第12章_集合源码与数据结构

185 阅读35分钟

学习目标

  • 能够说出List接口的常用实现类集合的区别
  • 能够说出Set接口的常用实现类集合的区别
  • 能够说出List系列与Set系列集合的区别
  • 能够说出Map接口的常用实现类集合的区别
  • 能够说出Set系列与Map系列集合的关系
  • 能够说出Collection系列与Map系列集合的区别
  • 对数据结构有初步了解
  • 掌握动态数组的实现方式
  • 理解单链表与双链表的实现方式
  • 理解哈希表的实现方式

1. 数据结构剖析

我们举一个形象的例子来理解数据结构的作用:

image-20220412011531879

**战场:**程序运行所需的软件、硬件环境

**敌人:**项目或模块的功能需求

**指挥官:**编写程序的程序员

**士兵和装备:**一行一行的代码

**战术和策略:**数据结构

image-20220412011555025

上图:没有战术,打仗事倍功半

image-20220412011600845

上图:有战术,打仗事半功倍

总结:简单来说,数据结构,就是一种程序设计优化的方法论,研究数据的逻辑结构物理结构以及它们之间相互关系,并对这种结构定义相应的运算,目的是加快程序的执行速度、减少内存占用的空间。

1.1 数据结构的研究对象一:数据间逻辑关系

数据的逻辑结构指反映数据元素之间的逻辑关系,而与他们在计算机中的存储位置无关:

  • 散列结构:数据结构中的元素之间除了“同属一个集合” 的相互关系外,别无其他关系;
  • 线性结构:数据结构中的元素存在一对一的相互关系;
  • 树形结构:数据结构中的元素存在一对多的相互关系;
  • 图形结构:数据结构中的元素存在多对多的相互关系。

image-20220129201232149

1.2 数据结构的研究对象二:数据的存储结构(或物理结构)

数据的物理结构/存储结构:是描述数据具体在内存中的存储(如:数组结构、链式结构、索引结构、哈希结构等),一种数据逻辑结构可表示成一种或多种物理存储结构。

  • 数组结构:元素在内存中是连续存储的,即元素存储在一整块连续的存储空间中,此时根据索引的查询效率是非常高的,因为可以根据下标索引直接一步到位找到元素位置,如果在数组末尾添加和删除元素效率也非常高。
    • 缺点:若事先申请足够大的内存空间,可能造成空间浪费,如果事先申请较小的内存空间,可能造成频繁扩容导致元素频繁搬家。另外,在数组中间添加、删除元素操作,就需要移动元素,此时效率也要打折。
  • 链式结构:元素在内存中是不要求连续存储的,但是元素是封装在结点当中的,结点中需要存储元素数据,以及相关结点对象的引用地址。结点与结点之间可以是一对一的关系,也可以一对多的关系,比如:链表等。
    • 遍历链式结构只能从头遍历,对于较长的链表来说查询效率不高,对于树结构来说,查询效率比链表要高一点,因为每次可以确定一个分支,从而排除其他分支,但是相对于数组来说,还是数组[下标]的方式更快。树的实现方式有很多种,无非就是在添加/删除效率 与 查询效率之间权衡。
  • 索引结构:元素在内存中是不要求连续存储的,但是需要有单独的一个索引表来记录每一个元素的地址,这种结构根据索引的查询效率很高,但是需要额外存储和维护索引表。
  • 哈希结构:元素的存储位置需要通过其hashCode值来计算,查询效率也很多,但是要考虑和解决好哈希冲突问题。

1.3 数据结构与算法脉络

算法设计中一些常见的通用想法可以称为算法设计模式。常见模式包括:

**枚举法:**根据具体问题枚举出各种可能,从中选出有用信息或者问题的解。这种利用计算机的速度优势,在解决简单问题时十分有效。

**贪心法:**根据问题的信息尽可能做出部分的解,并基于部分解逐步扩充得到完整的解。在解决复杂问题时,这种做法未必能得到最好的解。

**分治法:**把复杂问题分解为相对简单的子问题,分别求解,最后通过组合起子问题的解的方式得到原问题的解。

**回溯法(搜索法):**专指通过探索的方式求解。如果问题很复杂,没有清晰的求解路径,可能就需要分步骤进行,而每一步骤可能有多种选择。在这种情况下,只能采用试探的方式,根据实际情况选择一个可能方向。当后面无法继续时,就需要退回到前面的步骤,另行选择求解路径,这种动作称为回溯。

**动态规划法:**在一些复杂情况下,问题求解很难直截了当地进行,因为需要在前面的步骤中积累信息,在后续步骤中根据已知信息,动态选择已知的最好求解路径(同时可能进一步积累信息)。这种算法模式称为动态规划。

**分支限界法:**可看做搜索方式的改良。如果在搜索过程中可以得到一些信息,确定某些可能的选择实际上并不真正有用,就可以及早将其删除,以缩小可能的求解空间,加速问题求解过程。

2. List接口剖析

Java的核心类库中提供很多数据结构对应的集合类型,例如动态数组、双向链表、顺序栈、链式栈、队列、双端队列、红黑树、哈希表等等。

2.1 List接口特点

  • List集合所有的元素是以一种线性方式进行存储的,例如,存元素的顺序是11、22、33。那么集合中,元素的存储就是按照11、22、33的顺序完成的)
  • 它是一个元素存取有序的集合。即元素的存入顺序和取出顺序有保证。
  • 它是一个带有索引的集合,通过索引就可以精确的操作集合中的元素(与数组的索引是一个道理)。
  • 集合中可以有重复的元素,通过元素的equals方法,来比较是否为重复的元素。

1563549818689

注意:

List集合关心元素是否有序,而不关心是否重复,请大家记住这个原则。例如“张三”可以领取两个号。

  • List接口的主要实现类
  • ArrayList:动态数组
  • Vector:动态数组
  • LinkedList:双向链表
  • Stack:栈

2.2 动态数组

2.2.1 动态数组的特点

逻辑结构特点:线性结构

物理结构特点:

  • 申请内存:一次申请一大段连续的空间,一旦申请到了,内存就固定了。

  • 存储特点:所有数据存储在这个连续的空间中,数组中的每一个元素都是一个具体的数据(或对象),所有数据都紧密排布,不能有间隔。

例如:整型数组

例如:对象数组

2.2.2 自定义动态数组

package com.atguigu.list;

import java.util.Arrays;
import java.util.Iterator;
import java.util.NoSuchElementException;

public class MyArrayList<E> implements Iterable<E>{
    private Object[] all;
    private int total;

    public MyArrayList(){
        all = new Object[10];
    }

    public void add(E e) {
        ensureCapacityEnough();
        all[total++] = e;
    }

    private void ensureCapacityEnough() {
        if(total >= all.length){
            all = Arrays.copyOf(all, all.length + (all.length>>1));
        }
    }

    public void insert(int index, E value) {
        //是否需要扩容
        ensureCapacityEnough();
        //添加元素的下标检查
        addCheckIndex(index);
        if(total-index > 0) {
            System.arraycopy(all, index, all, index+1, total-index);
        }
        all[index]=value;
        total++;
    }

    private void addCheckIndex(int index) {
        if(index<0 || index>total){
            throw new IndexOutOfBoundsException(index+"越界");
        }
    }

    public void delete(E e) {
        int index = indexOf(e);
        if(index==-1){
            throw new NoSuchElementException(e+"不存在");
        }
        delete(index);
    }

    public void delete(int index) {
        //删除元素的下标检查
        checkIndex(index);
        if(total-index-1 > 0) {
            System.arraycopy(all, index+1, all, index, total-index-1);
        }
        all[--total] = null;
    }

    private void checkIndex(int index) {
        if(index<0 || index>total){
            throw new IndexOutOfBoundsException(index+"越界");
        }
    }

    public void update(int index, E value) {
        //更新修改元素的下标检查
        checkIndex(index);
        all[index] = value;
    }

    public void update(E old, E value) {
        int index = indexOf(old);
        if(index!=-1){
            update(index, value);
        }
    }

    public boolean contains(E e) {
        return indexOf(e) != -1;
    }

    public int indexOf(E e) {
        int index = -1;
        if(e==null){
            for (int i = 0; i < total; i++) {
                if(e == all[i]){
                    index = i;
                    break;
                }
            }
        }else{
            for (int i = 0; i < total; i++) {
                if(e.equals(all[i])){
                    index = i;
                    break;
                }
            }
        }
        return index;
    }

    public E get(int index) {
        //获取元素的下标检查
        checkIndex(index);
        return (E) all[index];
    }


    public int size() {
        return total;
    }

    public Iterator<E> iterator() {
        return new Itr();
    }

    private class Itr implements Iterator<E>{
        private int cursor;

        @Override
        public boolean hasNext() {
            return cursor!=total;
        }

        @Override
        public E next() {
            return (E) all[cursor++];
        }

        @Override
        public void remove() {
            MyArrayList.this.delete(--cursor);
        }
    }
}

测试类:

package com.atguigu.list;

import java.util.Iterator;

public class TestMyArrayList {
    public static void main(String[] args) {

        MyArrayList<String> my = new MyArrayList<>();
        my.add("hello");
        my.add("java");
        my.add("java");
        my.add("world");
        my.add(null);
        my.add(null);
        my.add("atguigu");
        my.add("list");
        my.add("data");

        System.out.println("元素个数:" + my.size());
        for (String s : my) {
            System.out.println(s);
        }
        System.out.println("-------------------------");
        System.out.println("在[1]插入尚硅谷后:");
        my.insert(1, "尚硅谷");
        System.out.println("元素个数:" + my.size());
        for (String s : my) {
            System.out.println(s);
        }
        System.out.println("--------------------------");
        System.out.println("删除[1]位置的元素后:");
        my.delete(1);
        System.out.println("元素个数:" + my.size());
        for (String s : my) {
            System.out.println(s);
        }

        System.out.println("删除atguigu元素后:");
        my.delete("atguigu");
        System.out.println("元素个数:" + my.size());
        for (String s : my) {
            System.out.println(s);
        }

        System.out.println("删除null元素后:");
        my.delete(null);
        System.out.println("元素个数:" + my.size());
        for (String s : my) {
            System.out.println(s);
        }
        System.out.println("------------------------------");
        System.out.println("替换[3]位置的元素为尚硅谷后:");
        my.update(3, "尚硅谷");
        System.out.println("元素个数:" + my.size());
        for (String s : my) {
            System.out.println(s);
        }

        System.out.println("替换java为JAVA后:");
        my.update("java", "JAVA");
        System.out.println("元素个数:" + my.size());
        for (String s : my) {
            System.out.println(s);
        }
        System.out.println("------------------------------------");
        System.out.println("是否包含java:" +my.contains("java"));
        System.out.println("java的位置:" + my.indexOf("java"));
        System.out.println("haha的位置:" + my.indexOf("haha"));
        System.out.println("[0]位置元素是:" + my.get(0));

        System.out.println("------------------------------------");
        System.out.println("删除字符串长度>4的元素后:");
        Iterator<String> iterator = my.iterator();
        while(iterator.hasNext()) {
            String next = iterator.next();
            if(next != null && next.length()>4) {
                iterator.remove();
            }
        }
        System.out.println("元素个数:" + my.size());
        for (String string : my) {
            System.out.println(string);
        }
    }
}

2.2.3 Java API中的动态数组

Java的List接口的实现类中有两个动态数组的实现:Vector和ArrayList。

(1)ArrayList与Vector的区别?

