实验四 数据选择器及其应用

2,909 阅读7分钟

本文已参与「新人创作礼」活动,一起开启掘金创作之路。

目录

一、实验预习要求

1、复习数据选择器的工作原理。
2、用数据选择器对实验内容中的各逻辑函数式进行预设计。

二、实验目的

1、掌握中规模集成数据选择器的逻辑功能及使用方法。
2、学会用中规模集成数据选择器构成组合逻辑电路的方法。

三、实验原理

在多路数据传输过程中,能实现从多路信号中有选择地传送某一路到唯一公用数据输出端的电路称为数据选择器,其选择功能由地址码(选择控制)的输入端编码决定。数据选择器的功能类似于一个单刀多掷开关,所以又称为“多路开关”。其示意图如图1所示。
在这里插入图片描述

	图1 4选1数据选择器示意图

图中有四路数据D0~D3,当选通端(使能端)有效时(低电平有效),通过选择控制信号(地址码)A1、A0从四路数据中选中一路数据送至公用数据输出端Y。
数据选择器是目前逻辑设计中应用十分广泛的组合逻辑部件,其应用不仅能实现信号的多路传输,还可以构成函数发生器、波形产生器、串并行转换器等。用它实现组合逻辑函数具有电路更简单、使用更方便等特点。其集成电路产品主要有2选1、4选1、8选1、16选1等数据选择器类型。

1、双4选1数据选择器74LS153

所谓双4选1数据选择器,就是在一块集成芯片上集成两个完全独立的4 选1 数据选择器,其引脚排列如图2所示,功能如表1所示。

在这里插入图片描述在这里插入图片描述

图2双4选1数据选择器74LS153引脚排列图      表1 数据选择器74LS153功能表

4选1数据选择器的逻辑表达式可写为
在这里插入图片描述

2、8选1数据选择器74LS151

74LS151为互补输出的8选1数据选择器,其引脚排列如图3所示,功能如表2所示。
在这里插入图片描述在这里插入图片描述

图3 8选1数据选择器74LS151的引脚排列图  表2 数据选择器74LS151功能表

8选1数据选择器的逻辑表达式可写为
在这里插入图片描述

3、数据选择器的具体应用

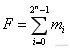
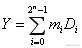
对于n个地址输入的数据选择器,其表达式还可写为
在这里插入图片描述

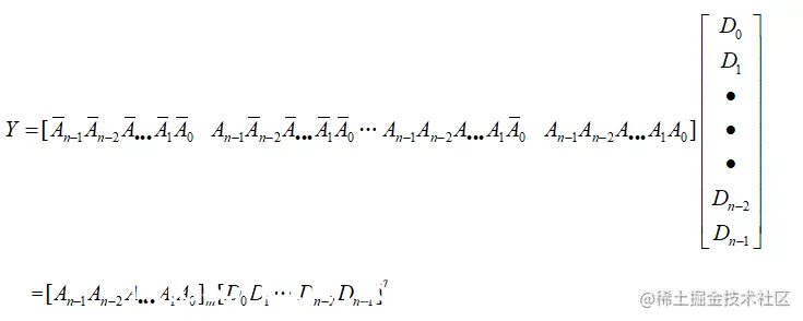
式中,mi是地址变量An-1、…、A1、A0所对应的最小项,称为地址最小项。上式还可以用矩阵形式表示为
在这里插入图片描述

式中在这里插入图片描述是由地址最小项组成的行阵,在这里插入图片描述是由地址最小项组成的行阵,…是由D0~Dn-1组成的列阵的转置。
而任何一个具有l个输入变量的逻辑函数都可以用最小项之和来表示:
在这里插入图片描述

