实验三 连续系统的时域分析

1,263 阅读6分钟

本文已参与「新人创作礼」活动,一起开启掘金创作之路。

目录

一、实验目的

1.学会用MATLAB求解连续系统的零状态响应;
2. 学会用MATLAB求解冲激响应及阶跃响应;
3.学会用MATLAB实现连续信号卷积的方法;

二、实验原理

LTI连续系统数学模型为 在这里插入图片描述

(1)连续系统的冲激响应h(t)的求取可调用impulse(b, a)实现。其中a=[a2 a1 a0]是响应y侧系数向量,b=[b2 b1 b0]是激励f侧系数向量。
(2)连续系统的零状态响应yzs(t)的求取可调用lsim(b, a, f, t)实现。其中f是激励向量,t表示计算连续系统响应的时间抽样点向量,a、b向量同上。
(3)连续系统的零状态响应yzf(t)的求取也可调用conv(f, h)实现,也就是下面将要介绍的连续信号卷积的近似计算。

1.连续时间系统零状态响应的数值计算

在MATLAB中,控制系统工具箱提供了一个用于求解零初始条件微分方程数值解的函数lsim。其调用格式
y=lsim(sys,f,t)
式中,t表示计算系统响应的抽样点向量,f是系统输入信号向量,sys是LTI系统模型,表示微分方程,差分方程或状态方程。其调用格式
sys=tf(b,a)
式中,b和a分别是微分方程的右端和左端系数向量。例如
在这里插入图片描述

在这里插入图片描述获得其LTI模型。
NOTE: 如果微分方程的左端或右端表达式中有缺项,则其向量a或b中的对应元素应为补零,不能省略。
例2-1 已知某LTI系统的微分方程为 y’’(t)+ 2y’(t)+100y(t) = f(t)
其中,在这里插入图片描述,求系统的输出y(t) .
解:这是一个求系统零状态响应的问题。其MATLAB计算程序如下:

  ts=0; te=5;dt=0.01;
  sys=tf([1],[1,2,100]);
  t=ts:dt:te;
  f=10*sin(2*pi*t);
  y=lsim(sys,f,t);
  plot(t,y);
  xlabel('Time(sec)'); ylabel('y(t)');

2.连续时间系统冲激响应和阶跃响应的求解

在MATLAB中,对于连续LTI系统的冲激响应和阶跃响应,可分别用控制系统工具箱提供的函数impluse和step来求解。其调用格式为
y=impluse(sys,t) , y=step(sys,t)
式中,t表示计算系统响应的抽样点向量,sys是LTI系统模型。
例2-2已知某LTI系统的微分方程 y’’(t)+ 2y’(t)+100y(t)=10f(t)
求系统的冲激响应和阶跃响应的波形.

解:

ts=0;te=5;dt=0.01;
    sys=tf([10],[1,2,100]);
t=ts:dt:te;
h=impulse(sys,t);
figure;
plot(t,h);
    xlabel('Time(sec)');
    ylabel('h(t)');
g=step(sys,t);
figure;
plot(t,g);
    xlabel('Time(sec)');
ylabel('g(t)');

3. 用MATLAB实现连续时间信号的卷积

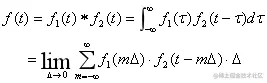
信号的卷积运算需调用MATLAB的conv( )函数近似计算信号的卷积积分。连续信号的
卷积积分定义是
在这里插入图片描述

如果对连续信号f1(t)和f2(t)进行等时间间隔均匀抽样,则f1(t)和f2(t)分别变为离散时间信号在这里插入图片描述在这里插入图片描述。其中,在这里插入图片描述为整数。当在这里插入图片描述足够小时,在这里插入图片描述在这里插入图片描述为连续时间信号f1(t)和f2(t)。因此
在这里插入图片描述