它们的底层物理结构都是数组,我们称为动态数组。

  • ArrayList是新版的动态数组,线程不安全,效率高,Vector是旧版的动态数组,线程安全,效率低。
  • 动态数组的扩容机制不同,ArrayList扩容为原来的1.5倍,Vector扩容增加为原来的2倍。
  • 数组的初始化容量,如果在构建ArrayList与Vector的集合对象时,没有显式指定初始化容量,那么Vector的内部数组的初始容量默认为10,而ArrayList在JDK1.6及之前的版本也是10,JDK1.7之后的版本ArrayList初始化为长度为0的空数组,之后在添加第一个元素时,再创建长度为10的数组。
    • 用的时候,再创建数组,避免浪费。因为很多方法的返回值是ArrayList类型,需要返回一个ArrayList的对象,例如:后期从数据库查询对象的方法,返回值很多就是ArrayList。有可能你要查询的数据不存在,要么返回null,要么返回一个没有元素的ArrayList对象。
  • Vector因为版本古老,支持Enumeration 迭代器。但是该迭代器不支持快速失败。而Iterator和ListIterator迭代器支持快速失败。如果在迭代器创建后的任意时间从结构上修改了向量(通过迭代器自身的 remove 或 add 方法之外的任何其他方式),则迭代器将抛出 ConcurrentModificationException。因此,面对并发的修改,迭代器很快就完全失败,而不是冒着在将来不确定的时间任意发生不确定行为的风险。
(2)Vector部分源码分析
    public Vector() {
        this(10);//指定初始容量initialCapacity为10
    }
	public Vector(int initialCapacity) {
        this(initialCapacity, 0);//指定capacityIncrement增量为0
    }
    public Vector(int initialCapacity, int capacityIncrement增量为0) {
        super();
        //判断了形参初始容量initialCapacity的合法性
        if (initialCapacity < 0)
            throw new IllegalArgumentException("Illegal Capacity: "+
                                               initialCapacity);
        //创建了一个Object[]类型的数组
        this.elementData = new Object[initialCapacity];//默认是10
        //增量,默认是0,如果是0,后面就按照2倍增加,如果不是0,后面就按照你指定的增量进行增量
        this.capacityIncrement = capacityIncrement;
    }
//synchronized意味着线程安全的   
	public synchronized boolean add(E e) {
        modCount++;
    	//看是否需要扩容
        ensureCapacityHelper(elementCount + 1);
    	//把新的元素存入[elementCount],存入后,elementCount元素的个数增1
        elementData[elementCount++] = e;
        return true;
    }

    private void ensureCapacityHelper(int minCapacity) {
        // overflow-conscious code
        //看是否超过了当前数组的容量
        if (minCapacity - elementData.length > 0)
            grow(minCapacity);//扩容
    }
    private void grow(int minCapacity) {
        // overflow-conscious code
        int oldCapacity = elementData.length;//获取目前数组的长度
        //如果capacityIncrement增量是0,新容量 = oldCapacity的2倍
        //如果capacityIncrement增量是不是0,新容量 = oldCapacity + capacityIncrement增量;
        int newCapacity = oldCapacity + ((capacityIncrement > 0) ?
                                         capacityIncrement : oldCapacity);
        
        //如果按照上面计算的新容量还不够,就按照你指定的需要的最小容量来扩容minCapacity
        if (newCapacity - minCapacity < 0)
            newCapacity = minCapacity;
        
        //如果新容量超过了最大数组限制,那么单独处理
        if (newCapacity - MAX_ARRAY_SIZE > 0)
            newCapacity = hugeCapacity(minCapacity);
        
        //把旧数组中的数据复制到新数组中,新数组的长度为newCapacity
        elementData = Arrays.copyOf(elementData, newCapacity);
    }
    public boolean remove(Object o) {
        return removeElement(o);
    }
    public synchronized boolean removeElement(Object obj) {
        modCount++;
        //查找obj在当前Vector中的下标
        int i = indexOf(obj);
        //如果i>=0,说明存在,删除[i]位置的元素
        if (i >= 0) {
            removeElementAt(i);
            return true;
        }
        return false;
    }
    public int indexOf(Object o) {
        return indexOf(o, 0);
    }
    public synchronized int indexOf(Object o, int index) {
        if (o == null) {//要查找的元素是null值
            for (int i = index ; i < elementCount ; i++)
                if (elementData[i]==null)//如果是null值,用==null判断
                    return i;
        } else {//要查找的元素是非null值
            for (int i = index ; i < elementCount ; i++)
                if (o.equals(elementData[i]))//如果是非null值,用equals判断
                    return i;
        }
        return -1;
    }
    public synchronized void removeElementAt(int index) {
        modCount++;
        //判断下标的合法性
        if (index >= elementCount) {
            throw new ArrayIndexOutOfBoundsException(index + " >= " +
                                                     elementCount);
        }
        else if (index < 0) {
            throw new ArrayIndexOutOfBoundsException(index);
        }
        
        //j是要移动的元素的个数
        int j = elementCount - index - 1;
        //如果需要移动元素,就调用System.arraycopy进行移动
        if (j > 0) {
            //把index+1位置以及后面的元素往前移动
            //index+1的位置的元素移动到index位置,依次类推
            //一共移动j个
            System.arraycopy(elementData, index + 1, elementData, index, j);
        }
        //元素的总个数减少
        elementCount--;
        //将elementData[elementCount]这个位置置空,用来添加新元素,位置的元素等着被GC回收
        elementData[elementCount] = null; /* to let gc do its work */
    }
(3)ArrayList部分源码分析

JDK1.6:

    public ArrayList() {
		this(10);//指定初始容量为10
    }
    public ArrayList(int initialCapacity) {
		super();
        //检查初始容量的合法性
        if (initialCapacity < 0)
            throw new IllegalArgumentException("Illegal Capacity: "+
                                               initialCapacity);
        //数组初始化为长度为initialCapacity的数组
		this.elementData = new Object[initialCapacity];
    }

JDK1.7

    private static final int DEFAULT_CAPACITY = 10;//默认初始容量10
	private static final Object[] EMPTY_ELEMENTDATA = {};
	public ArrayList() {
        super();
        this.elementData = EMPTY_ELEMENTDATA;//数组初始化为一个空数组
    }
    public boolean add(E e) {
        //查看当前数组是否够多存一个元素
        ensureCapacityInternal(size + 1);  // Increments modCount!!
        elementData[size++] = e;
        return true;
    }
    private void ensureCapacityInternal(int minCapacity) {
        if (elementData == EMPTY_ELEMENTDATA) {//如果当前数组还是空数组
            //minCapacity按照 默认初始容量和minCapacity中的的最大值处理
            minCapacity = Math.max(DEFAULT_CAPACITY, minCapacity);
        }
		//看是否需要扩容处理
        ensureExplicitCapacity(minCapacity);
    }
	//...

JDK1.8

private static final int DEFAULT_CAPACITY = 10;
private static final Object[] EMPTY_ELEMENTDATA = {};
private static final Object[] DEFAULTCAPACITY_EMPTY_ELEMENTDATA = {};

    public ArrayList() {
        this.elementData = DEFAULTCAPACITY_EMPTY_ELEMENTDATA;//初始化为空数组
    }
    public boolean add(E e) {
        //查看当前数组是否够多存一个元素
        ensureCapacityInternal(size + 1);  // Increments modCount!!
        
        //存入新元素到[size]位置,然后size自增1
        elementData[size++] = e;
        return true;
    }
    private void ensureCapacityInternal(int minCapacity) {
        //如果当前数组还是空数组
        if (elementData == DEFAULTCAPACITY_EMPTY_ELEMENTDATA) {
            //那么minCapacity取DEFAULT_CAPACITY与minCapacity的最大值
            minCapacity = Math.max(DEFAULT_CAPACITY, minCapacity);
        }
		//查看是否需要扩容
        ensureExplicitCapacity(minCapacity);
    }
    private void ensureExplicitCapacity(int minCapacity) {
        modCount++;//修改次数加1

        // 如果需要的最小容量  比  当前数组的长度  大,即当前数组不够存,就扩容
        if (minCapacity - elementData.length > 0)
            grow(minCapacity);
    }
    private void grow(int minCapacity) {
        // overflow-conscious code
        int oldCapacity = elementData.length;//当前数组容量
        int newCapacity = oldCapacity + (oldCapacity >> 1);//新数组容量是旧数组容量的1.5倍
        //看旧数组的1.5倍是否够
        if (newCapacity - minCapacity < 0)
            newCapacity = minCapacity;
        //看旧数组的1.5倍是否超过最大数组限制
        if (newCapacity - MAX_ARRAY_SIZE > 0)
            newCapacity = hugeCapacity(minCapacity);
        
        //复制一个新数组
        elementData = Arrays.copyOf(elementData, newCapacity);
    }
    public boolean remove(Object o) {
        //先找到o在当前ArrayList的数组中的下标
        //分o是否为空两种情况讨论
        if (o == null) {
            for (int index = 0; index < size; index++)
                if (elementData[index] == null) {//null值用==比较
                    fastRemove(index);
                    return true;
                }
        } else {
            for (int index = 0; index < size; index++)
                if (o.equals(elementData[index])) {//非null值用equals比较
                    fastRemove(index);
                    return true;
                }
        }
        return false;
    }
    private void fastRemove(int index) {
        modCount++;//修改次数加1
        //需要移动的元素个数
        int numMoved = size - index - 1;
        
