动态规划:343.整数拆分 中等

141 阅读2分钟

题目描述

343.整数拆分
给定一个正整数 n ,将其拆分为 k 个 正整数 的和( k >= 2 ),并使这些整数的乘积最大化。
返回 你可以获得的最大乘积

示例 1:

输入: n = 2  
输出: 1  
解释: 2 = 1 + 1, 1 × 1 = 1

示例 2:

输入: n = 10  
输出: 36  
解释: 10 = 3 + 3 + 4, 3 × 3 × 4 = 36

提示

2 <= n <= 58

思路1 动态规划

23
[1,1]=1不拆分:j=1,i=2,1*2
拆分:j=1,dp[2]=1,1*1

dp[n]:最大乘积
i: 被拆分的数字,从3开始,因为n>=2
j: 拆分的次数,从1开始

  1. 确定dp[n]为拆分数字n可以获得的最大乘积,这个一定要想明白
  2. 获取dp[n]有两种路径,j是拆分出的第一个正整数,则剩下的部分是 n-jn−j 可以不继续拆分,或者继续拆分成至少两个正整数的和
  • i 拆分成 ji-j 的和,且 i-j 不再拆分成多个正整数,此时的乘积是 j*(i−j)
  • i 拆分成 ji-j 的和,且 i-j 继续拆分成多个正整数,此时的乘积是 j*dp[i−j]
    为什么不需要dp[j]j是从1开始遍历的,所以j其实已经背地里拆分过了
    j * (i - j) 是单纯的把整数拆分为两个数相乘,而j * dp[i - j]是拆分成两个以及两个以上的个数相乘。
    所以可以推出递推公式为: dp[i] = Math.max(dp[i], j*(i-j), j*dp[i-j])
  1. 初始化dp0,1都是无意义的,dp[2]=1,外层直接从3开始遍历,内层从1开始遍历,把dp[i]j*(i-j)j*dp[i-j]取最大值,更新dp[i]
n=10
[0, 0,  1,  2,  0, 0, 0, 0,  0,  0,   0]
[0, 0,  1,  2,  4, 0, 0, 0,  0,  0,   0]
[0, 0,  1,  2,  4, 6, 0, 0,  0,  0,   0]
[0, 0,  1,  2,  4, 6, 9, 0,  0,  0,   0]
[0, 0,  1,  2,  4, 6, 9, 12, 0,  0,   0]
[0, 0,  1,  2,  4, 6, 9, 12, 18, 0,   0]
[0, 0,  1,  2,  4, 6, 9, 12, 18, 27,  0]
[0, 0,  1,  2,  4, 6, 9, 12, 18, 27,  36]

题解1

var integerBreak = function(n) {
    let dp = Array(n+1).fill(0)
    dp[2]=1
    for(let i=3;i<=n;i++){
        for(let j=1;j<i-j;j++){
            dp[i] = Math.max(dp[i], j*(i-j), j*dp[i-j])
        }
    }
    return dp[n]
}

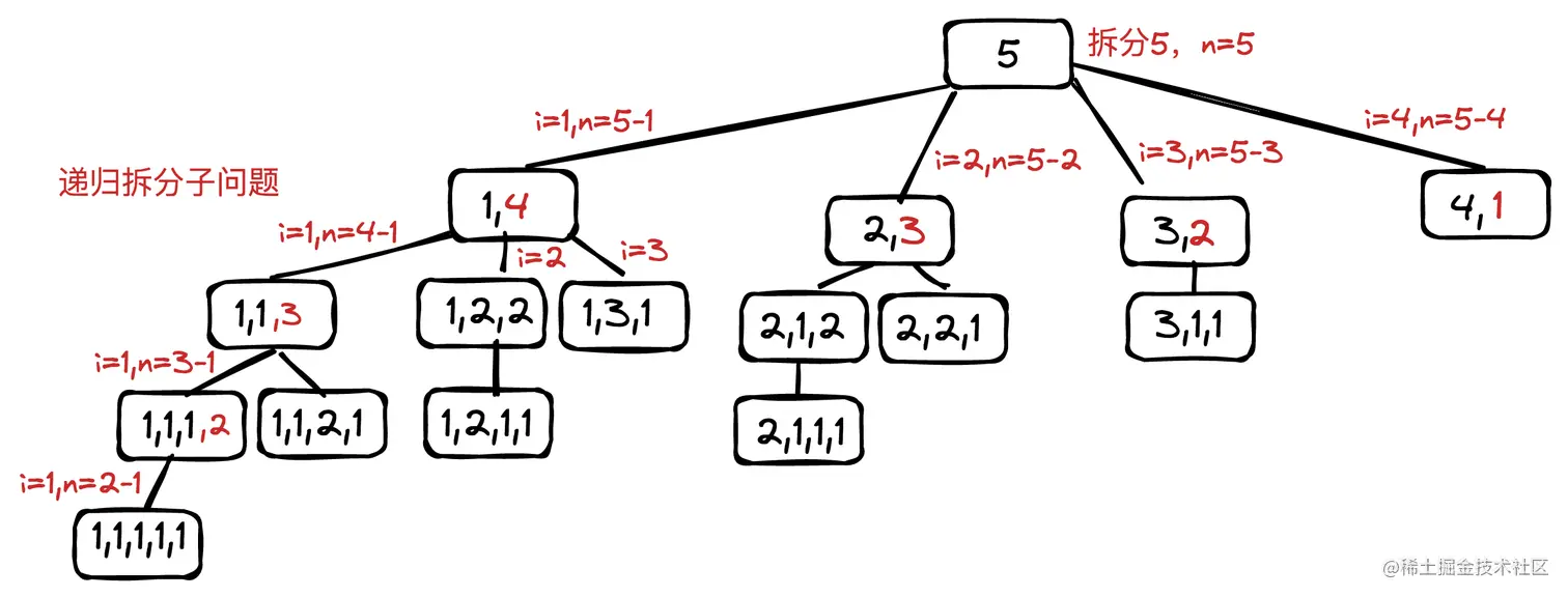
思路2 递归

对于数字n,它可以拆分成1到n-1n-1可以选择拆或者不拆,如果拆分,即递归拆分n-1
不拆的乘积为i*(n-i),拆的为i*dfs(n-1),取最大值即可

343.png

题解2

var integerBreak = function(n){
    if(n<3){
        return n-1
    }
    let path = [] // 记录已拆分的数字,避免重复计算
    let dfs = (n)=>{
        if(path[n]) return path[n]
        let res = 0
        for(let i=1;i<n;i++){
            res = Math.max(res, i*(n-i), i*dfs(n-1))
        }
        return path[n] = res
    }
    return dfs(n)
}