快速读懂vueDiff算法

1,356 阅读7分钟

为什么要用diff算法

当页面上的数据发生变化时,Vue 不会立即渲染。而是经过 diff 算法,判断出哪些是不需要变化的,哪些是需要变化更新的,只需要更新那些需要更新的 DOM 就可以了,这样就减少了很多不必要的 DOM 操作,大大提升了性能。

diff算法就是进行虚拟节点对比,并返回一个patch对象,用来存储两个节点不同的地方,最后用patch记录的消息去局部更新Dom。

diff算法原理

diff 的核心就是同层节点进行比较,深度优先

image.png

虚拟DOM

虚拟DOM就是 用普通js对象来描述DOM结构,举个例子来加深理解,如下

<ul class="list">
  <li class="item">A</li>
  <li class="item">B</li>
</ul>

对应的虚拟dom如下

{
    "tag": "ul",
    "props": {"class": "list"},
    "type": 1,
    "children": [
        {
            "tag": "li",
            "props": {"class": "item"},
            "type": 1,
            "children": [
                {
                    "value": "A", 
                    "type": 3, 
                    "children": []
                }
            ]
        },
        {
            "tag": "li",
            "props": {"class": "item"},
            "type": 1,
            "children": [
                {
                    "value": "B", 
                    "type": 3, 
                    "children": []
                }
            ]
        },
    ]
}
  • 虚拟DOM中,在DOM的状态发生变化时,新旧的虚拟DOM会进行Diff运算比较,来更新只需要被替换的DOM,而不是全部重绘。

patch

就是对比新旧的虚拟节点

  • 如果当前层节点一致,则对比下一层(深层对比
  • 否则就直接创建新的虚拟节点,插入在旧虚拟节点的之前,并删除旧虚拟节点

核心代码

if (sameVnode(oldVnode, vnode)) {
  patchVnode(oldVnode,vnode)
} else {
  // replacing existing element
  var oldElm = oldVnode.elm
  var parentElm = nodeOps.parentNode(oldElm)
  // create new node
  createElm(vnode,null,parentElm,nodeOps.nextSibling(oldElm))
  // destroy old node
  if (isDef(parentElm)) { removeVnodes([oldVnode], 0, 0) }
}

patchVnode

这个方法的入参是 新旧虚拟节点,若新旧节点相等直接return;否则会判断新Vnode是否是文本节点

新Vnode是文本节点:

替换文本内容

新Vnode不是文本节点则会再进行如下判断

  • 新旧vnode有子节点:子节点不相等则进行子节点对比更新变化的地方
  • 新vnode有子节点:将新vnode的子节点插入
  • 旧vnode有子节点:移除旧vnode的子节点
  • 旧vnode是文本节点:置空文本内容

如下是patchVnode函数的核心代码

var oldCh = oldVnode.children
var ch = vnode.children
// 新vnode非文本节点
if (isUndef(vnode.text)) {
    // 新旧vnode都有子节点
    if (isDef(oldCh) && isDef(ch)) {
        // 子节点不相等
        if (oldCh !== ch) {
            // 子节点对比替换
            updateChildren(elm, oldCh, ch, insertedVnodeQueue, removeOnly)
        }
    }
    // 仅新vnode有子节点
    else if (isDef(ch)) {
        // 如果新vnode是非文本节点而旧vnode是文本节点,文本内容置空
        if (isDef(oldVnode.text)) {
            nodeOps.setTextContent(elm, '')
        }
        // 创建新的子节点
        addVnodes(elm, null, ch, 0, ch.length - 1, insertedVnodeQueue)
    }
    // 仅旧vnode有子节点
    else if (isDef(oldCh)) {
      // 移除子节点
      removeVnodes(oldCh, 0, oldCh.length - 1)
    }
    // 如果仅旧vnode是文本节点,文本内容置空
    else if (isDef(oldVnode.text)) {
      nodeOps.setTextContent(elm, '')
    }
} 
// 如果新vnode是文本节点
else if (oldVnode.text !== vnode.text) {
    // 替换文本内容
    nodeOps.setTextContent(elm, vnode.text)
}

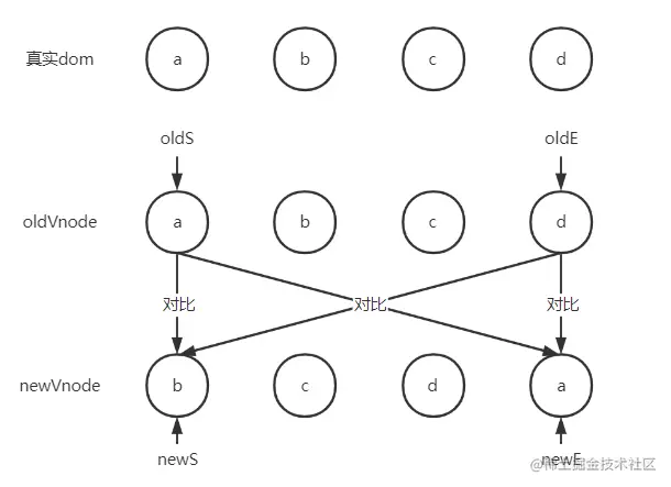
updateChildren

这是diff算法里比较重要的方法,主要就是进行子节点的对比,通过新的子节点集合和旧的子节点集合的 首尾指针 交叉对比,如下图

image.png

下面是updateChildren的主要代码(代码看不懂的可先跳过代码,去看例子解析并和代码一起理解)

