【校招VIP】 产品行测考点之图的推理和分析

296 阅读2分钟

考点介绍: 大厂产品校招笔试里经常会出现行测的考察,而图的推理是行测里面稍微有难度的一部分。因为时间有限,很多同学因为没有解题思路而丢分

本期分享的图的推理和分析,分为试题、文章以及视频三部分。

答案详情解析和文章内容可扫下方二维码或链接即可查看!

一、考点题目

1.1.4,12,8,10,()

A.9 B.10 C.11 D.12

正确答案: A(4+12)/2=8 (12+8)/2=10 (8+10)/2=9

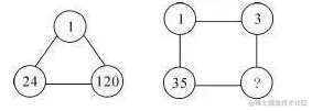
2.观察左图相邻数字的规律,要使右图相邻数字也符合这个规律,应选择( )

image.png

A.46 B.78 C.68 D.134

正确答案: A 相邻两个数相加,所得结果等于一个完全平方数,完全平方数比如:2(1 * 1) ,4 (22),9(33),16(4*4)

3.下一个图形是什么()

image.png

A.A B.B C.C D.D

正确答案: C 理由:示例组中的第一个图和第二个图的差集就是第三个图。按此规律,求解组中的最后一个图就应该是前两个图的差集。attention:题目中的图形无法正常显示,建议使用markdown语法。

4.第二个图中的问号应该是什么图案?

image.png

正确答案:

image.png

解析:第一个图中圆的个数分别是4、3、2 ,方块的个数分别是2、3、4 ;第二个图中圆的个数是2、1、0,方块的个数是0、1、2

(答案点击下方链接或者扫海报二维码查看哦)

二、考点文章

1.行测之图形推理

1、点、线、面数、封闭空间数、图形的对称性、叠加性 2、同时考察图形的旋转以及叠加、图形的本身对称和全局对称 3、图形分类 ......

2.【行测】图形推理做题技巧整体汇总!

图形推理是行测考试中的必考题型,题目给很多考生的感觉也是千变万化,无从下手。其实,图推也是有一些技巧性的。判断推理题中图形推理主要有以下几类:......

(文章详情扫下方海报二维码查看完整版)

三、考点视频

请将符合规律的选项填入括号内

更多资讯可搜索校招VIP小程序查看哦。

移动端链接:m.xiaozhao.vip/dTopic/deta…

PC端链接:xiaozhao.vip/dTopic/deta…