        //如果需要移动元素,就用System.arraycopy移动元素
        if (numMoved > 0)
            System.arraycopy(elementData, index+1, elementData, index,
                             numMoved);
        
        //将elementData[size-1]位置置空,让GC回收空间,元素个数减少
        elementData[--size] = null; // clear to let GC do its work
    }
    public E remove(int index) {
        rangeCheck(index);//检验index是否合法

        modCount++;//修改次数加1
        
        //取出[index]位置的元素,[index]位置的元素就是要被删除的元素,用于最后返回被删除的元素
        E oldValue = elementData(index);
        
		//需要移动的元素个数
        int numMoved = size - index - 1;
        
        //如果需要移动元素,就用System.arraycopy移动元素
        if (numMoved > 0)
            System.arraycopy(elementData, index+1, elementData, index,
                             numMoved);
        //将elementData[size-1]位置置空,让GC回收空间,元素个数减少
        elementData[--size] = null; // clear to let GC do its work

        return oldValue;
    }
    public E set(int index, E element) {
        rangeCheck(index);//检验index是否合法

        //取出[index]位置的元素,[index]位置的元素就是要被替换的元素,用于最后返回被替换的元素
        E oldValue = elementData(index);
        //用element替换[index]位置的元素
        elementData[index] = element;
        return oldValue;
    }
    public E get(int index) {
        rangeCheck(index);//检验index是否合法

        return elementData(index);//返回[index]位置的元素
    }
    public int indexOf(Object o) {
        //分为o是否为空两种情况
        if (o == null) {
            //从前往后找
            for (int i = 0; i < size; i++)
                if (elementData[i]==null)
                    return i;
        } else {
            for (int i = 0; i < size; i++)
                if (o.equals(elementData[i]))
                    return i;
        }
        return -1;
    }
    public int lastIndexOf(Object o) {
         //分为o是否为空两种情况
        if (o == null) {
            //从后往前找
            for (int i = size-1; i >= 0; i--)
                if (elementData[i]==null)
                    return i;
        } else {
            for (int i = size-1; i >= 0; i--)
                if (o.equals(elementData[i]))
                    return i;
        }
        return -1;
    }

2.3 链表

2.3.1 链表的特点

逻辑结构:线性结构

物理结构:不要求连续的存储空间

存储特点:数据必须封装到“结点”中,结点包含多个数据项,数据值只是其中的一个数据项,其他的数据项用来记录与之有关的结点的地址。

例如:以下列出几种常见的链式存储结构(当然远不止这些)

1563448858180

2.3.2 自定义双链表(选讲)

package com.atguigu.list;

import java.util.Iterator;

public class MyLinkedList<E> implements Iterable<E>{
    private Node first;
    private Node last;
    private int total;

    public void add(E e){
        Node newNode = new Node(last, e, null);

        if(first == null){
            first = newNode;
        }else{
            last.next = newNode;
        }
        last = newNode;
        total++;
    }

    public int size(){
        return total;
    }

    public void delete(Object obj){
        Node find = findNode(obj);
        if(find != null){
            if(find.prev != null){
                find.prev.next = find.next;
            }else{
                first = find.next;
            }
            if(find.next != null){
                find.next.prev = find.prev;
            }else{
                last = find.prev;
            }

            find.prev = null;
            find.next = null;
            find.data = null;

            total--;
        }
    }

    private Node findNode(Object obj){
        Node node = first;
        Node find = null;

        if(obj == null){
            while(node != null){
                if(node.data == null){
                    find = node;
                    break;
                }
                node = node.next;
            }
        }else{
            while(node != null){
                if(obj.equals(node.data)){
                    find = node;
                    break;
                }
                node = node.next;
            }
        }
        return find;
    }

    public boolean contains(Object obj){
        return findNode(obj) != null;
    }

    public void update(E old, E value){
        Node find = findNode(old);
        if(find != null){
            find.data = value;
        }
    }

    @Override
    public Iterator<E> iterator() {
        return new Itr();
    }

    private class Itr implements Iterator<E>{
        private Node node = first;

        @Override
        public boolean hasNext() {
            return node!=null;
        }

        @Override
        public E next() {
            E value = node.data;
            node = node.next;
            return value;
        }
    }

    private class Node{
        Node prev;
        E data;
        Node next;

        Node(Node prev, E data, Node next) {
            this.prev = prev;
            this.data = data;
            this.next = next;
        }
    }
}

自定义双链表测试:

package com.atguigu.list;

public class TestMyLinkedList {
    public static void main(String[] args) {
        MyLinkedList<String> my = new MyLinkedList<>();
        my.add("hello");
        my.add("world");
        my.add(null);
        my.add(null);
        my.add("java");
        my.add("java");
        my.add("atguigu");

        System.out.println("一共有:" + my.size());
        System.out.println("所有元素:");
        for (String s : my) {
            System.out.println(s);
        }
        System.out.println("-------------------------------------");
        System.out.println("查找java,null,haha的结果:");
        System.out.println(my.contains("java"));
        System.out.println(my.contains(null));
        System.out.println(my.contains("haha"));

        System.out.println("-------------------------------------");
        System.out.println("替换java,null后:");
        my.update("java","JAVA");
        my.update(null,"chai");
        System.out.println("所有元素:");
        for (String s : my) {
            System.out.println(s);
        }
        System.out.println("-------------------------------------");
        System.out.println("删除hello,JAVA,null,atguigu后:");
        my.delete("hello");
        my.delete("JAVA");
        my.delete(null);
        my.delete("atguigu");
        System.out.println("所有元素:");
        for (String s : my) {
            System.out.println(s);
        }
    }
}

2.3.3 Java API中LinkedList源码分析

Java中有双链表的实现:LinkedList,它是List接口的实现类。

	int size = 0;
	Node<E> first;//记录第一个结点的位置
	Node<E> last;//记录最后一个结点的位置

    private static class Node<E> {
        E item;//元素数据
        Node<E> next;//下一个结点
        Node<E> prev;//前一个结点

        Node(Node<E> prev, E element, Node<E> next) {
            this.item = element;
            this.next = next;
            this.prev = prev;
        }
    }
    public boolean add(E e) {
        linkLast(e);//默认把新元素链接到链表尾部
        return true;
    }
    void linkLast(E e) {
        final Node<E> l = last;//用l 记录原来的最后一个结点
        
        //创建新结点
        final Node<E> newNode = new Node<>(l, e, null);
        //现在的新结点是最后一个结点了
        last = newNode;
        
        //如果l==null,说明原来的链表是空的
        if (l == null)
            //那么新结点同时也是第一个结点
            first = newNode;
        else
            //否则把新结点链接到原来的最后一个结点的next中
            l.next = newNode;
        //元素个数增加
        size++;
        //修改次数增加
        modCount++;
    }

    public void add(int index, E element) {
        checkPositionIndex(index);//检查index范围

        if (index == size)//如果index==size,连接到当前链表的尾部
            linkLast(element);
        else
            linkBefore(element, node(index));
    }

    Node<E> node(int index) {
        // assert isElementIndex(index);

        //如果index<size/2,就从前往后找目标结点
        if (index < (size >> 1)) {
            Node<E> x = first;
            for (int i = 0; i < index; i++)
                x = x.next;
            return x;
        } else {//否则从后往前找目标结点
            Node<E> x = last;
            for (int i = size - 1; i > index; i--)
                x = x.prev;
            return x;
        }
    }

	//把新结点插入到[index]位置的结点succ前面
    void linkBefore(E e, Node<E> succ) {//succ是[index]位置对应的结点
        // assert succ != null;
        final Node<E> pred = succ.prev; //[index]位置的前一个结点
        
        //新结点的prev是原来[index]位置的前一个结点
        //新结点的next是原来[index]位置的结点
        final Node<E> newNode = new Node<>(pred, e, succ);
        
        //[index]位置对应的结点的prev指向新结点
        succ.prev = newNode;
        
        //如果原来[index]位置对应的结点是第一个结点,那么现在新结点是第一个结点
        if (pred == null)
            first = newNode;
        else
            pred.next = newNode;//原来[index]位置的前一个结点的next指向新结点
        size++;
        modCount++;
    }
    public boolean remove(Object o) {
        //分o是否为空两种情况
        if (o == null) {
            //找到o对应的结点x
            for (Node<E> x = first; x != null; x = x.next) {
                if (x.item == null) {
                    unlink(x);//删除x结点
                    return true;
                }
            }
        } else {
            //找到o对应的结点x
            for (Node<E> x = first; x != null; x = x.next) {
                if (o.equals(x.item)) {
                    unlink(x);//删除x结点
                    return true;
                }
            }
        }
        return false;
    }
    E unlink(Node<E> x) {//x是要被删除的结点
        // assert x != null;
        final E element = x.item;//被删除结点的数据
        final Node<E> next = x.next;//被删除结点的下一个结点
        final Node<E> prev = x.prev;//被删除结点的上一个结点

        //如果被删除结点的前面没有结点,说明被删除结点是第一个结点
        if (prev == null) {
            //那么被删除结点的下一个结点变为第一个结点
            first = next;
        } else {//被删除结点不是第一个结点
            //被删除结点的上一个结点的next指向被删除结点的下一个结点
            prev.next = next;
            //断开被删除结点与上一个结点的链接
            x.prev = null;//使得GC回收
        }

        //如果被删除结点的后面没有结点,说明被删除结点是最后一个结点
        if (next == null) {
            //那么被删除结点的上一个结点变为最后一个结点
            last = prev;
        } else {//被删除结点不是最后一个结点
            //被删除结点的下一个结点的prev执行被删除结点的上一个结点
            next.prev = prev;
            //断开被删除结点与下一个结点的连接
            x.next = null;//使得GC回收
        }
		//把被删除结点的数据也置空,使得GC回收
        x.item = null;
        //元素个数减少
        size--;
        //修改次数增加
        modCount++;
        //返回被删除结点的数据
        return element;
    }