while (oldStartIdx <= oldEndIdx && newStartIdx <= newEndIdx) {
        // 当旧节点左指针节点为空时,向右移动指针
        if (isUndef(oldStartVnode)) {
          oldStartVnode = oldCh[++oldStartIdx]
        }
        // 当旧节点右指针节点为空时,向左移动指针 
        else if (isUndef(oldEndVnode)) {
          oldEndVnode = oldCh[--oldEndIdx]
        } 
        // 当新旧节点的左指针节点相同时,同时向右移动指针
        else if (sameVnode(oldStartVnode, newStartVnode)) {
          patchVnode(oldStartVnode, newStartVnod)
          oldStartVnode = oldCh[++oldStartIdx]
          newStartVnode = newCh[++newStartIdx]
        // 当新旧节点的右指针节点相同时,同时向左移动指针
        } else if (sameVnode(oldEndVnode, newEndVnode)) {
          patchVnode(oldEndVnode, newEndVnode)
          oldEndVnode = oldCh[--oldEndIdx]
          newEndVnode = newCh[--newEndIdx]
        // 当旧节点的左指针节点和新节点的右指针节点相同时,同时向内移动
        } else if (sameVnode(oldStartVnode, newEndVnode)) {
          patchVnode(oldStartVnode, newEndVnode)
          // 将旧节点的边指针节点移动到其右指针节点后面
          insertBefore(parentElm,oldStartVnode.elm,nodeOps.nextSibling(oldEndVnode.elm))
          oldStartVnode = oldCh[++oldStartIdx]
          newEndVnode = newCh[--newEndIdx]
        // 当旧节点的右指针节点和新节点的左指针节点相同时,同时向内移动
        } else if (sameVnode(oldEndVnode, newStartVnode)) {
          patchVnode(oldEndVnode, newStartVnode)
          // 将旧节点的右指针节点移动到其左指针节点前面
          nodeOps.insertBefore(parentElm, oldEndVnode.elm, oldStartVnode.elm)
          oldEndVnode = oldCh[--oldEndIdx]
          newStartVnode = newCh[++newStartIdx]
        } 
        // 当以上情况都不命中时,即新旧节点的左右指针对应的节点都不一样
        else {
          if (isUndef(oldKeyToIdx)) {
            // 获取旧节点key和索引的映射表{key: index}
            oldKeyToIdx = createKeyToOldIdx(oldCh, oldStartIdx, oldEndIdx)
          }
           // 当新节点有key属性时,返回旧节点中与新左指针节点key一致的索引;否则返回旧节点可复用的节点索引
          idxInOld = isDef(newStartVnode.key)
            ? oldKeyToIdx[newStartVnode.key]
            : findIdxInOld(newStartVnode, oldCh, oldStartIdx, oldEndIdx)
          // 如果都没有可复用的则创建新节点,并移动到旧左节点前面
          if (isUndef(idxInOld)) {
            createElm(newStartVnode, null, parentElm, oldStartVnode.elm)
          } else {
            vnodeToMove = oldCh[idxInOld]
            // 如果新左指针节点和key一致的旧节点相同时
            if (sameVnode(vnodeToMove, newStartVnode)) {
              patchVnode()
              oldCh[idxInOld] = undefined
              // 将key一致的旧节点移动到旧左指针节点前面
              nodeOps.insertBefore(parentElm,vnodeToMove.elm,oldStartVnode.elm)
            } 
            // 如果key一致但实际内容不相同则创建新节点,并移动到旧左节点前面
            else {
              createElm(newStartVnode, null, parentElm, oldStartVnode.elm)
            }
          }
          // 新左指针向右移动
          newStartVnode = newCh[++newStartIdx]
        }
      }
      // 旧左指针大于旧右指针(旧节点先遍历完)
      
      if (oldStartIdx > oldEndIdx) {
        // 返回新节点右指针的下一个节点,若为不存在则返回null
        refElm = isUndef(newCh[newEndIdx + 1]) ? null : newCh[newEndIdx + 1].elm
        // 批量往refElm之前添加剩余新节点
        addVnodes(parentElm, refElm, newCh, newStartIdx, newEndIdx);
      } 
      // 新左指针大于新右指针(新节点先遍历完)
      else if (newStartIdx > newEndIdx) {
        // 批量删除旧节点
        removeVnodes(oldCh, oldStartIdx, oldEndIdx)
      }

