【LeetCode Python实现】 删除链表的倒数第 N 个结点(中等)首次 99.5% +

126 阅读1分钟

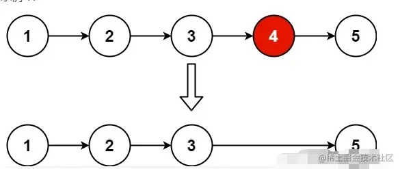
题目描述 给你一个链表,删除链表的倒数第 n 个结点,并且返回链表的头结点。

示例 1:

image.png

输出:[1,2,3,5]

示例 2:

输出:[]

示例 3:

输出:[1]

提示:

1 <= sz <= 30
0 <= Node.val <= 100
1 <= n <= sz

参考代码 第一次遍历获取链表的长度,第二次遍历到达要截取的位数移除节点。


# Definition for singly-linked list.
# class ListNode:
#     def __init__(self, val=0, next=None):
#         self.val = val
#         self.next = next
class Solution:
    def removeNthFromEnd(self, head: ListNode, n: int) -> ListNode:
        lens = 1
        temp = head
        while temp.next:
            temp = temp.next
            lens += 1
        
        if lens < n:
            return None
        elif lens == n:
            return head.next
        else:
            temp = head
            for i in range(lens - n - 1):
                temp = temp.next

            if n == 1:
                temp.next = None
            else:
                temp.next = temp.next.next
            
            return head

以上就是本次分享的全部内容,现在想要学习编程的小伙伴欢迎关注Python技术大本营,获取更多技能与教程。

掘金等广告图.png