2.3.4 自定义单链表(选讲)

package com.atguigu.list;

import java.util.Iterator;

public class MyOneWayLinkedList<E>  implements Iterable<E>{
    private Node head;
    private int total;

    public void add(E e){
        Node newNode = new Node(e, null);
        if(head == null){
            head = newNode;
        }else{
            Node node = head;
            while(node.next!=null){
                node = node.next;
            }
            node.next = newNode;
        }
        total++;
    }

    private Node[] findNodes(Object obj){
        Node[] result = new MyOneWayLinkedList.Node[2];
        Node node = head;
        Node find = null;
        Node beforeFind = null;

        if(obj == null){
            while(node != null){
                if(node.data == null){
                    find = node;
                    break;
                }
                beforeFind = node;
                node = node.next;
            }

        }else{
            while(node != null){
                if(obj.equals(node.data)){
                    find = node;
                    break;
                }
                beforeFind = node;
                node = node.next;
            }
        }
        result[0] = beforeFind;
        result[1] = find;
        return result;
    }

    public void delete(Object obj){
        Node[] nodes = findNodes(obj);
        Node beforeFind = nodes[0];
        Node find = nodes[1];
        if(find != null){
            if(beforeFind == null){
                head = find.next;
            }else {
                beforeFind.next = find.next;
            }
            total--;
        }
    }

    private Node findNode(Object obj){
        return findNodes(obj)[1];
    }

    public boolean contains(Object obj){
        return findNode(obj) != null;
    }

    public void update(E old, E value) {
        Node find = findNode(old);
        if(find != null){
            find.data = value;
        }
    }

    public int size() {
        return total;
    }

    @Override
    public Iterator<E> iterator() {
        return new Itr();
    }

    private class Itr implements Iterator<E>{
        private Node node = head;

        @Override
        public boolean hasNext() {
            return node != null;
        }

        @Override
        public E next() {
            E value = node.data;
            node = node.next;
            return value;
        }
    }


    private class Node{
        E data;
        Node next;

        Node(E data, Node next) {
            this.data = data;
            this.next = next;
        }
    }
}
package com.atguigu.list;

public class TestMyOneWayLinkedList{
    public static void main(String[] args) {
        MyOneWayLinkedList<String> my = new MyOneWayLinkedList<>();
        my.add("hello");
        my.add("world");
        my.add(null);
        my.add(null);
        my.add("java");
        my.add("java");
        my.add("atguigu");

        System.out.println("一共有:" + my.size());
        System.out.println("所有元素:");
        for (String s : my) {
            System.out.println(s);
        }
        System.out.println("-------------------------------------");
        System.out.println("查找java,null,haha的结果:");
        System.out.println(my.contains("java"));
        System.out.println(my.contains(null));
        System.out.println(my.contains("haha"));
        System.out.println("-------------------------------------");
        System.out.println("替换java,null后:");
        my.update("java","JAVA");
        my.update(null,"chai");
        System.out.println("所有元素:");
        for (String s : my) {
            System.out.println(s);
        }
        System.out.println("-------------------------------------");
        System.out.println("删除hello,JAVA,null,atguigu后:");
        my.delete("hello");
        my.delete("JAVA");
        my.delete(null);
        my.delete("atguigu");
        System.out.println("所有元素:");
        for (String s : my) {
            System.out.println(s);
        }
    }
}

2.3.5 链表与动态数组的区别

动态数组底层的物理结构是数组,因此根据索引访问的效率非常高。但是非末尾位置的插入和删除效率不高,因为涉及到移动元素。另外添加操作时涉及到扩容问题,就会增加时空消耗。

链表底层的物理结构是链表,因此根据索引访问的效率不高,但是插入和删除不需要移动元素,只需要修改前后元素的指向关系即可,而且链表的添加不会涉及到扩容问题。

2.4 栈(选讲)

堆栈是一种先进后出(FILO:first in last out)或后进先出(LIFO:last in first out)的结构。

栈只是逻辑结构,其物理结构可以是数组,也可以是链表,即栈结构分为顺序栈和链式栈。

核心类库中的栈结构有Stack和LinkdeList。Stack就是顺序栈,它是Vector的子类。LinkedList是链式栈。

体现栈结构的操作方法:

  • peek()方法:查看栈顶元素,不弹出
  • pop()方法:弹出栈
  • push(E e)方法:压入栈
package com.atguigu.list;

import org.junit.Test;

import java.util.LinkedList;
import java.util.Stack;

public class TestStack {
    @Test
    public void test1(){
        Stack<Integer> list = new Stack<>();
        list.push(1);
        list.push(2);
        list.push(3);

        System.out.println("list = " + list);

        System.out.println("list.peek()=" + list.peek());
        System.out.println("list.peek()=" + list.peek());
        System.out.println("list.peek()=" + list.peek());

/*
		System.out.println("list.pop() =" + list.pop());
		System.out.println("list.pop() =" + list.pop());
		System.out.println("list.pop() =" + list.pop());
		System.out.println("list.pop() =" + list.pop());//java.util.NoSuchElementException
*/

		while(!list.empty()){
            System.out.println("list.pop() =" + list.pop());
        }
    }

    @Test
    public void test2(){
        LinkedList<Integer> list = new LinkedList<>();
        list.push(1);
        list.push(2);
        list.push(3);

        System.out.println("list = " + list);

        System.out.println("list.peek()=" + list.peek());
        System.out.println("list.peek()=" + list.peek());
        System.out.println("list.peek()=" + list.peek());

/*
		System.out.println("list.pop() =" + list.pop());
		System.out.println("list.pop() =" + list.pop());
		System.out.println("list.pop() =" + list.pop());
		System.out.println("list.pop() =" + list.pop());//java.util.NoSuchElementException
*/

        while(!list.isEmpty()){
            System.out.println("list.pop() =" + list.pop());
        }
    }
}

3. 队列

队列(Queue)是一种(但并非一定)先进先出(FIFO)的结构。

队列是逻辑结构,其物理结构可以是数组,也可以是链表。队列有普通队列、双端队列、并发队列等等,核心类库中的队列实现类有很多(后面会学到很多),LinkdeList是双端队列的实现类。

==Queue==除了基本的 Collection操作外,==队列==还提供其他的插入、提取和检查操作。每个方法都存在两种形式:一种抛出异常(操作失败时),另一种返回一个特殊值(nullfalse,具体取决于操作)。Queue 实现通常不允许插入 元素,尽管某些实现(如 )并不禁止插入 。即使在允许 null 的实现中,也不应该将 插入到 中,因为 也用作 方法的一个特殊返回值,表明队列不包含元素。

抛出异常返回特殊值
插入add(e)offer(e)
移除remove()poll()
检查element()peek()

==Deque==,名称 deque 是“double ended queue==(双端队列)==”的缩写,通常读为“deck”。此接口定义在双端队列两端访问元素的方法。提供插入、移除和检查元素的方法。每种方法都存在两种形式:一种形式在操作失败时抛出异常,另一种形式返回一个特殊值(nullfalse,具体取决于操作)。Deque接口的实现类有ArrayDeque和LinkedList,它们一个底层是使用数组实现,一个使用双向链表实现。

第一个元素(头部)最后一个元素(尾部)
抛出异常特殊值抛出异常特殊值
插入addFirst(e)offerFirst(e)addLast(e)offerLast(e)
移除removeFirst()pollFirst()removeLast()pollLast()
检查getFirst()peekFirst()getLast()peekLast()

此接口扩展了 Queue接口。在将双端队列用作队列时,将得到 FIFO(先进先出)行为。将元素添加到双端队列的末尾,从双端队列的开头移除元素。从 Queue 接口继承的方法完全等效于 Deque 方法,如下表所示:

Queue 方法等效 Deque 方法
add(e)addLast(e)
offer(e)offerLast(e)
remove()removeFirst()
poll()pollFirst()
element()getFirst()
peek()peekFirst()

双端队列也可用作 LIFO(后进先出)堆栈。应优先使用此接口而不是遗留 Stack 类。在将双端队列用作堆栈时,元素被推入双端队列的开头并从双端队列开头弹出。堆栈方法完全等效于 Deque 方法,如下表所示:

堆栈方法等效 Deque 方法
push(e)addFirst(e)
pop()removeFirst()
peek()peekFirst()

结论:Deque接口的实现类既可以用作FILO堆栈使用,又可以用作FIFO队列使用。

package com.atguigu.queue;

import java.util.LinkedList;

public class TestQueue {
    public static void main(String[] args) {
        LinkedList<String> list = new LinkedList<>();
        list.addLast("张三");
        list.addLast("李四");
        list.addLast("王五");
        list.addLast("赵六");

        while (!list.isEmpty()){
            System.out.println("list.removeFirst()=" + list.removeFirst());
        }
    }
}

3. Set接口剖析

3.1 Set接口实现类

1、HashSet

java.util.HashSet底层的实现其实是一个java.util.HashMap支持,然后HashMap的底层物理实现是一个Hash表。

HashSet 按 Hash 算法来存储集合中的元素,因此具有很好的存取和查找性能。HashSet 集合判断两个元素相等的标准:两个对象通过 hashCode() 方法比较相等,并且两个对象的 equals() 方法返回值也相等。因此,存储到HashSet的元素要重写hashCode和equals方法。

笔试题:

HashSet set = new HashSet();
Person p1 = new Person(1001,"AA");
Person p2 = new Person(1002,"BB");

set.add(p1);
set.add(p2);
p1.name = "CC";
set.remove(p1);
System.out.println(set);

set.add(new Person(1001,"CC"));
System.out.println(set);

set.add(new Person(1001,"AA"));
System.out.println(set);

//其中Person类中重写了hashCode()和equal()方法

2、LinkedHashSet

LinkedHashSet是HashSet的子类,它在HashSet的基础上,在结点中增加两个属性before和after维护了结点的前后添加顺序。java.util.LinkedHashSet,它是链表和哈希表组合的一个数据存储结构。LinkedHashSet插入性能略低于 HashSet,但在迭代访问 Set 里的全部元素时有很好的性能。

3、TreeSet

TreeSet里面维护了一个TreeMap,底层是基于红黑树实现的!

