补上次博文后半部分(深度遍历还有代码)

104 阅读3分钟

本文已参与「新人创作礼」活动,一起开启掘金创作之路

上一篇博文为大家讲述了图的遍历的定义还有广度遍历,这一篇就把深度遍历和两种遍历的代码给大家补上来


1、深度遍历

(5条消息) 深度/广度优先遍历_ankoye的博客-CSDN博客

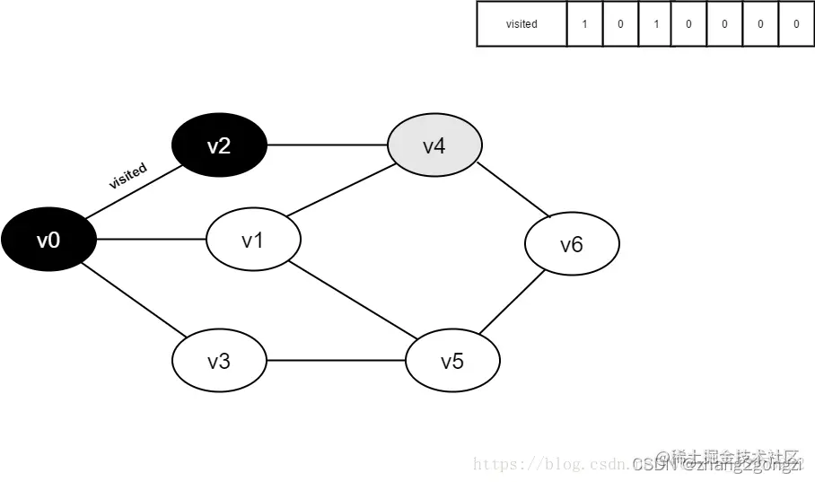
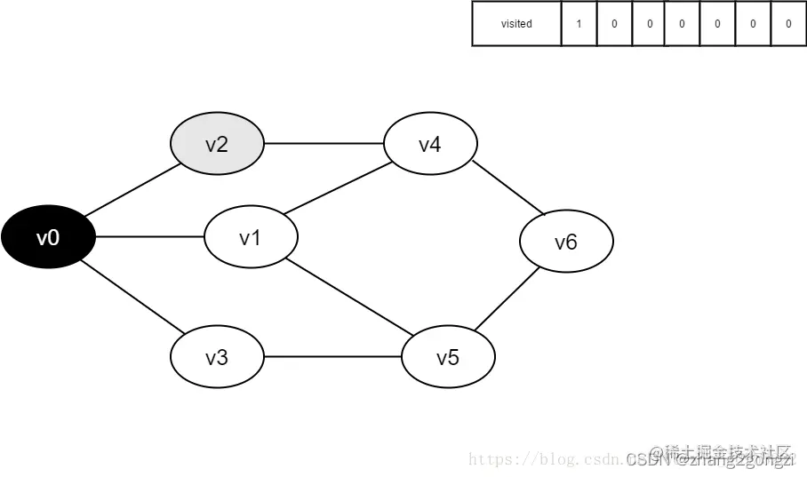
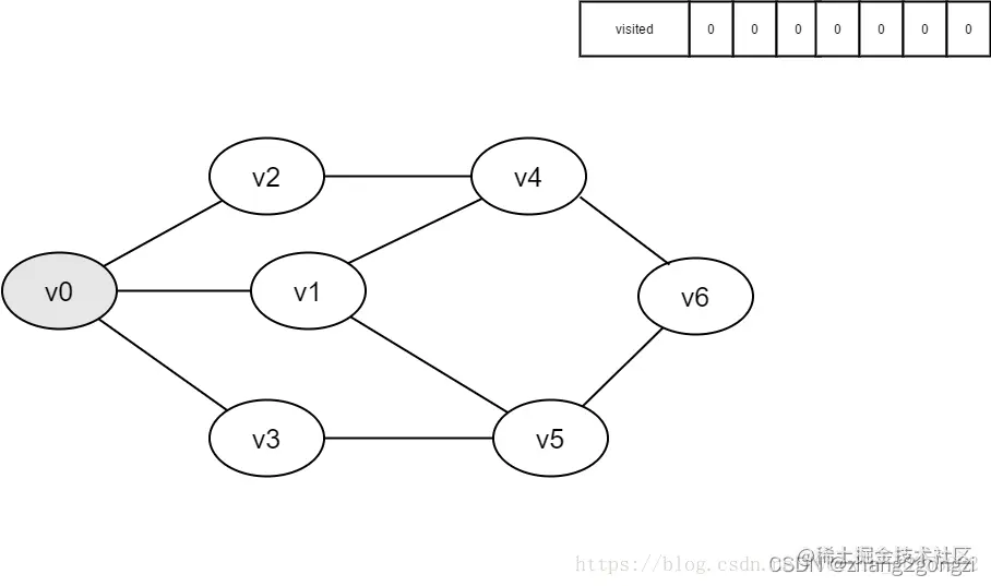
这里的话,我借鉴了一下大佬的图,因为我觉得大佬这几张动画图,真的很棒,就我看的话,还是挺清楚的 首先时算法思路部分 深度优先搜索类似于树的先序遍历,具体过程如下:

