【剑指offer】04.二叉树的镜像

80 阅读1分钟

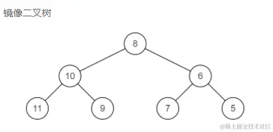
描述: 将给定的二叉树,将其变换为源二叉树的镜像 在这里插入图片描述 在这里插入图片描述 示例1:

输入:
{8,6,10,5,7,9,11}
复制
返回值:
{8,10,6,11,9,7,5}
复制

思路1: 这道题很容易想到用递归的思想将左右子树进行交换,这种思路的空间复杂度和时间复杂度都是O(n)代码如下

function Mirror( pRoot ) {
    // write code here
    if(!pRoot){
        return;
    }
    var left = pRoot.left;
    pRoot.left = pRoot.right;
    pRoot.right = left;
    Mirror(pRoot.left);
    Mirror(pRoot.right);
    
    return pRoot;
}

思路2: 这是牛客上的思路,感觉现在自己的思维还是没有训练开,不会想着利用这种辅助数据结构来解题

function Mirror( pRoot ) {
    // write code here
    if(!pRoot){
        return pRoot;
    }
    var stack = [];
    stack.push(pRoot);
    while(stack.length!==0){
        var node = stack.pop();
        if(node.left !== null){
            stack.push(node.left);
        }
        if(node.right !== null){
            stack.push(node.right);
        }
        
        var temp = node.left;
        node.left = node.right;
        node.right = temp;
    }
    return pRoot;
}