朴素贝叶斯模型

863 阅读5分钟

一、算法原理

贝叶斯分类是机器学习中应用极为广泛的分类算法之一,其产生自英国数学家贝叶斯对于逆概问题的思考。朴素贝叶斯是贝叶斯模型当中最简单的一种,其算法核心为如下所示的贝叶斯公式。

image.png

其中P(A)为事件A发生的概率,P(B)为事件B发生的概率,P(A|B)表示在事件B发生的条件下事件A发生的概率,同理P(B|A)则表示在事件A发生的条件下事件B发生的概率。

举一个简单的例子:已知冬季一个人感冒(事件A)的概率P(A)为40%,一个人打喷嚏(事件B)的概率P(B)为80%,一个人感冒时打喷嚏的概率P(B|A)为100%,那么如果一个人开始打喷嚏,他感冒的概率P(A|B)为多少?求解过程如下。

image.png

二、一维贝叶斯模型

下面通过一个详细的例子来讲解贝叶斯模型的实战应用:如何判断一个人是否感冒。假设已经有5组样本数据,见下表。

image.png

为方便演示,这里只选取了一个特征变量“打喷嚏(X1)”,其值为1表示打喷嚏,为0表示不打喷嚏;目标变量是“感冒(Y)”,其值为1表示感冒,为0表示未感冒。

现在要根据上述数据,利用贝叶斯公式预测一个人是否感冒。例如,一个人打喷嚏了(X1=1),那么他是否感冒了呢?这个问题实际上是要预测他感冒的概率P(Y|X1)。将特征变量和目标变量代入贝叶斯公式,可获得如下所示的计算公式。

image.png

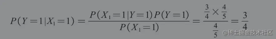
根据上述数据,可以计算在打喷嚏(X1=1)的条件下,感冒(Y=1)的概率,计算过程如下。

image.png

其中P(X1=1|Y=1)为在感冒的条件下打喷嚏的概率,这里感冒的4个样本中有3个样本打喷嚏,所以该概率为3/4;P(Y=1)为所有样本中感冒的概率,这里5个样本中有4个样本感冒,所以该概率为4/5;P(X1=1)为所有样本中打喷嚏的概率,这里5个样本中有4个样本打喷嚏,所以该概率为4/5。

image.png

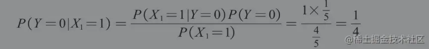
其中P(X1=1|Y=0)为在未感冒的条件下打喷嚏的概率,为1;P(Y=0)为所有样本中未感冒的概率,为1/5;P(X1=1)为所有样本中打喷嚏的概率,为4/5。因为3/4大于1/4,所以在打喷嚏的条件下感冒的概率要高于未感冒的概率。

三、 二维贝叶斯模型

现在加入另一个特征变量——头痛(X2),其值为1表示头痛,为0表示不头痛;目标变量仍为感冒(Y)。样本数据见下表。

image.png

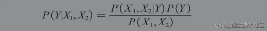
根据上述数据,我们仍利用贝叶斯公式来预测一个人是否感冒。例如,一个人打喷嚏且头痛(X1=1,X2=1),那么他是否感冒了呢?这个问题实际上是要预测他感冒的概率P(Y|X1,X2)。将特征变量和目标变量代入贝叶斯公式,可获得如下所示的计算公式。

image.png

现在要计算并比较P(Y=1|X1,X2)与P(Y=0|X1,X2)的大小,由上述公式可知,两者的分母P(X1,X2)是相同的,所以直接计算并比较两者的分子P(X1,X2|Y)P(Y)的大小即可

在计算之前,需要先引入朴素贝叶斯模型的独立性假设:朴素贝叶斯模型中的各个特征之间相互独立,即P(X1,X2|Y)=P(X1|Y)P(X2|Y)。因此,分子的计算公式可以转换为如下形式。

image.png

在独立性假设的前提下,计算打喷嚏且头痛(X1=1,X2=1)的条件下感冒(Y=1)的概率P(Y=1|X1=1,X2=1),就转化为计算P(X1=1|Y=1)P(X2=1|Y=1)P(Y=1)的值,计算过程如下。

image.png

同理,计算打喷嚏且头痛(X1=1,X2=1)的条件下未感冒(Y=0)的概率P(Y=0|X1=1,X2=1),即转化为计算P(X1=1|Y=0)P(X2=1|Y=0)P(Y=0)的值,计算过程如下。

image.png

因为9/20大于1/5,所以在打喷嚏且头痛的条件下感冒的概率要高于未感冒的概率。

四、n维贝叶斯模型

我们可以在2个特征变量的基础上将贝叶斯公式推广至n个特征变量X1,X2,…,Xn,公式如下。

image.png

同理,因为分母相同,我们只需要关注分子P(X1,X2,…,Xn|Y)P(Y)。朴素贝叶斯模型假设给定目标值后各个特征之间相互独立,分子的计算公式可以写成如下形式。

image.png

其中P(X1|Y)、P(X2|Y)、P(Y)等数据都是已知的,由此可以计算在n个特征变量取不同的值的条件下,目标变量取某个值的概率,并且选择概率更高者对样本进行分类。

五、代码实现

from sklearn.naive_bayes import GaussianNB
x = [[1,2],[3,4],[5,6],[7,8],[9,10]]
y = [0,0,0,1,1]
model = GaussianNB()
model.fit(x,y)
model.predict([[5,5]])

输出:

array([0])

六 应用场景

基金经理用贝叶斯法则找到投资策略,谷歌用贝叶斯定理改进搜索功能,帮助用户过滤垃圾邮件,无人驾驶汽车接收车顶传感器收集到的路况和交通数据运用贝叶斯定理更新从地图上获得的信息,人工智能、机器翻译中大量用到贝叶斯定理,比如肝癌的检测、垃圾邮件的过滤。