通过快慢指针判断链表是否有环

1,458 阅读2分钟

一起养成写作习惯!这是我参与「掘金日新计划 · 4 月更文挑战」的第15天,点击查看活动详情

题目描述

给你一个链表的头节点 head ,判断链表中是否有环。

如果链表中有某个节点,可以通过连续跟踪 next 指针再次到达,则链表中存在环。 为了表示给定链表中的环,评测系统内部使用整数 pos 来表示链表尾连接到链表中的位置(索引从 0 开始)。注意:pos 不作为参数进行传递 。仅仅是为了标识链表的实际情况。

如果链表中存在环 ,则返回 true 。 否则,返回 false

示例

image.png

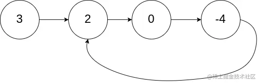
输入: head = [3,2,0,-4], pos = 1
输出: true
解释: 链表中有一个环,其尾部连接到第二个节点。

image.png

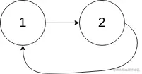
输入: head = [1,2], pos = 0
输出: true
解释: 链表中有一个环,其尾部连接到第一个节点。

image.png

输入: head = [1], pos = -1
输出: false
解释: 链表中没有环。

提示

  • 链表中节点的数目范围是 【0, 104^4
  • -105^5 <= Node.val <= 105^5
  • pos 为 -1 或者链表中的一个 有效索引 。

双指针

想要判断一个链表是否有环,我们可以通过定义快慢指针,通过指针的移动,来找到形成环的那个节点。

步骤:

  1. 边界判断
  2. 定义快慢指针,快指针每次移动两格,慢指针每次移动一个
  3. 不断循环,直到快指针为空或者找到形成环的节点
  4. 返回结果

1.gif

2.gif

public class Solution {
    public boolean hasCycle(ListNode head) {
        // 边界判断
        if(head == null || head.next == null){
            return false;
        }

        // 快慢指针
        ListNode slow = head;
        ListNode fast = head.next;

        // 将快指针作为终止条件,当该链表不为环时停止本次循环
        while(fast != null && fast.next != null){
            // 命中目标,返回结果
            if(slow == fast){
                return true;
            }
            
            // 移动指针
            slow = slow.next;
            fast = fast.next.next;
        }

        // 不为环
        return false;
    }
}