【前端刷题】129.求根节点到叶节点数字之和(MEDIUM)

239 阅读2分钟

一起养成写作习惯!这是我参与「掘金日新计划 · 4 月更文挑战」的第9天,点击查看活动详情

题目(Sum Root to Leaf Numbers)

链接:https://leetcode-cn.com/problems/sum-root-to-leaf-numbers
解决数:1373
通过率:69.1%
标签:树 深度优先搜索 二叉树 
相关公司:facebook amazon bytedance 

给你一个二叉树的根节点 root ,树中每个节点都存放有一个 0 到 9 之间的数字。

每条从根节点到叶节点的路径都代表一个数字:

  • 例如,从根节点到叶节点的路径 1 -> 2 -> 3 表示数字 123 。

计算从根节点到叶节点生成的 所有数字之和 。

叶节点 是指没有子节点的节点。

 

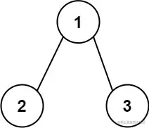
示例 1:

输入: root = [1,2,3]
输出: 25
解释:
从根到叶子节点路径 1->2 代表数字 12
从根到叶子节点路径 1->3 代表数字 13
因此,数字总和 = 12 + 13 = 25

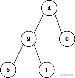
示例 2:

输入: root = [4,9,0,5,1]
输出: 1026
解释:
从根到叶子节点路径 4->9->5 代表数字 495
从根到叶子节点路径 4->9->1 代表数字 491
从根到叶子节点路径 4->0 代表数字 40
因此,数字总和 = 495 + 491 + 40 = 1026

 

提示:

  • 树中节点的数目在范围 [1, 1000] 内
  • 0 <= Node.val <= 9
  • 树的深度不超过 10

思路

1、看到这题,首先想到的应该就是遍历整个二叉树(无论何种遍历方式),然后在遍历的时候记录路径,判断当前节点是否是叶子节点,是则记录下来,如果做过二叉树的所有路径这题,那就更容易有这个想法了。 2、记录下来路径后,遍历路径结果数组,然后把每个路径转换为数字进行累加即可得到答案。(详细看代码一) 3、做到上一步其实已经把问题解决了,现在要优化,想着是怎么在在判断是叶子节点的时候就进行累加,这样就不需要额外开辟一个数组,以及额外的一次遍历了。(想到这里,大部分人都会想到代码二的做法) 4、当做完代码二的优化工作后,代码三的工作是在累加方式上进行的优化,有动态规划的思想,通过知道根节点的节点值和其父节点对应的数字是 0,所以初始化根节点数字和 prevSum 为 0,然后计算出每个叶子节点对应的数字,然后计算所有叶子节点对应的数字之和,即可得到结果。

代码

/**
 * Definition for a binary tree node.
 * function TreeNode(val) {
 *     this.val = val;
 *     this.left = this.right = null;
 * }
 */
/** 代码一
 * @param {TreeNode} root
 * @return {number}
 */
var sumNumbers = function(root) {
    if (root === null) {
        return 0
    }
    let resultArray = []
    let pathArray = []
    var dfs = function (node) {
        if (node === null) {
            return
        }
        pathArray.push(node.val)
        if (node.left === null && node.right === null) { // 如果是叶子节点,将当前路径数组 pathArray 加入待计算总和的数组 resultArray
            resultArray.push([...pathArray]) // 注意这里不能直接 push pathArray,因为数组是引用类型
        } else { // 不是叶子节点则判断左右节点是否存在,继续递归
            if (node.left !== null) {
                dfs(node.left)
            }
            if (node.right !== null) {
                dfs(node.right)
            }
        }
        pathArray.pop() // 每次递归后返回上一级代码,需要把当前加入的节点弹出,还原数组种的节点
    }
    dfs(root)
    // 遍历计算 resultArray 数组种每个 pathArray 的和
    let result = 0
    resultArray.forEach(itemArray => {
        result += Number.parseInt(itemArray.join(''))
    })
    return result
};

优化版:

/** 优化版
 * @param {TreeNode} root
 * @return {number}
 */
var sumNumbers = function(root) {
    if (root === null) {
        return 0
    }
    let result = 0
    let pathArray = []
    var dfs = function (node) {
        if (node === null) {
            return
        }
        pathArray.push(node.val)
        if (node.left === null && node.right === null) { // 如果是叶子节点
            result += Number.parseInt(pathArray.join(''))
        } else { // 不是叶子节点则判断左右节点是否存在,继续递归
            if (node.left !== null) {
                dfs(node.left)
            }
            if (node.right !== null) {
                dfs(node.right)
            }
        }
        pathArray.pop() // 每次递归后返回上一级代码,需要把当前加入的节点弹出,还原数组种的节点
    }
    dfs(root)
    return result
};

最终版:

/**最终版
 * @param {TreeNode} root
 * @return {number}
 */
var sumNumbers = function(root) {
    // 只要计算出每个叶子节点对应的数字,然后计算所有叶子节点对应的数字之和,即可得到结果。
    var dfs = (root, prevSum) => {
        if (root === null) {
            return 0
        }
        const sum = prevSum * 10 + root.val // 每个节点都对应一个数字,等于其父节点对应的数字乘以 10 再加上该节点的值
        if (root.left == null && root.right == null) {
            return sum
        } else {
            return dfs(root.left, sum) + dfs(root.right, sum)
        }
    }
    return dfs(root, 0) // 假设根节点的父节点对应的数字是 0,所以总数为数字和 prevSum 为 0
};