实验五 连续信号的频谱分析

327 阅读6分钟

本文已参与「新人创作礼」活动,一起开启掘金创作之路。

目录

一、实验目的

1、掌握连续周期信号的各次谐波的分解,周期T趋于无穷大时频谱的变化;
2、掌握连续非周期信号频谱的MATLAB实现;
3、对连续信号的频谱有一定感性认识。

二、实验原理

MATLAB工具箱提供了一系列与实现LTI系统频域分析相关的函数,例如调用Fourier函数求傅氏变换:

F=fourier(f) % F=FT「f」,默认返回关于ω的函数。

1、连续周期信号的傅里叶级数、各次谐波及叠加

用MATLAB绘制周期方波信号,并绘制其傅里叶级数展开式中基波及3次谐波、5次
谐波并进行叠加,与原方波进行对比。
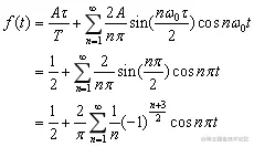
例1:周期矩形信号在这里插入图片描述,当A=1,τ=1,T=2,求其傅里叶级数展开式


化简得
在这里插入图片描述

实现方波的程序

clear all
f=sym('heaviside(t)-heaviside(t-0.5)+heaviside(t-1.5)-heaviside(t-2.5)');
ezplot(f,[0 3]);
title('f(t)');xlabel('t');axis([0 3 -0.5 1.5])
grid on 

运行程序结果如下
在这里插入图片描述

在方波基础上绘制基波,程序如下:

clear all
f=sym('heaviside(t)-heaviside(t-0.5)+heaviside(t-1.5)-heaviside(t-2.5)');
ezplot(f,[0 3]);title('f(t)');xlabel('t');axis([0 3 -0.5 1.5]);
grid on ;
hold on ;  %下面绘制基波
t=0:0.001:3;
x0=0.5+2/pi*cos(pi*t);
plot(t,x0);

运行程序结果如下
在这里插入图片描述

加入3次谐波合成波,程序如下:

clear all
f=sym('heaviside(t)-heaviside(t-0.5)+heaviside(t-1.5)-heaviside(t-2.5)');
subplot(2,1,1);
ezplot(f,[0 3]);title('f(t)');xlabel('t');axis([0 3 -0.5 1.5]);
grid on 
hold on  %下面绘制基波
t=0:0.001:3
x3=0.5-2/(3*pi)*cos(3*pi*t);
plot(t,x3) %绘制3次谐波
subplot(2,1,2);
f=sym('heaviside(t)-heaviside(t-0.5)+heaviside(t-1.5)-heaviside(t-2.5)')
ezplot(f,[0 3]);title('f(t)');xlabel('t');axis([0 3 -0.5 1.5]);grid on 
hold on
x03=0.5+2/pi*cos(pi*t)-2/(3*pi)*cos(3*pi*t);
plot(t,x03) % 绘制合成波

运行程序结果如下
在这里插入图片描述

2、连续周期信号的周期T的变化对频谱的影响

例2 周期矩形信号序列


已知(1)A=1,τ=1,T=2(2)A=1,τ=1,T=4(3)A=1,τ=1,T=6
试求其付氏复系数Fn,并说明周期T对频谱的影响。

在这里插入图片描述

实现程序如下
%实现第一个脉冲序列的频谱

clear all
n= -40:40;
A=1;tao=1;T=2 ; w1=2*pi/T;
x= n*tao/T; Fn=A*tao/T*sinc(x);
subplot(3,1,1);
stem(n,Fn,'.');title('tao=1,T=2');xlable('t');axis([-40 40 -0.11 0.51]),grid on 

运行程序结果如下
在这里插入图片描述

3、连续非周期信号的频谱

例3:用MATLAB实现矩形脉冲f(t)=g1(t)的傅里叶变换。

clear all
f=sym('heaviside(t+0.5)-heaviside(t-0.5)')
F=fourier(f);
subplot(2,2,1);
ezplot(f,[-2 2]);title('f(t)');xlabel('t');grid on 
subplot(2,2,2);
ezplot(abs(F),[-10 10]);
title('|F(w)|');xlabel('w');axis([-9.43 9.43 -0.1 2.2]);grid on 
subplot(2,2,3);
ezplot(F,[-10 10]);title('F(w)');xlabel('w');axis([-9.43 9.43 -0.5 2.2]);grid on 
%相频特性
w=-10:0.01:10;
phase = 3.142*rectpuls(w-4.713,3.142)-3.142*rectpuls(w+4.713,3.142);
subplot(2,2,4);
plot(w, phase);title('φ(w)');xlabel('w');axis([-9.43 9.43 -4 4]);grid on 

运行程序结果如下
在这里插入图片描述

三、实验内容

1、在实验原理1中,绘制加入5次谐波后的波形,根据该仿真图,说明为什么加入5次谐波后波形更接近于原始方波?