这里的mi是由函数的输入变量A、B、C、…组成的最小项。
通过比较Y和F的表达式可以看出,只要将逻辑函数的输入变量A、B、C、…加至数据选择器地址输入端,并适当选择Di的值,使F=Y,就可以用数据选择器实现函数F。因此,用数据选择器实现函数的关键在于如何确定Di的对应值。
(1)在这里插入图片描述的情况
l为函数的输入变量数,n为选用的数据选择器的地址输入端数。当l=n时,只要将逻辑函数的输入变量A、B、C、…依次接到数据选择器的地址输入端,根据函数F所需要的最小项,确定数据选择器中Di的值(0或1)即可;当l<n时,将数据选择器的的高位地址输入端不用(接0或1),其余同上。
例1、试用8选1数据选择器74LS151实现逻辑函数在这里插入图片描述

:首先求出逻辑函数式的最小项表达式为在这里插入图片描述
当采用8选1的数据选择器时,有
在这里插入图片描述

令A2=A,A1=B,A0=C,要使F=Y,则输入数据D0 =D3=D5=D7=1,D1=D2= D4=D6=0,此时Y=(ABC)m(10010101)T=m(0,3,5,7),故F=Y。用74LS151实现逻辑函数F的逻辑图如图4所示。
在这里插入图片描述

		图4例1逻辑图

需要注意的是,因为函数F中各最小项的标号是按A、B、C的权为4、2、1写出的,因此A、B、C必须依次加到A2、A1、A0端。
(2)在这里插入图片描述的情况
当逻辑函数的变量数大于数据选择器的地址输入端数n时,不能采用上面所述的简单方法。如果从个输入变量中选择n个直接作为数据选择器的地址输入,那么多余的个变量就要反映到数据选择器的数据输入Di端,即Di是多余输入变量的函数,简称余函数。因此设计的关键是如何求出函数Di。确定余函数Di可以采用代数法或降维K图法。
例2、试用4选1数据选择器74LS153实现逻辑函数
解:首先选择地址输入,令A1A0=AB,则多余输入变量为C,余函数Di=f©。 
本实验确定余函数Di采用代数法,即用代数法将F的表达式变换为与Y相应的形式:
在这里插入图片描述
在这里插入图片描述

将F与Y对照可得在这里插入图片描述,因此用74LS153实现逻辑函数F的逻辑图如图5所示。
在这里插入图片描述

		图5例2逻辑图

四、实验设备与器件

1、TH-SZ型数字系统设计实验箱;
2、74LS04 六反相器,74LS151 8选1数据选择器;
3、导线/插接线若干。

五、实验内容与步骤

1、测试74LS151的逻辑功能
根据74LS151的引脚排列图,在74LS151的第8脚GND接实验箱上的地,第16脚VCC接实验箱上的+5V电源。将输出端Y接逻辑电平显示插口上,地址输入端A2A1A0、数据输入端D0~D7、选通端分别接逻辑电平开关输出插口上,按74LS151的功能表逐项测试其逻辑功能,并记录测试结果。测试电路时应特别注意,所测芯片A2A1A0中,前者应为高位。
2、用74LS151实现一个一位全加器。要求:写出设计过程,画出逻辑电路图,验证逻辑功能。
在这里插入图片描述
在这里插入图片描述

							仿真图

3、用74LS151实现一个输血者血型与受血者血型符合的“输血规则”电路,已知输血规则图如图6所示。要求:写出设计过程,画出逻辑电路图,验证逻辑功能。
设计提示:输血规则及编码如图6所示,当输血者血型与受血者血型符合“输血规则”时,电路输出为1,否则输出为0。
在这里插入图片描述

	图6 输血规则图

在这里插入图片描述 在这里插入图片描述
在这里插入图片描述 在这里插入图片描述
在这里插入图片描述 在这里插入图片描述
在这里插入图片描述 在这里插入图片描述
在这里插入图片描述
在这里插入图片描述

				仿真图

六、实验报告要求

1、写出用数据选择器对实验内容进行设计的详细过程,画出接线图,并进行逻辑功能测试。
2、总结实验收获、体会及数据选择器的电路结构特点,并说明地址变量对数据选择器有何作用。
3、整理实验记录,并对结果进行分析。

更多相关文章点这里哦

数字电子技术基础(全套实验手册及仿真工艺实习)

通信工程(信息类,电子类,电气工程,自动化,计算机,软件工程,机电,等相关专业)全套学习指导