例子

下面通过一个例子来模拟updateChildren方法

image.png

通过节点首尾指针交叉对比得知,oldSVnode = newEVnode,所以将oldSVnode移动到oldEVnode后面,指针向内移动(如图下)

image.png

继续对比,oldEVnode = newEVnode,dom不变,oldEnewE向左移动(如图下)

image.png

这个时候oldS > oldE,跳出while循环,往节点C前面插入newS-newE指针之间的节点(即B节点)(如图下)

image.png

v-for加key的作用

v-for默认使用就地复用策略,根据上面的代码,当节点有 key 的时候会复用 key 相同并且一致的节点。

还有一个经常遇到的问题,为什么不能用index当作key? 我们来根据代码一起分析一下。

假设场景如下

image.png

image.png

当我们往遍历的data里的头部添加一个D时,我们在子节点对比的时候,因为sameVnode方法是有对比两个节点的key,所以在新旧节点首尾节点对比时都不相同。只能进入else的判断逻辑,下面代码只展示当前例子进入的else判断逻辑代码请结合上图理解

// 当以上情况都不命中时,即新旧节点的左右指针对应的节点都不一样
    else {
      if (isUndef(oldKeyToIdx)) {
        // 获取旧节点key和索引的映射表{key: index}
        oldKeyToIdx = {
            '0': 0,
            '1': 1,
            '2': 2,
        }
      }
      // 当新节点有key属性时,返回旧节点中与新左指针节点key一致的索引;否则返回旧节点可复用的节点索引
      // idxInOld = oldKeyToIdx[newStartVnode.key]
      idxInOld = 0
      // 新建一个D节点并往A前面插入
      createElm(newStartVnode, null, parentElm, oldStartVnode.elm)
      // 新左指针向右移动
      newStartVnode = newCh[++newStartIdx]
    }
  }

以此类推最终会往真实dom里的 A 节点插入新建 D(0),A(1),B(2),C(3) 节点,直到newS>newE,批量删除(A(0),B(1),C(2))。

总结: 当我们用indexkey的时候,添加一个节点,就导致了所有节点被替换,当节点数量多的时候,就会严重影响性能。如果用唯一的字段值当key的话,就可以直接复用起来。所以一般建议用唯一的字段值当作key

vue3与vue2的Diff算法的优化点

在Vue2.0当中,当数据发生变化,它就会新生成一个新的虚拟DOM树,并和之前的旧的虚拟DOM树进行比较,找到不同的节点然后更新。但这比较的过程是 全量 的比较,也就是每个节点都会彼此比较。但其中很显然的是,有些节点中的内容是不会发生改变的,那我们对其进行比较就肯定消耗了时间。

所以在Vue3.0当中,就对这部分内容进行了优化:在创建虚拟DOM树的时候,会根据DOM中的内容会不会发生变化,添加一个静态标记。那么之后在与上次虚拟节点进行对比的时候,就只会对比这些带有静态标记的节点。

静态提升

  • vue2不管是否参与更新,都会重新创建再渲染。
  • vue3对于不参与更新的元素,会做静态提升,只被创建一次,在渲染时直接复用即可。

最长递增子序列

vue3中在子节点对比的时候对 于乱序并且有可复用的节点 的情况会采用最长递增子序列来减少对dom的移动操作。

简单介绍一下什么是最长递增子序列

  • 数组[3, 6, 2, 7] 是数组 [0, 3, 1, 6, 2, 2, 7] 的最长递增子序列。
  • 数组[2, 3, 7, 101] 是数组 [10 , 9, 2, 5, 3, 7, 101, 18]的最长递增子序列。
  • 数组[0, 1, 2, 3] 是数组 [0, 1, 0, 3, 2, 3]的最长递增子序列。

在vue3的diff算法中进移动可复用节点的时候时候会用到最长递增子序列,下面举个例子

image.png

vue3中会通过一个变量newIndexToOldIndexMap(存储可复用节点的索引)来映射 新的子序列中的节点下标 对应于 旧的子序列中的节点的下标。(源码中newIndexToOldIndexMap[newIndex - s2] = i + 1 加1是为了避免 i 为 0 的特殊情况,影响对后续最长递增子序列的求解)

例如当前例子的newIndexToOldIndexMap = [3, 0, 4, 2, 5]

解释:3的意思就是newVnoded节点对应可复用oldVnoded节点的下标索引为3。

newIndexToOldIndexMap的最长递增子序列为[3, 4, 5]其对应的索引为[0, 2, 4]

image.png

我们得出最长递增子序列对应的索引后,就可以知道哪些节点在变化前后 相对位置 没有发生变化,哪些节点需要进行移动。如上图,d,e,f节点的相对位置是没有变化的,我们只需要移动c节点,和创建q节点。

最长递增子序列可以让我们通过最小变动实现节点复用,递增的节点是不变的,我们只需要去操作非递增的节点。