【数据结构与算法】BFS和DFS算法(基础)

330 阅读2分钟

本文已参与「新人创作礼」活动,一起开启掘金创作之路。

深度优先搜索算法和广度优先搜索算法

导读

在《数据结构》这本书中,第七章第三小节讲了图的遍历,需要的同学可以自行去查看。同时,在牛客或者力扣刷题,遍历二叉树经常会用到DFS和BFS。

和树的遍历类似。图的遍历也是从某一顶点出发访遍图中其余顶点,且使每一个顶点仅被访问一次。这一过程就叫做图的遍历。图的遍历算法是求解图的连通性问题、拓扑排序和求关键路径等算法的基础。在图的遍历中,为了避免同一顶点被访问多次,必须记下每个已访问过的顶点。可以设置一个辅助数组用以判断当前结点是否已被访问。

在图的遍历中,有:深度优先搜索和广度优先搜索,他们对无向图和有向图都适用。

区别

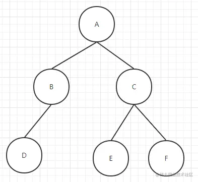
假设有这样一棵树如下所示:

二叉树

深度优先搜索算法(Breadth-First-Search,缩写为 BFS):上图的遍历顺序为A-B-D-C-E-F。是一种利用队列实现的搜索算法,类似于树的先序遍历,是树的先序遍历的推广。

广度优先搜索算法(Breadth-First-Search,缩写为 BFS):上图的遍历顺序为A-B-C-D-E-F。是一种利用递归搜索算法。遍历类似于树的按层次遍历的过程。

BFS的重点在于队列,而DFS的重点在于递归。这是它们的本质区别

应用

求树的深度

输入一棵二叉树,求该树的深度。从根结点到叶结点依次经过的结点(含根、叶结点)形成树的一条路径,最长路径的长度为树的深度。

DFS方法

“不撞南墙不回头”

/*
struct TreeNode {
    int val;
    struct TreeNode *left;
    struct TreeNode *right;
    TreeNode(int x) :
            val(x), left(NULL), right(NULL) {
    }
};*/
class Solution {
public:
    int TreeDepth(TreeNode* pRoot)
    {
        if(pRoot == NULL){
            return 0;
        }
        int left = TreeDepth(pRoot->left);
        int right = TreeDepth(pRoot->right);
        return (left > right) ? (left + 1) : (right + 1);
    }
};

BFS方法

“剥洋葱,一层一层剥开”

C++
/*
struct TreeNode {
	int val;
	struct TreeNode *left;
	struct TreeNode *right;
	TreeNode(int x) :
			val(x), left(NULL), right(NULL) {
	}
};*/
class Solution {
public:
    int TreeDepth(TreeNode* pRoot)
    {
        if(pRoot == NULL){
            return 0;
        }
        queue<TreeNode*> que;
        int depth = 0;
        que.push(pRoot);
        while(!que.empty()){
            int size = que.size();
            depth++;
            for(int i = 0; i < size; i++){
                TreeNode* node = que.front();
                que.pop();
                if(node->left){
                    que.push(node->left);
                }
                if(node->right){
                    que.push(node->right);
                }
            }
        }
        return depth;
    }
};