剑指offer day15 搜索与回溯算法(中等)

133 阅读4分钟

day15题目:剑指 Offer 34. 二叉树中和为某一值的路径剑指 Offer 36. 二叉搜索树与双向链表剑指 Offer 54. 二叉搜索树的第k大节点

知识点:树、深搜、栈,难度为中等、中等、简单

学习计划链接:「剑指 Offer」 - 学习计划

题目知识点难度
剑指 Offer 34. 二叉树中和为某一值的路径深度优先搜索回溯二叉树中等
剑指 Offer 36. 二叉搜索树与双向链表深度优先搜索中等
剑指 Offer 54. 二叉搜索树的第k大节点深度优先搜索二叉搜索树简单

剑指 Offer 34. 二叉树中和为某一值的路径

给你二叉树的根节点 root 和一个整数目标和 targetSum ,找出所有 从根节点到叶子节点 路径总和等于给定目标和的路径。

叶子节点 是指没有子节点的节点。

示例 1:

输入: root = [5,4,8,11,null,13,4,7,2,null,null,5,1], targetSum = 22
输出: [[5,4,11,2],[5,8,4,5]]

示例 2:

输入: root = [1,2,3], targetSum = 5
输出: []

示例 3:

输入: root = [1,2], targetSum = 0
输出: []

提示:

  • 树中节点总数在范围 [0, 5000] 内
  • -1000 <= Node.val <= 1000
  • -1000 <= targetSum <= 1000

注意:本题与主站 113 题相同:leetcode-cn.com/problems/pa…

思路

d!都可以d!

通过dfs,每次传递当前结点和路径和

/**
 * @param {TreeNode} root
 * @param {number} target
 * @return {number[][]}
 */
var pathSum = function(root, target) {
    if(!root) return []
    let res = []
    let path = []
    function dfs(rt, sum) {
        if(!rt) return 
        if(!rt.left && !rt.right) { // 为叶子节点了
            if(rt.val+sum === target) 
                res.push(path.concat(rt.val))
            return 
        } else if(rt.left && rt.right) { // 为非叶子节点
            path.push(rt.val)
            dfs(rt.left, sum+rt.val)
            dfs(rt.right, sum+rt.val)
            path.pop()
        } else if(rt.left) { // 为左子树
            path.push(rt.val)
            dfs(rt.left, sum+rt.val)
            path.pop()
        } else { // 为右子树
            path.push(rt.val)
            dfs(rt.right, sum+rt.val)
            path.pop()
        }
    }
    dfs(root, 0)
    return res
};

剑指 Offer 36. 二叉搜索树与双向链表

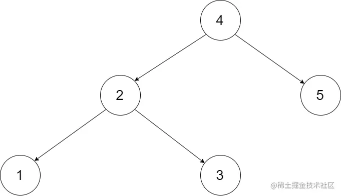
输入一棵二叉搜索树,将该二叉搜索树转换成一个排序的循环双向链表。要求不能创建任何新的节点,只能调整树中节点指针的指向。

为了让您更好地理解问题,以下面的二叉搜索树为例:

我们希望将这个二叉搜索树转化为双向循环链表。链表中的每个节点都有一个前驱和后继指针。对于双向循环链表,第一个节点的前驱是最后一个节点,最后一个节点的后继是第一个节点。

下图展示了上面的二叉搜索树转化成的链表。“head” 表示指向链表中有最小元素的节点。

特别地,我们希望可以就地完成转换操作。当转化完成以后,树中节点的左指针需要指向前驱,树中节点的右指针需要指向后继。还需要返回链表中的第一个节点的指针。

注意: 本题与主站 426 题相同:leetcode-cn.com/problems/co…

注意: 此题对比原题有改动。

思路

题目要求节点应从小到大排序,而二叉搜索树的中序遍历是递增的,故中序遍历的同时构建相邻节点的引用关系,注意的是prev和head一开始都为null,直到找到第一个节点时head才被置为第一个结点,然后将prev置为当前节点。所以dfs完后还需进行尾部与头节点的一个连接

/**
 * @param {Node} root
 * @return {Node}
 */
var treeToDoublyList = function(root) { // 左前右后
    if(!root) return null
    let [head, prev] = [null, null]
    function dfs(rt) {
        if(!rt) return
        dfs(rt.left)
        if(prev) prev.right = rt    // 前结点的右结点指向当前结点
        else head = rt
        rt.left = prev              // 当前结点的前指针指向前结点
        prev = rt
        dfs(rt.right)
    }
    dfs(root)
    head.left = prev
    prev.right = head
    return head
};

剑指 Offer 54. 二叉搜索树的第k大节点

给定一棵二叉搜索树,请找出其中第 k 大的节点的值。

示例 1:

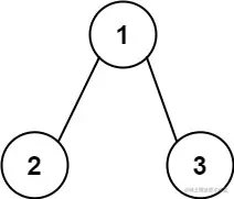
输入: root = [3,1,4,null,2], k = 1
   3
  / \
 1   4
  \
   2
输出: 4

示例 2:

输入: root = [5,3,6,2,4,null,null,1], k = 3
       5
      / \
     3   6
    / \
   2   4
  /
 1
输出: 4

限制:

  • 1 ≤ k ≤ 二叉搜索树元素个数

思路

上题也说了,二叉搜索树中序遍历是递增的,而先访问右侧结点的话,右中左则是递减的,因此取k个就好了。

/**
 * @param {TreeNode} root
 * @param {number} k
 * @return {number}
 */
var kthLargest = function(root, k) {
    let [cnt, res] = [0, 0];
    function dfs(rt) {
        if(!rt) return
        dfs(rt.right)
        if(++cnt === k) {
            res = rt.val
            return
        }
        dfs(rt.left)
    }
    dfs(root)
    return res
};