中文情感词典的构建

938 阅读3分钟

本文已参与「新人创作礼」活动,一起开启掘金创作之路

首先,国外英文的情感分析已经取得了很好的效果,得益于英文单词自身分析的便捷性与英文大量的数据集 WordNet。但由于中文的多变性,语义的多重性与数据集的缺乏,使得国内的情感分析暂落后于国外。本文将记录博主在项目中构建情感词典的经验,欢迎大家指正。 我们首先将情感词典分为通用情感词典与专用情感词典。

1.通用情感词典的构建

通用情感词典的构建主要是通过将目前开源的情感词典整合起来,筛去重复和无用的单词。 目前网上开源的情感词典包含有:知网(HowNet)情感词典、台湾大学(NTSUSD)简体中文情感极性词典、大连理工大学情感词汇本体。 前两个都可以在网上找到,第三个需要到其学校官网申请,说明完用途即可获得。

2.通用情感词典的扩展

上述情感词典年代都已经比较久远,所以我们可以采取一定方法对其扩展。这里我们采用的方法是将词典的同义词添加到词典里。 我们通过使用哈工大整理的同义词词林来获取词典的同义词,需要一提的是第一版的同义词林年代较为久远,现在也有哈工大整理的同义词林扩展版。 使用的链接在这里:哈工大同义词林扩展版 使用代码编写时也可以利用Python的Synonyms库来获取同义词。 其已经开源,链接为:synonyms 如:

import synonyms
print("人脸: %s" % (synonyms.nearby("人脸")))
print("识别: %s" % (synonyms.nearby("识别")))

3.领域情感词典的构建

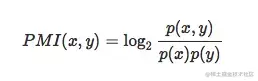
构建特定领域的情感词典需要利用PMI互信息计算与左右熵来发现所需要的新词。具体方法我们可以添加情感种子词,来计算分好词的语料中各个词语与情感种子词的互信息度与左右熵,再将互信息度与左右熵结合起来,选择出与情感词关联度最高的TopN个词语,将其添加到对应的情感词典。 这里可以参考链接link

互信息度计算

互信息度计算

  • p(x,y)为两个词一起出现的概率
  • p(x)为词x出现的概率
  • p(y)为词y出现的概率

具体例子:4G, 上网卡,4G上网卡;如果4G的词频是2,上网卡的词频是10,4G上网卡的词频是1,那么记单单词的总数有N个,双单词的总数有M个,则有下面的公式 具体例子

左右熵

我们这里使用左右熵来衡量主要是想表示预选词的自由程度(4G上网卡为一个预选词),左右熵越大,表示这个词的左边右边的词换的越多,那么它就很有可能是一个单独的词。 我们这里的左右熵定义为(以左熵为例): 左熵 这里我们还是举一个具体的例子来理解它 假设4G上网卡左右有这么几种搭配 [买4G上网卡, 有4G上网卡,有4G上网卡, 丢4G上网卡] 那么4G上网卡的左熵为 例子 这里A = [买, 有, 丢]

后面就是具体的实现了,这里的难点就在如何获得这些概率值,就博主看到的用法有:利用搜索引擎获取词汇共现率即p(x,y)、利用语料库获取各个词出现概率

最后我们只需要将这三步获得的情感词典进行整合就可以了

大家也可以去我的个人博客讨论联系,欢迎大家指正。 JMX的个人博客 www.jmxgodlz.xyz 参考文献: python3实现互信息和左右熵的新词发现