采用数值计算时,只求当在这里插入图片描述时卷积积分f(t) 的值,其中,n为整数
在这里插入图片描述

其中,在这里插入图片描述实际就是离散序列在这里插入图片描述在这里插入图片描述的卷积和。当在这里插入图片描述足够小时,序列在这里插入图片描述就是连续信号的数值近似
在这里插入图片描述
上式表明,连续信号f1(t)和f2(t)的卷积,可用各自抽样后的离散时间序列的卷积再乘以抽样间隔在这里插入图片描述。抽样间隔在这里插入图片描述越小,误差越小。
例2-3用数值计算法求在这里插入图片描述 在这里插入图片描述的卷积积分。
解:因为在这里插入图片描述是一个持续时间无限长的信号,而计算机数值计算不可能计算真正的无限长信号,所以在进行f2(t)的抽样离散化时,所取的时间范围让f2(t)衰减到足够小就可以,本例取在这里插入图片描述

dt=0.01; t=-1:dt:2.5;
f1=heaviside(t)-heaviside(t-2);
f2=exp(-3*t).*heaviside(t);
f=conv(f1,f2)*dt; n=length(f); tt=(0:n-1)*dt-2;
subplot(221), plot(t,f1), grid on;
axis([-1,2.5,-0.2,1.2]); title('f1(t)'); xlabel('t')
subplot(222), plot(t,f2), grid on;
axis([-1,2.5,-0.2,1.2]); title('f2(t)'); xlabel('t')
subplot(223), plot(tt,f), grid on;
title('f(t)=f1(t)*f2(t)'); xlabel('t')

由于f1(t)和f2(t)的时间范围都是从t = -1开始,所以卷积结果的时间范围从 t = -2开始.

三、实验内容

1. 验证实验原理中所述的相关程序
2. 已知描述系统的微分方程和激励信号f(t)如下,试用解析法求系统的零状态响应y(t),并用MATLAB绘出系统零状态响应的时域仿真波形,验证结果是否相同在这里插入图片描述; 在这里插入图片描述

程序如下:

 a = [1,3,6];
n = length(a)-1;
Y0 = [0,10];
b = [1,6,8];
te = 0;dt = 0.001;ts = 9;
t = te:dt:ts;
f = sin(2*t)+cos(5*t);
p = roots(a);   %求出其次解
V = rot90(vander(p));  %生成2*2矩阵并旋转90度
c = V\Y0';  %求出待定系数r1,r2的值
y1 = zeros(1,length(t)); %建立一个1*length(t)的矩阵
for k = 1:n ,y1 = y1+c(k)*exp(p(k)*t);end %求出冲激响应
dt = ts/(length(t)-1);
[r,p,k] = residue(b,a);
h = r(1)*exp(p(1)*t)+r(2)*exp(p(1)*t);
y2 = conv(f,h)*dt;
subplot(2,1,1);
plot(t,y1);
grid on
title('零输入响应')
xlabel('t');ylabel('y1');
subplot(2,1,2);
plot(t,y2(1:length(t)));
grid on
title('零状态响应')
xlabel('t');ylabel('y2');

运行结果如下:
在这里插入图片描述

3.已知两连续时间信号如下图所示,试用MATLAB求f(t)=f1(t)*f2(t),并绘出f(t)的时域波形图。(设定取样时间间隔为p)
在这里插入图片描述

程序如下:

ts = -3;dt = 0.01;te = 3;
t = ts:dt:te;
f1 = 2*(heaviside(t+1)-heaviside(t-1));
f2 = heaviside(t+2)-heaviside(t-2);
f = conv(f1,f2)*dt;n = length(f);tt = (0:n-1)*dt-2;
axis([-3,3,-2,2]);
subplot(1,3,1);
plot(t,f1);
grid on
title('f1')
xlabel('t');
 
axis([-3,3,-2,2]);
subplot(1,3,2);
plot(t,f2);
grid on
title('f2')
xlabel('t');
 
axis([-3,3,-2,2]);
subplot(1,3,3);
plot(tt,f);
grid on
title('fi*f2')
xlabel('f1*f2');

运行结果如下:
在这里插入图片描述

四、实验报告要求

1.简述实验目的和实验原理;
2.写出其对应的matlab程序;
3.计算相应的冲激响应、零状态响应及卷积积分的理论值,并与实验结果进行比较。
4.上机调试程序的方法及实验中的心得体会。

心得体会:

本此实验,在操作过程中遇到的最大问题是冲激函数不能调用,之前以为定义了就可以调用,不过是不可以的,只好直接在程序中定义一个冲激函数,总的来说在这次实验中我基本上理解卷积运算,学会用MATLAB求解系统的零状态响应、冲激响应及阶跃响应的方法。