本文已参与「新人创作礼」活动,一起开启掘金创作之路。
目录
一、实验目的
通过MATLAB仿真验证抽样定理,进一步加深对抽样定理的理解。
二、实验原理
1. 连续信号的采样
对某一连续时间信号f(t)的采样原理图为:
由图可知,,其中,单位冲激采样信号
的表达式为:
其傅里叶变换为,其中
,设
为
的傅里叶变换,
的频谱为
,根据傅里叶变换的频域卷积定理:
若设是带限信号,带宽为
,即当
时,
的频谱
,则
经过采样后的频谱
就是
在频率轴上搬移至
处(幅度为原频谱的
倍)。因此,当
时,频谱不发生混叠;当
时,频谱发生混叠。
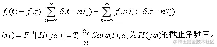
2.连续信号的恢复
设信号被采样后形成的采样信号为
,信号的重构是指由
经内插处理后,恢复出原来的信号
的过程,因此又称为信号恢复。设
为带限信号,带宽为
,经采样后的频谱为
。设采样频谱
,则
是以
为周期的谱线。现取一个频率特性为
的理想低通滤波器与
相乘,得到的频谱即为原信号的频谱
。根据时域卷积定理:
其中,
因此
当ωs=2ωm ,ωc=ωm时,用matlab对信号进行采样及恢复,分析误差,画出波形;
(2)当ωs=4ωm ,ωc=2ωm时,用matlab对信号进行采样及恢复,分析误差,画出波形;
(3)当ωs=ωm ,ωc=ωm时,用matlab对信号进行采样及恢复,分析误差,画出波形;
分析:的傅里叶变换为:
,
信号的最高频率为ωm=1,根据采样定理,当采样频率ωs=2ωm时为临界采样,当ωs>2ωm过采样,ωs<2ωm欠采样;恢复时,低通滤波器的的截止频率(ωs-ωm)≥ωc≥ωm
matlab里利用sinc函数实现Sa(t),即Sa(t)=sinc(t/pi)
(1)在临界采样状态下实现对信号Sa(t)的采样及由该采样信号恢复Sa(t)的参考程序如下:
clear all;
wm=1; %信号带宽
wc=wm; %滤波器截止频率
Ts=pi/wm; %采样间隔
ws=2*pi/Ts; %采样角频率
n=-100:100; %时域采样点数
nTs=n*Ts; %时域采样点
f=sinc(nTs/pi); %信号f(nTs)的表达式
t=-15:0.005:15;
fa=f*Ts*wc/pi*sinc((wc/pi)*(ones(length(nTs),1)*t-nTs'*ones(1,length(t)))); %信号重构
error=abs(fa-sinc(t/pi)); %求重构信号与原信号的误差
t1=-15:0.5:15;
f1=sinc(t1/pi);
subplot(3,1,1);
stem(t1,f1);
xlabel('kTs'); ylabel('f(kTs)');
title('sa(t)=sinc(t/pi)临界采样信号');
subplot(3,1,2);
plot(t,fa);
xlabel('t'); ylabel('fa(t)');
title('由sa(t)=sinc(t/pi)的临界采样信号重构sa(t)');
grid on;
subplot(3,1,3);
plot(t,error);
xlabel('t'); ylabel('error(t)');
title('临界采样信号与原信号的误差error(t)');
运行结果如下:
三、实验内容
1、实现例子中的第(2)(3)问;
(2)程序如下:
clear all;
wm=1; %信号带宽
wc=2*wm; %滤波器截止频率
Ts=pi/wm; %采样间隔
ws=2*2*pi/Ts; %采样角频率
n=-100:100; %时域采样点数
nTs=n*Ts; %时域采样点
f=sinc(nTs/pi); %信号f(nTs)的表达式
t=-15:0.005:15;
fa=f*Ts*wc/pi*sinc((wc/pi)*(ones(length(nTs),1)*t-nTs'*ones(1,length(t)))); %信号重构
error=abs(fa-sinc(t/pi)); %求重构信号与原信号的误差
t1=-15:0.5:15;
f1=sinc(t1/pi);
subplot(3,1,1);
stem(t1,f1);
xlabel('kTs'); ylabel('f(kTs)');
title('sa(t)=sinc(t/pi)临界采样信号');
subplot(3,1,2);
plot(t,fa);
xlabel('t'); ylabel('fa(t)');
title('由sa(t)=sinc(t/pi)的临界采样信号重构sa(t)');
grid on;
subplot(3,1,3);
plot(t,error);
xlabel('t'); ylabel('error(t)');
title('临界采样信号与原信号的误差error(t)');
运行结果如下:
(3)程序如下:
clear all;
wm=1; %信号带宽
wc=wm; %滤波器截止频率
Ts=pi/wm; %采样间隔
ws=pi/Ts; %采样角频率
n=-100:100; %时域采样点数
nTs=n*Ts; %时域采样点
f=sinc(nTs/pi); %信号f(nTs)的表达式
t=-15:0.005:15;
fa=f*Ts*wc/pi*sinc((wc/pi)*(ones(length(nTs),1)*t-nTs'*ones(1,length(t)))); %信号重构
error=abs(fa-sinc(t/pi)); %求重构信号与原信号的误差
t1=-15:0.5:15;
f1=sinc(t1/pi);
subplot(3,1,1);
stem(t1,f1);
xlabel('kTs'); ylabel('f(kTs)');
title('sa(t)=sinc(t/pi)临界采样信号');
subplot(3,1,2);
plot(t,fa);
xlabel('t'); ylabel('fa(t)');
title('由sa(t)=sinc(t/pi)的临界采样信号重构sa(t)');
grid on;
subplot(3,1,3);
plot(t,error);
xlabel('t'); ylabel('error(t)');
title('临界采样信号与原信号的误差error(t)');
运行结果如下:
2、当信号f(t)=ε(t+1)-ε(t-1),用matlab实现信号的采样和重建,并分析误差
(1)ωm=2π,ωc=1.2ωm,Ts=0.25
(2)ωm=2π,ωc=1.2ωm,Ts=1
(求大佬指点)
四、实验报告要求
1、 简述实验目的及实验原理
(1).加深理解采样对信号的时域和频域特性的影响;
(2).加深对 采样定理的理解和掌握,以及对信号恢复的必要性;
(3).掌握对连续信号在时域的采样与重构的方法。
2、 写出程序清单
3、 记录实验结果,并进行原理阐述
1.加深理解采样对信号的时域和频域特性的影响;
2.加深对 采样定理的理解和掌握,以及对信号恢复的必要性;
3.掌 握对连续信号在时域的采样与重构的方法。
4、 收获与建议
收获:通过这次实验,加深了对于采样定理的理解,对于信号与系统这么抽象的课程有了更加直观的了解。
建议:有的实验版上的可调电阻引脚断开了,希望修复。

答疑资料qq群:1007576722