准备工作:创建一个visited数组,用于记录所有被访问过的顶点。

1.从图中v0出发,访问v0。

2.找出v0的第一个未被访问的邻接点,访问该顶点。以该顶点为新顶点,重复此步骤,直至刚访问过的顶点没有未被访问的邻接点为止。

3.返回前一个访问过的仍有未被访问邻接点的顶点,继续访问该顶点的下一个未被访问领接点。

4.重复2,3步骤,直至所有顶点均被访问,搜索结束。 image.png

image.png

image.png

image.png

image.png

image.png

image.png

image.png

image.png

image.png

image.png

image.png

2、代码部分(代码包含深度遍历和广度遍历)

#include<stdlib.h>
#define max 20
typedef struct EdgeNode//边表结点 
{   int adjvex;        //存储顶点对应的下标   存储的是一个位置,而非具体元素,为了以后改变数据方便操作 
	struct EdgeNode *next;//链域指向下一个邻接点 
	int weight;      //权值(问题中有权值再用) 
}EdgeNode;
typedef struct VertexNode//顶点表结点 
{	char data;//存放顶点信息 
	EdgeNode *firstedge;//指向边表中第一个结点 
}VertexNode;
typedef struct
{	VertexNode adjlist[20];
	int n,e;
}GraphAdjlist;//声明图的邻接表类型 
int visited[10];//访问标志数组 (访问过赋值为1,反之为0) 

void create(GraphAdjlist *G)//创建邻接表 
{	int i,j,k;
	EdgeNode *e;
	printf("请输入顶点数和边数:");
	scanf("%d%d",&G->n,&G->e);
	getchar();//清除缓冲 
	printf("请输入顶点边号:\n");
	for(i=0;i<G->n;i++)
	{   scanf("%c",&G->adjlist[i].data);//输入顶点编号
		G->adjlist[i].firstedge=NULL;//将边表置空 
		getchar(); 
	}
	for(k=0;k<G->e;k++)
	{   printf("输入边(Vi,Vj)上的顶点序号:\n");
		scanf("%d%d",&i,&j);//头插法方便,快速   如果用尾插法需要指针遍历到尾部,太慢 
		/*使用头插法加入边表结点*/
		e=(EdgeNode *)malloc(sizeof(EdgeNode));
		e->adjvex=j;
		e->next=G->adjlist[i].firstedge; 
		G->adjlist[i].firstedge=e;
		
		e=(EdgeNode *)malloc(sizeof(EdgeNode));//因为是无向图,一条边对应两个顶点 
		e->adjvex=i;
		e->next=G->adjlist[j].firstedge; 
		G->adjlist[j].firstedge=e;	
	 } 
	printf("\n");
}
void DFS(GraphAdjlist *G,int i)
{	EdgeNode *p;
	visited[i]=1;
	printf("%c ",G->adjlist[i].data);
	p=G->adjlist[i].firstedge;
	while(p!=NULL)
	{	if(visited[p->adjvex]==0)
		  DFS(G,p->adjvex);
		p=p->next;
	}
}
void DFSTraverse(GraphAdjlist *G)
{	int i;
	for(i=0;i<G->n;i++)
	  visited[i]=0;
	for(i=0;i<G->n;i++)
	  if(visited[i]==0)
	    DFS(G,i);
}
void BFS(GraphAdjlist *G,int v)
{	EdgeNode *p;
	int queue[max],front=0,rear=0;//定义循环队列并初始化 
	int w,i;
	for(i=0;i<G->n;i++)//标志数组初始化 
	    visited[i]=0;
	printf("%2c",G->adjlist[v].data);
	visited[v]=1;
	rear=(rear+1)%max;
	queue[rear]=v;
	while(front!=rear)
	{	front=(front+1)%max;
		w=queue[front];
		p=G->adjlist[w].firstedge;
		while(p!=NULL)
		{	if(visited[p->adjvex]==0)
			{	printf("%2c",G->adjlist[p->adjvex].data);
				visited[p->adjvex]=1;
				rear=(rear+1)%max;
				queue[rear]=p->adjvex;
			}
			p=p->next;
		}
	}
	printf("\n");
}
int main()//A B C D E
{	GraphAdjlist G;
	create(&G);
	printf("深度优先遍历:");
	DFSTraverse(&G);
		printf("广度优先遍历:");
	BFS(&G,0); 
	return 0;
}