剑指offer day12 双指针(简单)

189 阅读4分钟

day12题目:剑指 Offer 25. 合并两个排序的链表剑指 Offer 52. 两个链表的第一个公共节点

知识点:链表、哈希、双指针,难度为简单、简单

学习计划链接:「剑指 Offer」 - 学习计划

题目知识点难度
剑指 Offer 25. 合并两个排序的链表递归链表简单
剑指 Offer 52. 两个链表的第一个公共节点哈希表链表双指针简单

剑指 Offer 25. 合并两个排序的链表

输入两个递增排序的链表,合并这两个链表并使新链表中的节点仍然是递增排序的。

示例1:

输入: 1->2->4, 1->3->4
输出: 1->1->2->3->4->4

限制:

0 <= 链表长度 <= 1000

注意:本题与主站 21 题相同:leetcode-cn.com/problems/me…

思路及代码

当 l1 和 l2 都不是空链表时,判断 l1 和 l2 哪个链表的当前节点的值更小,将较小值的节点添加到结果里,最终判断一下哪个链表还有剩的都接上去

/**
 * @param {ListNode} l1
 * @param {ListNode} l2
 * @return {ListNode}
 */
var mergeTwoLists = function(l1, l2) {
    let ehead = new ListNode(0)
    let nowv = ehead
    while(l1 && l2) {
        if(l1.val >= l2.val) {
            nowv.next = new ListNode(l2.val)
            l2 = l2.next
            nowv = nowv.next
        } else {
            nowv.next = new ListNode(l1.val)
            l1 = l1.next
            nowv = nowv.next
        }
    }
    if(l1) nowv.next = l1
    else if(l2) nowv.next = l2
    return ehead.next
};

剑指 Offer 52. 两个链表的第一个公共节点

输入两个链表,找出它们的第一个公共节点。

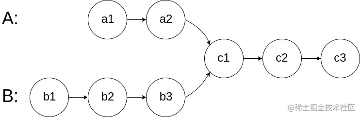
如下面的两个链表

在节点 c1 开始相交。

 

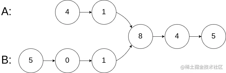
示例 1:

输入: intersectVal = 8, listA = [4,1,8,4,5], listB = [5,0,1,8,4,5], skipA = 2, skipB = 3
输出: Reference of the node with value = 8
输入解释: 相交节点的值为 8 (注意,如果两个列表相交则不能为 0)。从各自的表头开始算起,链表 A[4,1,8,4,5],链表 B[5,0,1,8,4,5]。在 A 中,相交节点前有 2 个节点;在 B 中,相交节点前有 3 个节点。

 

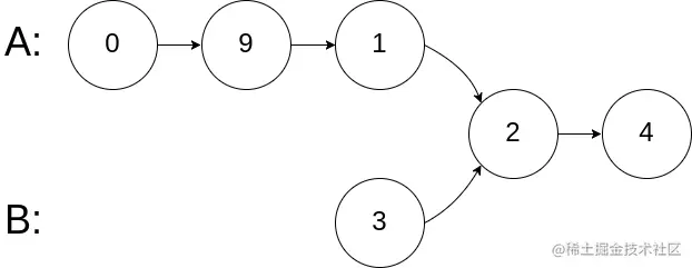
示例 2:

输入: intersectVal = 2, listA = [0,9,1,2,4], listB = [3,2,4], skipA = 3, skipB = 1
输出: Reference of the node with value = 2
输入解释: 相交节点的值为 2 (注意,如果两个列表相交则不能为 0)。从各自的表头开始算起,链表 A[0,9,1,2,4],链表 B[3,2,4]。在 A 中,相交节点前有 3 个节点;在 B 中,相交节点前有 1 个节点。

 

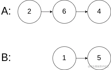
示例 3:

输入: intersectVal = 0, listA = [2,6,4], listB = [1,5], skipA = 3, skipB = 2
输出: null
输入解释: 从各自的表头开始算起,链表 A[2,6,4],链表 B[1,5]。由于这两个链表不相交,所以 intersectVal 必须为 0,而 skipA 和 skipB 可以是任意值。
解释: 这两个链表不相交,因此返回 null。

注意:

  • 如果两个链表没有交点,返回 null.
  • 在返回结果后,两个链表仍须保持原有的结构。
  • 可假定整个链表结构中没有循环。
  • 程序尽量满足 O(n) 时间复杂度,且仅用 O(1) 内存。
  • 本题与主站 160 题相同:leetcode-cn.com/problems/in…

思路及代码

思路1:简单粗暴的用哈希存储a中出现过的结点,再遍历b链表判断,但这显然不满足O(1)内存。

/**
 * @param {ListNode} headA
 * @param {ListNode} headB
 * @return {ListNode}
 */
var getIntersectionNode = function(headA, headB) {
    let m = new Map()
    let [a, b] = [headA, headB]
    while(a) {
        m.set(a, a)
        a = a.next
    }
    while(b) {
        if(m.has(b)) return b
        b = b.next
    }
    return null
};

思路2:题解中提到利用双指针

ab 初始指向 headAheadB, 有两种情况,

情况1 两个链表相交,设链表 headA 的不相交部分有 a 个结点,链表 headB 的不相交部分有 b 个结点,两链表相交部分有c个结点,则有

  • a = b 时,两个指针同时到达第一个公共节点,此时返回这个公共节点就行。
  • a != b 时,指针pA遍历完链表 headA 后去遍历 headB,在指针 pA移动了a+c+b次、pB移动了b+c+a次后两指针会同时抵达公共节点!此时返回的也是第一个公共节点

情况2:两个链表不相交 不相交时,设链表headAheadB长度分别为mn,则有

  • m = n 时,两个指针会同时到达尾节点同时变为 null,此时返回 null
  • m != n 时,两个指针都会遍历完整个链表后遍历另一个,在指针 pA 移动了m + n次、指针 pB 移动了n + m次后两个指针又会同时变为 null,也返回 null

那么代码思路就很明显了,创建两个指针,初始时分别指向两个链表的头节点,然后将两个指针依次遍历两个链表的每个节点

  • 每步操作需要同时更新两个指针
  • 若指针不为空则将其往后移
  • 若指针为空了则将其移至另一个链表头节点
  • 当两指针指向同一结点或都为空了,返回其中一个指针就行
/**
 * @param {ListNode} headA
 * @param {ListNode} headB
 * @return {ListNode}
 */
var getIntersectionNode = function(headA, headB) {
    if(!headA || !headB) return null
    let [a, b] = [headA, headB]
    while(a !== b) {
        a = a.next
        b = b.next
        if(!a && !b) return null
        if(!a) a = headB
        if(!b) b = headA
    }
    return a
};