3.2 Set集合与Map集合的关系

Set的内部实现其实是一个Map。即HashSet的内部实现是一个HashMap,TreeSet的内部实现是一个TreeMap,LinkedHashSet的内部实现是一个LinkedHashMap。

部分源代码摘要:

HashSet源码:

    public HashSet() {
        map = new HashMap<>();
    }

    public HashSet(Collection<? extends E> c) {
        map = new HashMap<>(Math.max((int) (c.size()/.75f) + 1, 16));
        addAll(c);
    }

    public HashSet(int initialCapacity, float loadFactor) {
        map = new HashMap<>(initialCapacity, loadFactor);
    }

    public HashSet(int initialCapacity) {
        map = new HashMap<>(initialCapacity);
    }

	//这个构造器是给子类LinkedHashSet调用的
    HashSet(int initialCapacity, float loadFactor, boolean dummy) {
        map = new LinkedHashMap<>(initialCapacity, loadFactor);
    }

LinkedHashSet源码:

    public LinkedHashSet(int initialCapacity, float loadFactor) {
        super(initialCapacity, loadFactor, true);//调用HashSet的某个构造器
    }

    public LinkedHashSet(int initialCapacity) {
        super(initialCapacity, .75f, true);//调用HashSet的某个构造器
    }

    public LinkedHashSet() {
        super(16, .75f, true);
    }

    public LinkedHashSet(Collection<? extends E> c) {
        super(Math.max(2*c.size(), 11), .75f, true);//调用HashSet的某个构造器
        addAll(c);
    }

TreeSet源码:

    public TreeSet() {
        this(new TreeMap<E,Object>());
    }

    public TreeSet(Comparator<? super E> comparator) {
        this(new TreeMap<>(comparator));
    }

    public TreeSet(Collection<? extends E> c) {
        this();
        addAll(c);
    }

    public TreeSet(SortedSet<E> s) {
        this(s.comparator());
        addAll(s);
    }

但是,咱们存到Set中只有一个元素,又是怎么变成(key,value)的呢?

以HashSet中的源码为例:

private static final Object PRESENT = new Object();
public boolean add(E e) {
    return map.put(e, PRESENT)==null;
}
public Iterator<E> iterator() {
    return map.keySet().iterator();
}

原来是,把添加到Set中的元素作为内部实现map的key,然后用一个常量对象PRESENT对象,作为value。

这是因为Set的元素不可重复和Map的key不可重复有相同特点。Map有一个方法keySet()可以返回所有key。

4. Map接口剖析

4.1 Map接口的实现类

Map接口的常用实现类:HashMap、TreeMap、LinkedHashMap和Properties。其中HashMap是 Map 接口使用频率最高的实现类。

1、HashMap和Hashtable

HashMap和Hashtable都是哈希表。HashMap和Hashtable判断两个 key 相等的标准是:两个 key 的hashCode 值相等,并且 equals() 方法也返回 true。因此,为了成功地在哈希表中存储和获取对象,用作键的对象必须实现 hashCode 方法和 equals 方法。

  • Hashtable是线程安全的,任何非 null 对象都可以用作键或值。

  • HashMap是线程不安全的,并允许使用 null 值和 null 键。

2、LinkedHashMap

LinkedHashMap 是 HashMap 的子类。此实现与 HashMap 的不同之处在于,后者维护着一个运行于所有条目的双重链接列表。此链接列表定义了迭代顺序,该迭代顺序通常就是将键插入到映射中的顺序(插入顺序)。

3、TreeMap

基于红黑树(Red-Black tree)的 NavigableMap 实现。该映射根据其键的自然顺序进行排序,或者根据创建映射时提供的 Comparator 进行排序,具体取决于使用的构造方法。

4、Properties

Properties 类是 Hashtable 的子类,Properties 可保存在流中或从流中加载。属性列表中每个键及其对应值都是一个字符串。

4.2 哈希表

HashMap和Hashtable都是哈希表。

4.2.1 hashCode值

hash算法是一种可以从任何数据中提取出其“指纹”的数据摘要算法,它将任意大小的数据映射到一个固定大小的序列上,这个序列被称为hash code、数据摘要或者指纹。比较出名的hash算法有MD5、SHA。hash是具有唯一性且不可逆的,唯一性是指相同的“对象”产生的hash code永远是一样的。

1563797150134

4.2.2 哈希表的物理结构

HashMap和Hashtable是散列表,其中维护了一个长度为2的幂次方的Entry类型的数组table,数组的每一个元素被称为一个桶(bucket),你添加的映射关系(key,value)最终都被封装为一个Map.Entry类型的对象,放到了某个table[index]桶中。使用数组的目的是查询和添加的效率高,可以根据索引直接定位到某个table[index]。

1、数组元素类型:Map.Entry

JDK1.7:

映射关系被封装为HashMap.Entry类型,而这个类型实现了Map.Entry接口。

观察HashMap.Entry类型是个结点类型,即table[index]下的映射关系可能串起来一个链表。因此我们把table[index]称为“桶bucket"。

public class HashMap<K,V>{
    transient Entry<K,V>[] table = (Entry<K,V>[]) EMPTY_TABLE;
    static class Entry<K,V> implements Map.Entry<K,V> {
            final K key;
            V value;
            Entry<K,V> next;
            int hash;
            //...省略
    }
    //...
}

1563799072234

JDK1.8:

映射关系被封装为HashMap.Node类型或HashMap.TreeNode类型,它俩都直接或间接的实现了Map.Entry接口。

存储到table数组的可能是Node结点对象,也可能是TreeNode结点对象,它们也是Map.Entry接口的实现类。即table[index]下的映射关系可能串起来一个链表或一棵红黑树。

public class HashMap<K,V>{
    transient Node<K,V>[] table;
    static class Node<K,V> implements Map.Entry<K,V> {
            final int hash;
            final K key;
            V value;
            Node<K,V> next;
            //...省略
    }
    static final class TreeNode<K,V> extends LinkedHashMap.Entry<K,V> {
        TreeNode<K,V> parent;  // red-black tree links
        TreeNode<K,V> left;
        TreeNode<K,V> right;
        TreeNode<K,V> prev;
        boolean red;//是红结点还是黑结点
        //...省略
    }
    //....
}
public class LinkedHashMap<K,V>{
	static class Entry<K,V> extends HashMap.Node<K,V> {
        Entry<K,V> before, after;
        Entry(int hash, K key, V value, Node<K,V> next) {
            super(hash, key, value, next);
        }
    }
    //...
}

1563799238793

2、那么HashMap是如何决定某个映射关系存在哪个桶的呢?

因为hash值是一个整数,而数组的长度也是一个整数,有两种思路:

①hash 值 % table.length会得到一个[0,table.length-1]范围的值,正好是下标范围,但是用%运算效率没有位运算符&高。

②hash 值 & (table.length-1),任何数 & (table.length-1)的结果也一定在[0, table.length-1]范围。

hashCode值是   ?
table.length是10
table.length-19

?   ????????
9	 00001001
&_____________
	 00000000	[0]
	 00000001	[1]
	 00001000	[8]
	 00001001	[9]
	 一定[0]~[9]
hashCode值是   ?
table.length是16
table.length-115

?   ????????
15	 00001111
&_____________
	 00000000	[0]
	 00000001	[1]
	 00000010	[2]
	 00000011	[3]
	 ...
	 00001111    [15]
	 范围是[0,15],一定在[0,table.length-1]范围内

JDK1.7:

    static int indexFor(int h, int length) {
        // assert Integer.bitCount(length) == 1 : "length must be a non-zero power of 2";
        return h & (length-1); //此处h就是hash
    }

JDK1.8:

    final V putVal(int hash, K key, V value, boolean onlyIfAbsent, boolean evict) {
        Node<K,V>[] tab; Node<K,V> p; int n, i;
        if ((tab = table) == null || (n = tab.length) == 0)
            n = (tab = resize()).length;
        if ((p = tab[i = (n - 1) & hash]) == null)  // i = (n - 1) & hash
            tab[i] = newNode(hash, key, value, null);
        //....省略大量代码
}
3、数组的长度始终是2的n次幂

table数组的默认初始化长度:

static final int DEFAULT_INITIAL_CAPACITY = 1 << 4;

如果你手动指定的table长度不是2的n次幂,会通过如下方法给你纠正为2的n次幂

JDK1.7:

HashMap处理容量方法:

    private static int roundUpToPowerOf2(int number) {
        // assert number >= 0 : "number must be non-negative";
        return number >= MAXIMUM_CAPACITY
                ? MAXIMUM_CAPACITY
                : (number > 1) ? Integer.highestOneBit((number - 1) << 1) : 1;
    }

Integer包装类:

    public static int highestOneBit(int i) {
        // HD, Figure 3-1
        i |= (i >>  1);
        i |= (i >>  2);
        i |= (i >>  4);
        i |= (i >>  8);
        i |= (i >> 16);
        return i - (i >>> 1);
    }

JDK1.8:

    static final int tableSizeFor(int cap) {
        int n = cap - 1;
        n |= n >>> 1;
        n |= n >>> 2;
        n |= n >>> 4;
        n |= n >>> 8;
        n |= n >>> 16;
        return (n < 0) ? 1 : (n >= MAXIMUM_CAPACITY) ? MAXIMUM_CAPACITY : n + 1;
    }

如果数组不够了,扩容了怎么办?扩容了还是2的n次幂,因为每次数组扩容为原来的2倍

JDK1.7:

    void addEntry(int hash, K key, V value, int bucketIndex) {
        if ((size >= threshold) && (null != table[bucketIndex])) {
            resize(2 * table.length);//扩容为原来的2倍
            hash = (null != key) ? hash(key) : 0;
            bucketIndex = indexFor(hash, table.length);
        }
        createEntry(hash, key, value, bucketIndex);
    }

JDK1.8:

    final Node<K,V>[] resize() {
        Node<K,V>[] oldTab = table;
        int oldCap = (oldTab == null) ? 0 : oldTab.length;//oldCap原来的容量
        int oldThr = threshold;
        int newCap, newThr = 0;
        if (oldCap > 0) {
            if (oldCap >= MAXIMUM_CAPACITY) {
                threshold = Integer.MAX_VALUE;
                return oldTab;
            }//newCap = oldCap << 1  新容量=旧容量扩容为原来的2倍
            else if ((newCap = oldCap << 1) < MAXIMUM_CAPACITY &&
                     oldCap >= DEFAULT_INITIAL_CAPACITY)
                newThr = oldThr << 1; // double threshold
        	}
   		//......此处省略其他代码
	}

那么为什么要保持table数组一直是2的n次幂呢?

