链表篇--链表相交

113 阅读2分钟

一起养成写作习惯!这是我参与「掘金日新计划 · 4 月更文挑战」的第7天,点击查看活动详情

1.题目一

142. 环形链表 II

给定一个链表的头节点  head ,返回链表开始入环的第一个节点。 如果链表无环,则返回 null。

如果链表中有某个节点,可以通过连续跟踪 next 指针再次到达,则链表中存在环。 为了表示给定链表中的环,评测系统内部使用整数 pos 来表示链表尾连接到链表中的位置(索引从 0 开始)。如果 pos 是 -1,则在该链表中没有环。注意:pos 不作为参数进行传递,仅仅是为了标识链表的实际情况。

不允许修改 链表。

 

示例 1:

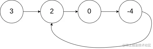
输入:head = [3,2,0,-4], pos = 1

输出:返回索引为 1 的链表节点

解释:链表中有一个环,其尾部连接到第二个节点。

示例 2:

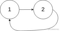
输入:head = [1,2], pos = 0

输出:返回索引为 0 的链表节点

解释:链表中有一个环,其尾部连接到第一个节点。

示例 3:

输入:head = [1], pos = -1

输出:返回 null

解释:链表中没有环。


思路

设s为慢指针的走过的路程,f为快指针走过的路程,b是环的长度,快指针的速度是满指针的两倍

  1. f=2s (快指针每次2步,路程刚好2倍)
  2. f = s + nb (相遇时,刚好多走了n圈)

推出:s = nb

从head结点走到入环点需要走 : a + nb, 而slow已经走了nb,那么slow再走a步就是入环点了。

如何知道slow刚好走了a步? 从head开始,和slow指针一起走,相遇时刚好就是a步


代码

var detectCycle = function(head) {
    if(!head || !head.next) return null;
    let slow =head.next, fast = head.next.next;
    //这里的fast && fast.next 是为了判断是否是环,是环的话不可能为null
    while(fast && fast.next && fast!== slow) {
        slow = slow.next;
        fast = fast.next.next; 
    }
    if(!fast || !fast.next ) return null;
    slow = head;
    while ( fast !== slow) {
        slow = slow.next;
        fast = fast.next;
    }
    return slow;
};