LeetCode 数据结构与算法之环形链表

1,392 阅读2分钟

一起养成写作习惯!这是我参与「掘金日新计划 · 4 月更文挑战」的第16天,点击查看活动详情

题目

141. 环形链表

给你一个链表的头节点 head ,判断链表中是否有环。

如果链表中有某个节点,可以通过连续跟踪 next 指针再次到达,则链表中存在环。 为了表示给定链表中的环,评测系统内部使用整数 pos 来表示链表尾连接到链表中的位置(索引从 0 开始)。

注意:pos 不作为参数进行传递 。仅仅是为了标识链表的实际情况。

如果链表中存在环 ,则返回 true 。 否则,返回 false

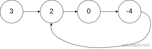
示例 1: image.png

输入:head = [3,2,0,-4], pos = 1
输出:true
解释:链表中有一个环,其尾部连接到第二个节点。

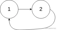
示例 2:

image.png

输入:head = [1,2], pos = 0
输出:true
解释:链表中有一个环,其尾部连接到第一个节点。

示例 3:

image.png

输入:head = [1], pos = -1
输出:false
解释:链表中没有环。

提示:

  • 链表中节点的数目范围是 [0, 104]
  • -105 <= Node.val <= 105
  • pos-1 或者链表中的一个 有效索引 。
      进阶:你能用 O(1)(即,常量)内存解决此问题吗?

题解

解题分析

解题思路

最容易想到的方法是遍历所有节点,每次遍历到一个节点时,判断该节点此前是否被访问过。

具体地,我们可以使用哈希表来存储所有已经访问过的节点。每次我们到达一个节点,如果该节点已经存在于哈希表中,则说明该链表是环形链表,否则就将该节点加入哈希表中。重复这一过程,直到我们遍历完整个链表即可。

复杂度

时间复杂度 O(N)
空间复杂度 O(N)

解题代码

题解代码如下(代码中有详细的注释说明):

/**
 * Definition for singly-linked list.
 * class ListNode {
 *     int val;
 *     ListNode next;
 *     ListNode(int x) {
 *         val = x;
 *         next = null;
 *     }
 * }
 */
public class Solution {
    public boolean hasCycle(ListNode head) {
        Set<ListNode> seen = new HashSet<>();
        while(head != null) {
            if (!seen.add(head)) {
               return true;
            }
            head = head.next;
        }
        return false;
    }
}

提交后反馈结果(由于该题目没有进行优化,性能一般):

image.png

参考信息