因为如果数组的长度为2的n次幂,那么table.length-1的二进制就是一个高位全是0,低位全是1的数字,这样才能保证每一个下标位置都有机会被用到。
    
hashCode值是   ?
table.length是10
table.length-19

?   ????????
9	 00001001
&_____________
	 00000000	[0]
	 00000001	[1]
	 00001000	[8]
	 00001001	[9]
	 一定[0]~[9]
hashCode值是   ?
table.length是16
table.length-115

?   ????????
15	 00001111
&_____________
	 00000000	[0]
	 00000001	[1]
	 00000010	[2]
	 00000011	[3]
	 ...
	 00001111    [15]
	 范围是[0,15],一定在[0,table.length-1]范围内
4、hash是hashCode的再运算

不管是JDK1.7还是JDK1.8中,都不是直接用key的hashCode值直接与table.length-1计算求下标的,而是先对key的hashCode值进行了一个运算,JDK1.7和JDK1.8关于hash()的实现代码不一样,但是不管怎么样都是为了提高hash code值与 (table.length-1)的按位与完的结果,尽量的均匀分布。

JDK1.7:

    final int hash(Object k) {
        int h = hashSeed;
        if (0 != h && k instanceof String) {
            return sun.misc.Hashing.stringHash32((String) k);
        }

        h ^= k.hashCode();
        h ^= (h >>> 20) ^ (h >>> 12);
        return h ^ (h >>> 7) ^ (h >>> 4);
    }

JDK1.8:

	static final int hash(Object key) {
        int h;
        return (key == null) ? 0 : (h = key.hashCode()) ^ (h >>> 16);
    }

虽然算法不同,但是思路都是将hashCode值的高位二进制与低位二进制值进行了异或,然高位二进制参与到index的计算中。

为什么要hashCode值的二进制的高位参与到index计算呢?

因为一个HashMap的table数组一般不会特别大,至少在不断扩容之前,那么table.length-1的大部分高位都是0,直接用hashCode和table.length-1进行&运算的话,就会导致总是只有最低的几位是有效的,那么就算你的hashCode()实现的再好也难以避免发生碰撞,这时让高位参与进来的意义就体现出来了。它对hashcode的低位添加了随机性并且混合了高位的部分特征,显著减少了碰撞冲突的发生。

5、解决[index]冲突问题

虽然从设计hashCode()到上面HashMap的hash()函数,都尽量减少冲突,但是仍然存在两个不同的对象返回的hashCode值相同,或者hashCode值就算不同,通过hash()函数计算后,得到的index也会存在大量的相同,因此key分布完全均匀的情况是不存在的。那么发生碰撞冲突时怎么办?

JDK1.8之间使用:数组+链表的结构。

JDK1.8之后使用:数组+链表/红黑树的结构。

即hash相同或hash&(table.lengt-1)的值相同,那么就存入同一个“桶”table[index]中,使用链表或红黑树连接起来。

1563802656661

1563802665708

6、为什么JDK1.8会出现红黑树和链表共存呢?

因为当冲突比较严重时,table[index]下面的链表就会很长,那么会导致查找效率大大降低,而如果此时选用二叉树可以大大提高查询效率。

但是二叉树的结构又过于复杂,如果结点个数比较少的时候,那么选择链表反而更简单。

所以会出现红黑树和链表共存。

7、什么时候树化?什么时候反树化?
static final int TREEIFY_THRESHOLD = 8;//树化阈值
static final int UNTREEIFY_THRESHOLD = 6;//反树化阈值
static final int MIN_TREEIFY_CAPACITY = 64;//最小树化容量
  • 当某table[index]下的链表的结点个数达到8,并且table.length>=64,那么如果新Entry对象还添加到该table[index]中,那么就会将table[index]的链表进行树化。

  • 当某table[index]下的红黑树结点个数少于6个,此时,

    • 当继续删除table[index]下的树结点,最后这个根结点的左右结点有null,或根结点的左结点的左结点为null,会反树化
    • 当重新添加新的映射关系到map中,导致了map重新扩容了,这个时候如果table[index]下面还是小于等于6的个数,那么会反树化
package com.atguigu.map;

public class MyKey{
    int num;

    public MyKey(int num) {
        super();
        this.num = num;
    }

    @Override
    public int hashCode() {
        if(num<=20){
            return 1;
        }else{
            final int prime = 31;
            int result = 1;
            result = prime * result + num;
            return result;
        }
    }

    @Override
    public boolean equals(Object obj) {
        if (this == obj)
            return true;
        if (obj == null)
            return false;
        if (getClass() != obj.getClass())
            return false;
        MyKey other = (MyKey) obj;
        if (num != other.num)
            return false;
        return true;
    }

}

package com.atguigu.map;

import org.junit.Test;

import java.util.HashMap;

public class TestHashMapMyKey {
    @Test
    public void test1(){
        //这里为了演示的效果,我们造一个特殊的类,这个类的hashCode()方法返回固定值1
        //因为这样就可以造成冲突问题,使得它们都存到table[1]中
        HashMap<MyKey, String> map = new HashMap<>();
        for (int i = 1; i <= 11; i++) {
            map.put(new MyKey(i), "value"+i);//树化演示
        }
    }
    @Test
    public void test2(){
        HashMap<MyKey, String> map = new HashMap<>();
        for (int i = 1; i <= 11; i++) {
            map.put(new MyKey(i), "value"+i);
        }
        for (int i = 1; i <=11; i++) {
            map.remove(new MyKey(i));//反树化演示
        }
    }
    @Test
    public void test3(){
        HashMap<MyKey, String> map = new HashMap<>();
        for (int i = 1; i <= 11; i++) {
            map.put(new MyKey(i), "value"+i);
        }

        for (int i = 1; i <=5; i++) {
            map.remove(new MyKey(i));
        }//table[1]下剩余6个结点

        for (int i = 21; i <= 100; i++) {
            map.put(new MyKey(i), "value"+i);//添加到扩容时,反树化
        }
    }
}

4.2.3 JDK1.7的put方法源码分析

(1)几个关键的常量和变量值的作用:

初始化容量:

int DEFAULT_INITIAL_CAPACITY = 1 << 4;//16  目的是体现2的n次方

①默认负载因子

static final float DEFAULT_LOAD_FACTOR = 0.75f;

②阈值:扩容的临界值

int threshold;
threshold = table.length * loadFactor;

③负载因子

final float loadFactor;

负载因子的值大小有什么关系?

如果太大,threshold就会很大,那么如果冲突比较严重的话,就会导致table[index]下面的结点个数很多,影响效率。

如果太小,threshold就会很小,那么数组扩容的频率就会提高,数组的使用率也会降低,那么会造成空间的浪费。

    public HashMap() {
    	//DEFAULT_INITIAL_CAPACITY:默认初始容量16
    	//DEFAULT_LOAD_FACTOR:默认加载因子0.75
        this(DEFAULT_INITIAL_CAPACITY, DEFAULT_LOAD_FACTOR);
    }
    public HashMap(int initialCapacity, float loadFactor) {
        //校验initialCapacity合法性
        if (initialCapacity < 0)
            throw new IllegalArgumentException("Illegal initial capacity: " +
        //校验initialCapacity合法性                                       initialCapacity);
        if (initialCapacity > MAXIMUM_CAPACITY)
            initialCapacity = MAXIMUM_CAPACITY;
        //校验loadFactor合法性
        if (loadFactor <= 0 || Float.isNaN(loadFactor))
            throw new IllegalArgumentException("Illegal load factor: " +
                                               loadFactor);
		//加载因子,初始化为0.75
        this.loadFactor = loadFactor;
        // threshold 初始为初始容量                                  
        threshold = initialCapacity;
        init();
    }
public V put(K key, V value) {
        //如果table数组是空的,那么先创建数组
        if (table == EMPTY_TABLE) {
            //threshold一开始是初始容量的值
            inflateTable(threshold);
        }
        //如果key是null,单独处理,存储到table[0]中,如果有另一个key为null,value覆盖
        if (key == null)
            return putForNullKey(value);
        
        //对key的hashCode进行干扰,算出一个hash值
    /*
    hashCode值      xxxxxxxxxx
   table.length-1   000001111
   
   hashCode值 xxxxxxxxxx  无符号右移几位和原来的hashCode值做^运算,使得hashCode高位二进制值参与计算,也发挥作用,降低index冲突的概率。
    */
        int hash = hash(key);
        
        //计算新的映射关系应该存到table[i]位置,
        //i = hash & table.length-1,可以保证i在[0,table.length-1]范围内
        int i = indexFor(hash, table.length);
        
        //检查table[i]下面有没有key与我新的映射关系的key重复,如果重复替换value
        for (Entry<K,V> e = table[i]; e != null; e = e.next) {
            Object k;
            if (e.hash == hash && ((k = e.key) == key || key.equals(k))) {
                V oldValue = e.value;
                e.value = value;
                e.recordAccess(this);
                return oldValue;
            }
        }

        modCount++;
        //添加新的映射关系
        addEntry(hash, key, value, i);
        return null;
    }
    private void inflateTable(int toSize) {
        // Find a power of 2 >= toSize
        int capacity = roundUpToPowerOf2(toSize);//容量是等于toSize值的最接近的2的n次方
		//计算阈值 = 容量 * 加载因子
        threshold = (int) Math.min(capacity * loadFactor, MAXIMUM_CAPACITY + 1);
        //创建Entry[]数组,长度为capacity
        table = new Entry[capacity];
        initHashSeedAsNeeded(capacity);
    }
	//如果key是null,直接存入[0]的位置
    private V putForNullKey(V value) {
        //判断是否有重复的key,如果有重复的,就替换value
        for (Entry<K,V> e = table[0]; e != null; e = e.next) {
            if (e.key == null) {
                V oldValue = e.value;
                e.value = value;
                e.recordAccess(this);
                return oldValue;
            }
        }
        modCount++;
        //把新的映射关系存入[0]的位置,而且key的hash值用0表示
        addEntry(0, null, value, 0);
        return null;
    }
    void addEntry(int hash, K key, V value, int bucketIndex) {
        //判断是否需要库容
        //扩容:(1)size达到阈值(2)table[i]正好非空
        if ((size >= threshold) && (null != table[bucketIndex])) {
            //table扩容为原来的2倍,并且扩容后,会重新调整所有映射关系的存储位置
            resize(2 * table.length);
            //新的映射关系的hash和index也会重新计算
            hash = (null != key) ? hash(key) : 0;
            bucketIndex = indexFor(hash, table.length);
        }
		//存入table中
        createEntry(hash, key, value, bucketIndex);
    }
    void createEntry(int hash, K key, V value, int bucketIndex) {
        Entry<K,V> e = table[bucketIndex];
        //原来table[i]下面的映射关系作为新的映射关系next
        table[bucketIndex] = new Entry<>(hash, key, value, e);
        size++;//个数增加
    }

