算法入门(三):异或位运算的知识和拓展

192 阅读2分钟

一起养成写作习惯!这是我参与「掘金日新计划 · 4 月更文挑战」的第13天,点击查看活动详情

异或位运算知识

异或的口诀可以记忆为:不进位相加,就是:

0 ^ 1 = 1 // 0+1 = 1

1 ^ 0 = 1

0 ^ 0 = 0

1 ^ 1 = 0 // 1+1=10 -> 不进位是0

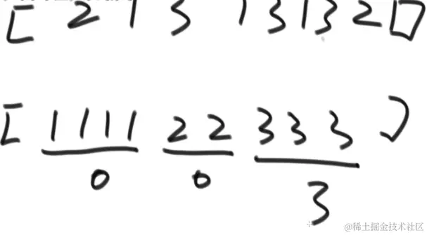
注意异或满足的两个重要规律:交换律与结合律

许多数一起异或,和乱序分开一部分一部分异或是完全一样的

image.png

所以就有另外一种swap代码了,我们来看下:

public static void swap(int[] arr,int a,int b){

// 另一种基于异或的swap写法

arr[a] = arr[a] ^ arr[b];

arr[b] = arr[a] ^ arr[b];// arr[b] = arr[a] ^ arr[b] ^ arr[b] = arr[a] 因为 N^N=0

arr[a] = arr[a] ^ arr[b]; // arr[a] = arr[a] ^ arr[b] ^ arr[a] = arr[b]

}

相关算法题

问题1

一个int数组,只有一种数出现了奇数次,其他数字都出现了偶数次,求该数字

第一个问题有异或的知识基础话非常简单,准备一个int eor = 0的数字,然后遍历和数字所有数字都异或一遍,最后eor值就是这个数字:

image.png

image.png

原理类似消消乐的感觉

问题2

一个int数组,已知有两种数出现了奇数次(两个数字不相同),其他数字都出现了偶数次,求该数字

第二个问题有些复杂,不能直接用上面的方法去进行,但是基于异或还是可以解决的。

思想:得想办法分析出两个奇数的差异,作为不相等的两个数字,肯定存在一位,奇数B此位为0,奇数A此位为1,基于位差异就可以掰开这个数组,将原先数字分成两组,一组此位为0,另一组为1,这样就变成一组数找一个奇数的问题了,

初始设置int eor = [...^..] = a^b; // 遍历数组异或结果就是a^b

image.png

当然整体思想了解之后,其实细节也涉及不少位运算,例如如何定位哪一位存在差异

public static void printOddTimesNum2(int arr[]){

int eor = 0;

// eor异或数组

for(int i = 0;i < arr.length;i++){

eor ^= arr[i];

}

// eor = a^b

// eor != 0

// eor 必有一个位置上为1

int rightOne = eor & (~eor + 1); // 提取最右的1的位算法 110010 & (001101 + 000001) = 000010

int onlyOne = 0;

for (int cur:arr){

// 掰开数组

if(rightOne & cur == 0){

onlyOne ^= cur;

}

}

System.out.println(onlyOne + " " + (eor ^ onlyOne))

}