程序如下:

clear all
f=sym('heaviside(t)-heaviside(t-0.5)+heaviside(t-1.5)-heaviside(t-2.5)');
subplot(2,1,1);
ezplot(f,[0 3]);
title('f(t)');xlabel('t');axis([0 3 -0.5 1.5])
grid on 
 
subplot(2,1,2);
t=0:0.001:3
f=sym('heaviside(t)-heaviside(t-0.5)+heaviside(t-1.5)-heaviside(t-2.5)')
ezplot(f,[0 3]);title('f(t)');xlabel('t');axis([0 3 -0.5 1.5]);grid on 
hold on
x0135=0.5+2/pi*cos(pi*t)-2/(3*pi)*cos(3*pi*t)+2/(5*pi)*cos(5*pi*t);
plot(t,x0135) % 绘制合成波

运行结果如下:
在这里插入图片描述

2、在实验原理2中若取

(1)A=1,τ=1,T=10;

程序如下:

clear all
n= -40:40;
A=1;tao=1;T=10 ; w1=2*pi/T;
x= n*tao/T; Fn=A*tao/T*sinc(x);
subplot(3,1,1);
stem(n,Fn,'.');title('tao=1,T=10');xlable('t');axis([-40 40 -0.11 0.51]),grid on 

运行结果如下:
在这里插入图片描述

(2)

程序如下:

A=1,τ=2,T=10;
clear all
n= -40:40;
A=1;tao=2;T=10 ; w1=2*pi/T;
x= n*tao/T; Fn=A*tao/T*sinc(x);
subplot(3,1,1);
stem(n,Fn,'.');title('tao=2,T=10');xlable('t');axis([-40 40 -0.11 0.51]),grid on

运行结果如下:

在这里插入图片描述

(3)A=1,τ=5,T=10。试分析其傅氏复系数Fn的变化,并说明脉冲宽度τ的变化对频谱的影响。

程序如下:

clear all
n= -40:40;
A=1;tao=5;T=10 ; w1=2*pi/T;
x= n*tao/T; Fn=A*tao/T*sinc(x);
subplot(3,1,1);
stem(n,Fn,'.');title('tao=5,T=10');xlable('t');axis([-40 40 -0.11 0.51]),grid on

运行结果如下:
在这里插入图片描述

改变周期T,观察频谱波形的变化,说明周期T的变化对傅氏复系数Fn的影响。

程序如下:

clear all
n= -40:40;
A=1;tao=1;T=20 ; w1=2*pi/T;
x= n*tao/T; Fn=A*tao/T*sinc(x);
subplot(3,1,1);
stem(n,Fn,'.');title('tao=1,T=20');xlable('t');axis([-40 40 -0.11 0.51]),grid on 

运行结果如下:

在这里插入图片描述

						表 1

程序如下:

clear all
n= -40:40;
A=1;tao=1;T=30 ; w1=2*pi/T;
x= n*tao/T; Fn=A*tao/T*sinc(x);
subplot(3,1,1);

stem(n,Fn,'.');title('tao=1,T=30');xlable('t');axis([-40 40 -0.11 0.51]),grid on 

在这里插入图片描述

						表 2
clear all
n= -40:40;
A=1;tao=1;T=40 ; w1=2*pi/T;
x= n*tao/T; Fn=A*tao/T*sinc(x);
subplot(3,1,1);
stem(n,Fn,'.');title('tao=1,T=40');xlable('t');axis([-40 40 -0.11 0.51]),grid on 

在这里插入图片描述

						表 3

3、在实验原理3中,根据要求绘制脉宽为1的信号的时频域波形,说明脉宽τ的变化对幅频特性和相频特性的影响。

程序如下:

clear all
f=sym('heaviside(t+1)-heaviside(t-1)')
F=fourier(f);
subplot(2,2,1);
ezplot(f,[-2 2]);title('f(t)');xlabel('t');grid on 
subplot(2,2,2);
ezplot(abs(F),[-10 10]);
title('|F(w)|');xlabel('w');axis([-9.43 9.43 -0.1 2.2]);grid on 
subplot(2,2,3);
ezplot(F,[-10 10]);title('F(w)');xlabel('w');axis([-9.43 9.43 -0.5 2.2]);grid on 
%相频特性
w=-10:0.01:10;
phase = 3.142*rectpuls(w-4.713,3.142)-3.142*rectpuls(w+4.713,3.142);
subplot(2,2,4);
plot(w, phase);title('φ(w)');xlabel('w');axis([-9.43 9.43 -4 4]);grid on 

运行结果如下:

在这里插入图片描述