1、put(key,value)

(1)当第一次添加映射关系时,数组初始化为一个长度为16的**HashMapEntry的数组,这个HashMapEntry**的数组,这个HashMapEntry类型是实现了java.util.Map.Entry接口

(2)特殊考虑:如果key为null,index直接是[0],hash也是0

(3)如果key不为null,在计算index之前,会对key的hashCode()值,做一个hash(key)再次哈希的运算,这样可以使得Entry对象更加散列的存储到table中

(4)计算index = table.length-1 & hash;

(5)如果table[index]下面,已经有映射关系的key与我要添加的新的映射关系的key相同了,会用新的value替换旧的value。

(6)如果没有相同的,会把新的映射关系添加到链表的头,原来table[index]下面的Entry对象连接到新的映射关系的next中。

(7)添加之前先判断if(size >= threshold && table[index]!=null)如果该条件为true,会扩容

if(size >= threshold  &&  table[index]!=null){

	①会扩容

	②会重新计算key的hash

	③会重新计算index

}

(8)size++

1563804039202

2、get(key)

(1)计算key的hash值,用这个方法hash(key)

(2)找index = table.length-1 & hash;

(3)如果table[index]不为空,那么就挨个比较哪个Entry的key与它相同,就返回它的value

3、remove(key)

(1)计算key的hash值,用这个方法hash(key)

(2)找index = table.length-1 & hash;

(3)如果table[index]不为空,那么就挨个比较哪个Entry的key与它相同,就删除它,把它前面的Entry的next的值修改为被删除Entry的next

4.2.4 JDK1.8的put方法源码分析

几个常量和变量:
(1)DEFAULT_INITIAL_CAPACITY:默认的初始容量 162)MAXIMUM_CAPACITY:最大容量  1 << 303)DEFAULT_LOAD_FACTOR:默认加载因子 0.754)TREEIFY_THRESHOLD:默认树化阈值8,当链表的长度达到这个值后,要考虑树化
(5)UNTREEIFY_THRESHOLD:默认反树化阈值6,当树中的结点的个数达到这个阈值后,要考虑变为链表
(6)MIN_TREEIFY_CAPACITY:最小树化容量64
		当单个的链表的结点个数达到8,并且table的长度达到64,才会树化。
		当单个的链表的结点个数达到8,但是table的长度未达到64,会先扩容
(7)Node<K,V>[] table:数组
(8)size:记录有效映射关系的对数,也是Entry对象的个数
(9int threshold:阈值,当size达到阈值时,考虑扩容
(10double loadFactor:加载因子,影响扩容的频率
    public HashMap() {
        this.loadFactor = DEFAULT_LOAD_FACTOR; 
        // all other fields defaulted,其他字段都是默认值
    }
    public V put(K key, V value) {
        return putVal(hash(key), key, value, false, true);
    }
	//目的:干扰hashCode值
    static final int hash(Object key) {
        int h;
		//如果key是null,hash是0
		//如果key非null,用key的hashCode值 与 key的hashCode值高16进行异或
		//		即就是用key的hashCode值高16位与低16位进行了异或的干扰运算
		
		/*
		index = hash & table.length-1
		如果用key的原始的hashCode值  与 table.length-1 进行按位与,那么基本上高16没机会用上。
		这样就会增加冲突的概率,为了降低冲突的概率,把高16位加入到hash信息中。
		*/
        return (key == null) ? 0 : (h = key.hashCode()) ^ (h >>> 16);
    }
    final V putVal(int hash, K key, V value, boolean onlyIfAbsent, boolean evict) {
        Node<K,V>[] tab; //数组
		Node<K,V> p; //一个结点
		int n, i;//n是数组的长度   i是下标
		
		//tab和table等价
		//如果table是空的
        if ((tab = table) == null || (n = tab.length) == 0){
            n = (tab = resize()).length;
            /*
			tab = resize();
			n = tab.length;*/
			/*
			如果table是空的,resize()完成了①创建了一个长度为16的数组②threshold = 12
			n = 16
			*/
        }
		//i = (n - 1) & hash ,下标 = 数组长度-1 & hash
		//p = tab[i] 第1个结点
		//if(p==null) 条件满足的话说明 table[i]还没有元素
		if ((p = tab[i = (n - 1) & hash]) == null){
			//把新的映射关系直接放入table[i]
            tab[i] = newNode(hash, key, value, null);
			//newNode()方法就创建了一个Node类型的新结点,新结点的next是null
        }else {
            Node<K,V> e; 
			K k;
			//p是table[i]中第一个结点
			//if(table[i]的第一个结点与新的映射关系的key重复)
            if (p.hash == hash &&
                ((k = p.key) == key || (key != null && key.equals(k)))){
                e = p;//用e记录这个table[i]的第一个结点
			}else if (p instanceof TreeNode){//如果table[i]第一个结点是一个树结点
                //单独处理树结点
                //如果树结点中,有key重复的,就返回那个重复的结点用e接收,即e!=null
                //如果树结点中,没有key重复的,就把新结点放到树中,并且返回null,即e=null
				e = ((TreeNode<K,V>)p).putTreeVal(this, tab, hash, key, value);
            }else {
				//table[i]的第一个结点不是树结点,也与新的映射关系的key不重复
				//binCount记录了table[i]下面的结点的个数
                for (int binCount = 0; ; ++binCount) {
					//如果p的下一个结点是空的,说明当前的p是最后一个结点
                    if ((e = p.next) == null) {
						//把新的结点连接到table[i]的最后
                        p.next = newNode(hash, key, value, null);
						
						//如果binCount>=8-1,达到7个时
                        if (binCount >= TREEIFY_THRESHOLD - 1){ // -1 for 1st
                            //要么扩容,要么树化
							treeifyBin(tab, hash);
						}
                        break;
                    }
					//如果key重复了,就跳出for循环,此时e结点记录的就是那个key重复的结点
            if (e.hash == hash &&((k = e.key) == key || (key != null && key.equals(k)))){
                        break;
					}
                    p = e;//下一次循环,e=p.next,就类似于e=e.next,往链表下移动
                }
            }
			//如果这个e不是null,说明有key重复,就考虑替换原来的value
            if (e != null) { // existing mapping for key
                V oldValue = e.value;
                if (!onlyIfAbsent || oldValue == null){
                    e.value = value;
				}
                afterNodeAccess(e);//什么也没干
                return oldValue;
            }
        }
        ++modCount;
		
		//元素个数增加
		//size达到阈值
        if (++size > threshold){
            resize();//一旦扩容,重新调整所有映射关系的位置
		}
        afterNodeInsertion(evict);//什么也没干
        return null;
    }	
	
   final Node<K,V>[] resize() {
        Node<K,V>[] oldTab = table;//oldTab原来的table
		//oldCap:原来数组的长度
        int oldCap = (oldTab == null) ? 0 : oldTab.length;
		
		//oldThr:原来的阈值
        int oldThr = threshold;//最开始threshold是0
		
		//newCap,新容量
		//newThr:新阈值
        int newCap, newThr = 0;
        if (oldCap > 0) {//说明原来不是空数组
            if (oldCap >= MAXIMUM_CAPACITY) {//是否达到数组最大限制
                threshold = Integer.MAX_VALUE;
                return oldTab;
            }else if ((newCap = oldCap << 1) < MAXIMUM_CAPACITY &&
                     oldCap >= DEFAULT_INITIAL_CAPACITY){
				//newCap = 旧的容量*2 ,新容量<最大数组容量限制
				//新容量:32,64,...
				//oldCap >= 初始容量16
				//新阈值重新算 = 24,48 ....
                newThr = oldThr << 1; // double threshold
			}
        }else if (oldThr > 0){ // initial capacity was placed in threshold
            newCap = oldThr;
        }else {               // zero initial threshold signifies using defaults
            newCap = DEFAULT_INITIAL_CAPACITY;//新容量是默认初始化容量16
			//新阈值= 默认的加载因子 * 默认的初始化容量 = 0.75*16 = 12
            newThr = (int)(DEFAULT_LOAD_FACTOR * DEFAULT_INITIAL_CAPACITY);
        }
        if (newThr == 0) {
            float ft = (float)newCap * loadFactor;
            newThr = (newCap < MAXIMUM_CAPACITY && ft < (float)MAXIMUM_CAPACITY ?
                      (int)ft : Integer.MAX_VALUE);
        }
        threshold = newThr;//阈值赋值为新阈值12,24.。。。
		
		//创建了一个新数组,长度为newCap,16,32,64.。。
        @SuppressWarnings({"rawtypes","unchecked"})
            Node<K,V>[] newTab = (Node<K,V>[])new Node[newCap];
        table = newTab;
		
		
        if (oldTab != null) {//原来不是空数组
			//把原来的table中映射关系,倒腾到新的table中
            for (int j = 0; j < oldCap; ++j) {
                Node<K,V> e;
                if ((e = oldTab[j]) != null) {//e是table下面的结点
                    oldTab[j] = null;//把旧的table[j]位置清空
                    if (e.next == null)//如果是最后一个结点
                        newTab[e.hash & (newCap - 1)] = e;//重新计算e的在新table中的存储位置,然后放入
                    else if (e instanceof TreeNode)//如果e是树结点
						//把原来的树拆解,放到新的table
                        ((TreeNode<K,V>)e).split(this, newTab, j, oldCap);
                    else { // preserve order
                        Node<K,V> loHead = null, loTail = null;
                        Node<K,V> hiHead = null, hiTail = null;
                        Node<K,V> next;
						/*
						把原来table[i]下面的整个链表,重新挪到了新的table中
						*/
                        do {
                            next = e.next;
                            if ((e.hash & oldCap) == 0) {
                                if (loTail == null)
                                    loHead = e;
                                else
                                    loTail.next = e;
                                loTail = e;
                            }
                            else {
                                if (hiTail == null)
                                    hiHead = e;
                                else
                                    hiTail.next = e;
                                hiTail = e;
                            }
                        } while ((e = next) != null);
                        if (loTail != null) {
                            loTail.next = null;
                            newTab[j] = loHead;
                        }
                        if (hiTail != null) {
                            hiTail.next = null;
                            newTab[j + oldCap] = hiHead;
                        }
                    }
                }
            }
        }
        return newTab;
    }	
	
