LeetCode 数据结构与算法之二叉树的锯齿形层序遍历

753 阅读1分钟

一起养成写作习惯!这是我参与「掘金日新计划 · 4 月更文挑战」的第15天,点击查看活动详情

题目

二叉树的锯齿形层序遍历

给你二叉树的根节点 root ,返回其节点值的 锯齿形层序遍历 。(即先从左往右,再从右往左进行下一层遍历,以此类推,层与层之间交替进行)。

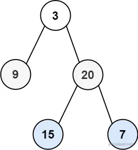
示例 1:

image.png

输入:root = [3,9,20,null,null,15,7]
输出:[[3],[20,9],[15,7]]

示例 2:

输入:root = [1]
输出:[[1]]

示例 3:

输入:root = []
输出:[]

提示:

树中节点数目在范围 [0, 2000] 内
-100 <= Node.val <= 100

题解

解题分析

解题思路

  1. 本题目可以采用广度优先搜索,对树进行逐层遍历,用队列维护当前层的所有元素,当队列不为空的时候,求得当前队列的长度 size,每次从队列中取出 size 个元素进行拓展,然后进行下一次迭代。

  2. 为了满足题目要求的返回值为「先从左往右,再从右往左」交替输出的锯齿形,我们可以利用「双端队列」的数据结构来维护当前层节点值输出的顺序。

  3. 双端队列是一个可以在队列任意一端插入元素的队列。在广度优先搜索遍历当前层节点拓展下一层节点的时候我们仍然从左往右按顺序拓展,但是对当前层节点的存储我们维护一个变量 isOrderLeft 记录是从左至右还是从右至左的:

    • 如果从左至右,我们每次将被遍历到的元素插入至双端队列的末尾。
    • 如果从右至左,我们每次将被遍历到的元素插入至双端队列的头部。

当遍历结束的时候我们就得到了答案数组。

复杂度

时间复杂度 O(N)
空间复杂度 O(N)

解题代码

题解代码如下(代码中有详细的注释说明):

/**
 * Definition for a binary tree node.
 * public class TreeNode {
 *     int val;
 *     TreeNode left;
 *     TreeNode right;
 *     TreeNode() {}
 *     TreeNode(int val) { this.val = val; }
 *     TreeNode(int val, TreeNode left, TreeNode right) {
 *         this.val = val;
 *         this.left = left;
 *         this.right = right;
 *     }
 * }
 */
class Solution {
    public List<List<Integer>> zigzagLevelOrder(TreeNode root) {
        List<List<Integer>> ans = new LinkedList<>();
        // 1. 判断是否为空
        if (root == null) {
            return ans;
        }

        // queue 实现 bfs 按层遍历
        Queue<TreeNode> nodeQueue = new LinkedList<>();
        nodeQueue.offer(root);
        boolean isOrderLeft = true;

        while(!nodeQueue.isEmpty()) {
            // 定义双端队列存储当前层的值
            Deque<Integer> levelList = new LinkedList<Integer>();
            // 获取当前层的个数
            int size = nodeQueue.size();
            // 遍历队列中该层的值并且出队,按照标志位存入双端队列,再按照固定循序读取下一层
            for (int i =0; i< size; i++) {
                // 获取节点
                TreeNode curNode = nodeQueue.poll();
                if (isOrderLeft) {
                    // 顺序存
                    levelList.offerLast(curNode.val);
                } else {
                    // 反向存
                    levelList.offerFirst(curNode.val);
                }

                // 获取下一层节点值(从左往右)
                if (curNode.left != null) {
                    nodeQueue.offer(curNode.left);
                } 

                if (curNode.right != null) {
                    nodeQueue.offer(curNode.right);
                }
            }
            ans.add(new LinkedList<Integer>(levelList));
            // 标志位转换
            isOrderLeft = !isOrderLeft;
        }
        return ans;
    }
}

提交后反馈结果(由于该题目没有进行优化,性能一般):

image.png

参考信息