n所以复杂度为O(n)。

代码

public static List<Integer> rightSideView(TreeNode root) {
    List<Integer> result = new ArrayList<>();

    Queue<TreeNode> queue = new LinkedList<>();
    if (root != null) {
        queue.offer(root);
    }
    while (!queue.isEmpty()) {
        int size = queue.size();

        for (int i = 0; i < size; i++) {
            TreeNode treeNode = queue.poll();

            if (i == (size - 1)) {
                result.add(treeNode.val);
            }

            if (treeNode.left != null) {
                queue.offer(treeNode.left);
            }

            if (treeNode.right != null) {
                queue.offer(treeNode.right);
            }
        }
    }
    return result;
}