    Node<K,V> newNode(int hash, K key, V value, Node<K,V> next) {
		//创建一个新结点
	   return new Node<>(hash, key, value, next);
    }

    final void treeifyBin(Node<K,V>[] tab, int hash) {
        int n, index; 
		Node<K,V> e;
		//MIN_TREEIFY_CAPACITY:最小树化容量64
		//如果table是空的,或者  table的长度没有达到64
        if (tab == null || (n = tab.length) < MIN_TREEIFY_CAPACITY)
            resize();//先扩容
        else if ((e = tab[index = (n - 1) & hash]) != null) {
			//用e记录table[index]的结点的地址
            TreeNode<K,V> hd = null, tl = null;
			/*
			do...while,把table[index]链表的Node结点变为TreeNode类型的结点
			*/
            do {
                TreeNode<K,V> p = replacementTreeNode(e, null);
                if (tl == null)
                    hd = p;//hd记录根结点
                else {
                    p.prev = tl;
                    tl.next = p;
                }
                tl = p;
            } while ((e = e.next) != null);
			
            //如果table[index]下面不是空
            if ((tab[index] = hd) != null)
                hd.treeify(tab);//将table[index]下面的链表进行树化
        }
    }	

1、添加过程

A. 先计算key的hash值,如果key是null,hash值就是0,如果为null,使用(h = key.hashCode()) ^ (h >>> 16)得到hash值;

B. 如果table是空的,先初始化table数组;

C. 通过hash值计算存储的索引位置index = hash & (table.length-1)

D. 如果table[index]==null,那么直接创建一个Node结点存储到table[index]中即可

E. 如果table[index]!=null

​ a) 判断table[index]的根结点的key是否与新的key“相同”(hash值相同并且(满足key的地址相同或key的equals返回true)),如果是那么用e记录这个根结点

​ b) 如果table[index]的根结点的key与新的key“不相同”,而且table[index]是一个TreeNode结点,说明table[index]下是一棵红黑树,如果该树的某个结点的key与新的key“相同”(hash值相同并且(满足key的地址相同或key的equals返回true)),那么用e记录这个相同的结点,否则将(key,value)封装为一个TreeNode结点,连接到红黑树中

​ c) 如果table[index]的根结点的key与新的key“不相同”,并且table[index]不是一个TreeNode结点,说明table[index]下是一个链表,如果该链表中的某个结点的key与新的key“相同”,那么用e记录这个相同的结点,否则将新的映射关系封装为一个Node结点直接链接到链表尾部,并且判断table[index]下结点个数达到TREEIFY_THRESHOLD(8)个,如果table[index]下结点个数已经达到,那么再判断table.length是否达到MIN_TREEIFY_CAPACITY(64),如果没达到,那么先扩容,扩容会导致所有元素重新计算index,并调整位置,如果table[index]下结点个数已经达到TREEIFY_THRESHOLD(8)个并table.length也已经达到MIN_TREEIFY_CAPACITY(64),那么会将该链表转成一棵自平衡的红黑树。

F. 如果在table[index]下找到了新的key“相同”的结点,即e不为空,那么用新的value替换原来的value,并返回旧的value,结束put方法

G. 如果新增结点而不是替换,那么size++,并且还要重新判断size是否达到threshold阈值,如果达到,还要扩容。

if(size > threshold ){
	①会扩容

	②会重新计算key的hash

	③会重新计算index

}

2、remove(key)

(1)计算key的hash值,用这个方法hash(key)

(2)找index = table.length-1 & hash;

(3)如果table[index]不为空,那么就挨个比较哪个Entry的key与它相同,就删除它,把它前面的Entry的next的值修改为被删除Entry的next

(4)如果table[index]下面原来是红黑树,结点删除后,个数小于等于6,会把红黑树变为链表

4.2.5 关于映射关系的key是否可以修改?

映射关系存储到HashMap中会存储key的hash值,这样就不用在每次查找时重新计算每一个Entry或Node(TreeNode)的hash值了,因此如果已经put到Map中的映射关系,再修改key的属性,而这个属性又参与hashcode值的计算,那么会导致匹配不上。

这个规则也同样适用于LinkedHashMap、HashSet、LinkedHashSet、Hashtable等所有散列存储结构的集合。

JDK1.7:

public class HashMap<K,V>{
    transient Entry<K,V>[] table = (Entry<K,V>[]) EMPTY_TABLE;
    static class Entry<K,V> implements Map.Entry<K,V> {
            final K key;
            V value;
            Entry<K,V> next;
            int hash; //记录Entry映射关系的key的hash(key.hashCode())值
            //...省略
    }
    //...
}

JDK1.8:

public class HashMap<K,V>{
    transient Node<K,V>[] table;
    static class Node<K,V> implements Map.Entry<K,V> {
            final int hash;//记录Node映射关系的key的hash(key.hashCode())值
            final K key;
            V value;
            Node<K,V> next;
            //...省略
    }
    //....
}

示例代码:

package com.atguigu.map;

public class ID{
    private int id;

    public ID(int id) {
        super();
        this.id = id;
    }

    @Override
    public int hashCode() {
        final int prime = 31;
        int result = 1;
        result = prime * result + id;
        return result;
    }

    @Override
    public boolean equals(Object obj) {
        if (this == obj)
            return true;
        if (obj == null)
            return false;
        if (getClass() != obj.getClass())
            return false;
        ID other = (ID) obj;
        if (id != other.id)
            return false;
        return true;
    }

    public int getId() {
        return id;
    }

    public void setId(int id) {
        this.id = id;
    }

}
package com.atguigu.map;

import java.util.HashMap;

public class TestHashMapID{
    public static void main(String[] args) {
        HashMap<ID,String> map = new HashMap<>();
        ID i1 = new ID(1);
        ID i2 = new ID(2);
        ID i3 = new ID(3);

        map.put(i1, "haha");
        map.put(i2, "hehe");
        map.put(i3, "xixi");

        System.out.println(map.get(i1));//haha
        i1.setId(10);
        System.out.println(map.get(i1));//null
    }
}


所以实际开发中,经常选用String,Integer等作为key,因为它们都是不可变对象。

4.3 二叉树了解

4.3.1 二叉树的基本概念

二叉树(Binary tree)是树形结构的一个重要类型。二叉树特点是每个结点最多只能有两棵子树,且有左右之分。许多实际问题抽象出来的数据结构往往是二叉树形式,二叉树的存储结构及其算法都较为简单,因此二叉树显得特别重要。

1563449427345

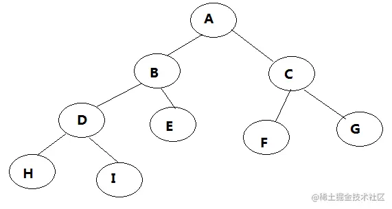
4.3.2 二叉树的遍历

  • 前序遍历:中左右(根左右)
  • 中序遍历:左中右(左根右)
  • 后序遍历:左右中(左右根)

1574575739236

前序遍历:ABDHIECFG

中序遍历:HDIBEAFCG

后序遍历:HIDEBFGCA

4.3.3 经典二叉树

1、满二叉树: 除最后一层无任何子节点外,每一层上的所有结点都有两个子结点的二叉树。 第n层的结点数是2的n-1次方,总的结点个数是2的n次方-1

1574575163883

2、完全二叉树: 叶结点只能出现在最底层的两层,且最底层叶结点均处于次底层叶结点的左侧。

1574575180247

3、平衡二叉树:平衡二叉树(Self-balancing binary search tree)又被称为AVL树(有别于AVL算法),且具有以下性质:它是一 棵空树或它的左右两个子树的高度差的绝对值不超过1,并且左右两个子树都是一棵平衡二叉树, 但不要求非叶节点都有两个子结点 。平衡二叉树的常用实现方法有红黑树、AVL、替罪羊树、Treap、伸展树等。例如红黑树的要求:

  • 节点是红色或者黑色

  • 根节点是黑色

  • 每个叶子的节点都是黑色的空节点(NULL)

  • 每个红色节点的两个子节点都是黑色的。

  • 从任意节点到其每个叶子的所有路径都包含相同的黑色节点数量。

当我们插入或删除节点时,可能会破坏已有的红黑树,使得它不满足以上5个要求,那么此时就需要进行处理:

1、recolor :将某个节点变红或变黑

2、rotation :将红黑树某些结点分支进行旋转(左旋或右旋)

使得它继续满足以上以上的5个要求。

例如:插入了结点21之后,红黑树处理成:

4.3.4 二叉树及其结点的表示

普通二叉树:

public class BinaryTree<E>{
    private TreeNode root; //二叉树的根结点
    private int total;//结点总个数
    
    private class TreeNode{
        //至少有以下几个部分
        TreeNode parent;
        TreeNode left;
        E data;
        TreeNode right;
        
        public TreeNode(TreeNode parent, TreeNode left, E data, TreeNode right) {
            this.parent = parent;
            this.left = left;
            this.data = data;
            this.right = right;
        }
	}
}

TreeMap红黑树:

public class TreeMap<K,V> {
    private transient Entry<K,V> root;
    private transient int size = 0;
    
	static final class Entry<K,V> implements Map.Entry<K,V> {
        K key;
        V value;
        Entry<K,V> left;
        Entry<K,V> right;
        Entry<K,V> parent;
        boolean color = BLACK;

        /**
         * Make a new cell with given key, value, and parent, and with
         * {@code null} child links, and BLACK color.
         */
        Entry(K key, V value, Entry<K,V> parent) {
            this.key = key;
            this.value = value;
            this.parent = parent;
        }
    }
}