【算法题】判断一颗二叉树是否对称

396 阅读3分钟

一起养成写作习惯!这是我参与「掘金日新计划 · 4 月更文挑战」的第8天,点击查看活动详情

大家好,我是前端西瓜哥。今天做一道比较基础的二叉树算法题。

题目

给你一个二叉树的根节点 root , 检查它是否轴对称。

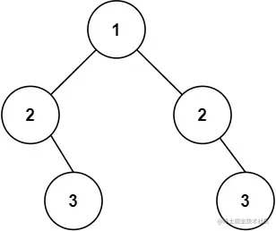
示例1:

img

输入:root = [1,2,2,3,4,4,3]
输出:true

示例 2:

img

输入:root = [1,2,2,null,3,null,3]
输出:false

本题 LeetCode 对应地址:

leetcode-cn.com/problems/sy…

解法

如果你熟练写二叉树的先序、中序、后序遍历的递归写法套路,再看这题,可能一时不太能想到思路。

我一开始做这道题就是这样,我会将注意力放在一个节点上,尝试在上面写出花来。

但对这题来说并不受用,一开始或许可以对比根节点的左右子节点,但左右子节点的后稷的子节点就不好取出来对比了。

对于这题,我们需要给递归函数,传入两个节点

function isSymmetric(root) {
  if (!root) return true;
  return compare(root.left, root.right);
};

function compare(left, right) {
  if (!left && !right) return true;
  if (!left || !right) return false;
  return left.val === right.val &&
    compare(left.left, right.right) &&
    compare(left.right, right.left);
}

compare 递归函数接收两个节点,如果这两个节点对称,返回 true,否则返回 false。

首先是 left 和 right 都为 null 的情况,属于对称,返回 null。

null 的情况需要在最前方判断,因为后面我们要使用 left.val 的语法,如果 left 是 null,会报错。

然后就是 left 或 right 其中一个为 null 另一个不为 null 的情况

因为前面的 if (!left && !right) return true; 如果不符合条件,代码往后走时,left 和 right 至少有一个不为 null。所以只要有 left 或 right 有一个 null,就说明一个为 null 一个不为 null,说明不对称,返回 false。

if (!left && !right) return true;
// 代码能运行到这里,说明 left 和 right 至少有一个为 null
if (!left || !right) return false;

如果你想更容易理解,可以改成这样子:

if (!left && !right) return true;
// 下面代码没有利用上面的条件判断
if (left && !right) return false;
if (!left && right) return false;

最后 left 和 right 都不为 null 的情况,我们需要对比以下节点

  • left 和 right
  • left.left 和 right.right
  • left.right 和 right.left

当这些都为 true 的话,递归函数就返回 true;否则返回 false。

这里的 && 操作符支持短路运行,当前面的条件不符合,后面的函数就不会执行,起到剪枝的效果。

LeetCode 官方递归解法的缺陷

我看了一下 LeetCode 的官方解法,发现它有个地方和我的不一样:

function isSymmetric(root) {
  return compare(root, root);
};

function compare(left, right) {
  // 实现同上
}

就是它是直接将 root 和 root 对比,我初一看,觉得挺优雅的,不需要像我一样写额外的 root 为空的判断。

但我很快发现了不妥的地方,那就是这种写法,在二叉树是对称的情况下,所有节点都要被访问两次

虽然从时间复杂度上来说,它也是 O(n) 的量级,但从实际情况是,LeetCode 官方解法在二叉树对称情况下,花费的时间我的解法的两倍。

如果二叉树不对称,因为 && 运算的短路特性,耗时倒和我的解法没有太大区别。

我是前端西瓜哥,分享前端和算法知识,欢迎关注我。

本文首发于我的公众号:前端西瓜哥