LeetCode刷题挑战-javascript:160.相交链表

111 阅读2分钟

R-C.jpeg

「一起养成写作习惯!这是我参与「掘金日新计划 · 4 月更文挑战」的第2天,点击查看活动详情。」

题目

给你两个单链表的头节点 headA 和 headB ,请你找出并返回两个单链表相交的起始节点。如果两个链表不存在相交节点,返回 null 。

图示两个链表在节点 c1 开始相交:

image.png

题目数据 保证 整个链式结构中不存在环。

注意,函数返回结果后,链表必须 保持其原始结构

自定义评测:

评测系统 的输入如下(你设计的程序 不适用 此输入):

  • intersectVal - 相交的起始节点的值。如果不存在相交节点,这一值为 0
  • listA - 第一个链表
  • listB - 第二个链表
  • skipA - 在 listA 中(从头节点开始)跳到交叉节点的节点数
  • skipB - 在 listB 中(从头节点开始)跳到交叉节点的节点数 评测系统将根据这些输入创建链式数据结构,并将两个头节点 headA 和 headB 传递给你的程序。如果程序能够正确返回相交节点,那么你的解决方案将被 视作正确答案

 

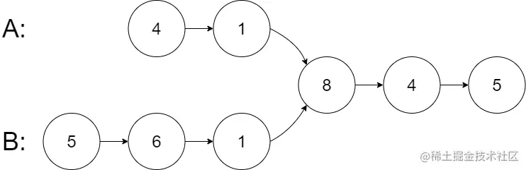
示例 1:

image.png

输入:intersectVal = 8, listA = [4,1,8,4,5], listB = [5,6,1,8,4,5], skipA = 2, skipB = 3

输出:Intersected at '8'

解释:相交节点的值为 8 (注意,如果两个链表相交则不能为 0)。

从各自的表头开始算起,链表 A 为 [4,1,8,4,5],链表 B 为 [5,6,1,8,4,5]。

在 A 中,相交节点前有 2 个节点;在 B 中,相交节点前有 3 个节点。

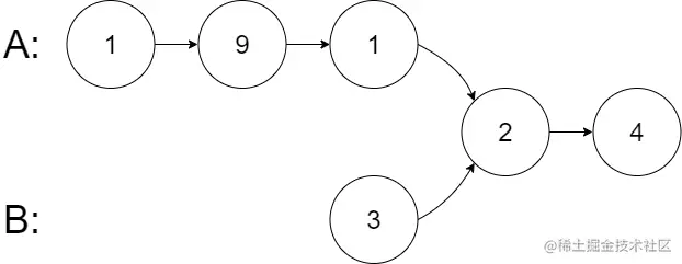
示例 2:

image.png

输入:intersectVal = 2, listA = [1,9,1,2,4], listB = [3,2,4], skipA = 3, skipB = 1

输出:Intersected at '2'

解释:相交节点的值为 2 (注意,如果两个链表相交则不能为 0)。

从各自的表头开始算起,链表 A 为 [1,9,1,2,4],链表 B 为 [3,2,4]。

在 A 中,相交节点前有 3 个节点;在 B 中,相交节点前有 1 个节点。

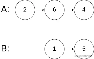
示例 3:

image.png

输入:intersectVal = 0, listA = [2,6,4], listB = [1,5], skipA = 3, skipB = 2

输出:null

解释:从各自的表头开始算起,链表 A 为 [2,6,4],链表 B 为 [1,5]。

由于这两个链表不相交,所以 intersectVal 必须为 0,而 skipA 和 skipB 可以是任意值。

这两个链表不相交,因此返回 null 。  

提示:

  • listA 中节点数目为 m

  • listB 中节点数目为 n

  • 1 <= m, n <= 3 * 104

  • 1 <= Node.val <= 105

  • 0 <= skipA <= m

  • 0 <= skipB <= n

  • 如果 listA 和 listB 没有交点,intersectVal 为 0

  • 如果 listA 和 listB 有交点,intersectVal == listA[skipA] == listB[skipB]  

进阶:你能否设计一个时间复杂度 O(m + n) 、仅用 O(1) 内存的解决方案?

解题思路

方法一:哈希集合

判断两个链表是否相交,可以使用哈希集合存储链表节点。

首先遍历链表 headA,并将链表 headA 中的每个节点加入哈希集合中。然后遍历链表 headB,对于遍历到的每个节点,判断该节点是否在哈希集合中:

如果当前节点不在哈希集合中,则继续遍历下一个节点;

如果当前节点在哈希集合中,则后面的节点都在哈希集合中,即从当前节点开始的所有节点都在两个链表的相交部分,因此在链表 headB 中遍历到的第一个在哈希集合中的节点就是两个链表相交的节点,返回该节点。

如果链表 headB 中的所有节点都不在哈希集合中,则两个链表不相交,返回 null。

var getIntersectionNode = function(headA, headB) {
    const visited = new Set();
    let temp = headA;
    while (temp !== null) {
        visited.add(temp);
        temp = temp.next;
    }
    temp = headB;
    while (temp !== null) {
        if (visited.has(temp)) {
            return temp;
        }
        temp = temp.next;
    }
    return null;
};

复杂度分析

  • 时间复杂度:O(m+n),其中 m 和 n 是分别是链表 headA 和 headB 的长度。需要遍历两个链表各一次。

  • 空间复杂度:O(m),其中 m 是链表 headA 的长度。需要使用哈希集合存储链表 headA 中的全部节点。

方法二:双指针

使用双指针的方法,可以将空间复杂度降至 O(1)。

只有当链表 headA 和 headB 都不为空时,两个链表才可能相交。因此首先判断链表 headA 和 headB 是否为空,如果其中至少有一个链表为空,则两个链表一定不相交,返回 null。

当链表 headA 和 headB 都不为空时,创建两个指针 pA 和 pB,初始时分别指向两个链表的头节点 headA 和 headB,然后将两个指针依次遍历两个链表的每个节点。

var getIntersectionNode = function(headA, headB) {
    if (headA === null || headB === null) {
        return null;
    }
    let pA = headA, pB = headB;
    while (pA !== pB) {
        pA = pA === null ? headB : pA.next;
        pB = pB === null ? headA : pB.next;
    }
    return pA;
};

复杂度分析

  • 时间复杂度:O(m+n),其中 m 和 n 是分别是链表 headA 和 headB 的长度。两个指针同时遍历两个链表,每个指针遍历两个链表各一次。

  • 空间复杂度:O(1)。

结束语

这里是小葵🌻,只要把心朝着太阳的地方,就会有温暖~

让我们一起来攻克算法难关吧!!