(九)数据结构之“图”

208 阅读1分钟

图简介

图是网络结构的抽象模型,是一组由连接的节点

图可以表示任何二元关系(一条边只能两个节点相连),比如:道路、航班...

图是什么

JS中没有图,可以是用Object和Array构件图。

图的表示法:邻接矩阵邻接表、关联矩阵...

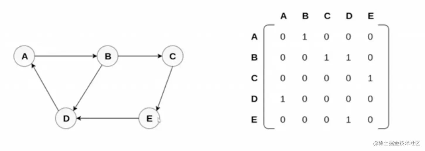
邻接矩阵

二维数组(矩阵)来表示。

image.png

邻接表

构建一个对象,key 为各个节点,key 的值,为连接的各个节点。

image.png

图的常用操作

深度优先遍历

尽可能深的搜索图的分支。

  1. 访问根节点
  2. 对根节点的没访问过的相邻节点挨个进行深度优先遍历

image.png

const graph = {
    0: [1, 2],
    1: [2],
    2: [0, 3],
    3: [3]
}

const visited = new Set()
function dfs(n) {
    console.log(n)
    visited.add(n)
    graph[n].forEach(c => {
        if (!visited.has(c)) {
            dfs(c)
        }
    })
}

dfs(2) // 2 0 1 3 

广度优先遍历

先访问离根节点最近的节点。

  1. 新建一个队列,把根节点入队
  2. 把对头出队并访问
  3. 把对头的没访问过的相邻节点入队
  4. 重复第二、三步,知道队列为空
const graph = {
    0: [1, 2],
    1: [2],
    2: [0, 3],
    3: [3]
}

const visited = new Set()
function bfs (n) {
    visited.add(n)
    const queue = [n]

    while(queue.length) {
        const c = queue.shift()
        console.log(c)
        graph[c].forEach(ele => {
            if (!visited.has(ele)) {
                queue.push(ele)
                visited.add(ele)
            }
        })
    }
}

bfs(2)

LeetCode:65. 有效数字

65. 有效数字 - 力扣(LeetCode) (leetcode-cn.com)

417. 太平洋大西洋水流问题

Loading Question... - 力扣(LeetCode) (leetcode-cn.com)

LeetCode:133. 克隆图

Loading Question... - 力扣(LeetCode) (leetcode-cn.com)