链表篇--链表相交

141 阅读2分钟

一起养成写作习惯!这是我参与「掘金日新计划 · 4 月更文挑战」的第6天,点击查看活动详情

1.题目一

面试题 02.07. 链表相交

给你两个单链表的头节点 headA 和 headB ,请你找出并返回两个单链表相交的起始节点。如果两个链表没有交点,返回 null 。

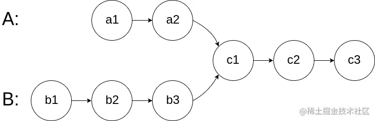
图示两个链表在节点 c1 开始相交:

题目数据 保证 整个链式结构中不存在环。

注意,函数返回结果后,链表必须 保持其原始结构 。

示例 1:

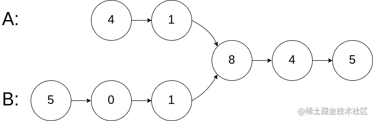
输入:intersectVal = 8, listA = [4,1,8,4,5], listB = [5,0,1,8,4,5], skipA = 2, skipB = 3

输出:Intersected at '8'

解释:相交节点的值为 8 (注意,如果两个链表相交则不能为 0)。 从各自的表头开始算起,链表 A 为 [4,1,8,4,5],链表 B 为 [5,0,1,8,4,5]。 在 A 中,相交节点前有 2 个节点;在 B 中,相交节点前有 3 个节点。

示例 2:

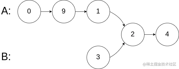
输入:intersectVal = 2, listA = [0,9,1,2,4], listB = [3,2,4], skipA = 3, skipB = 1

输出:Intersected at '2'

解释:相交节点的值为 2 (注意,如果两个链表相交则不能为 0)。 从各自的表头开始算起,链表 A 为 [0,9,1,2,4],链表 B 为 [3,2,4]。 在 A 中,相交节点前有 3 个节点;在 B 中,相交节点前有 1 个节点。

示例 3:

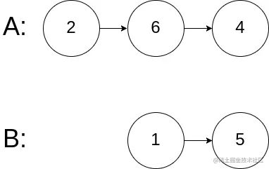
输入:intersectVal = 0, listA = [2,6,4], listB = [1,5], skipA = 3, skipB = 2

输出:null

解释:从各自的表头开始算起,链表 A 为 [2,6,4],链表 B 为 [1,5]。 由于这两个链表不相交,所以 intersectVal 必须为 0,而 skipA 和 skipB 可以是任意值。 这两个链表不相交,因此返回 null 。


思路

解题思路 只要两个指针相等 就跳出循环 只要它们两个之中的一个为空 就让它们跳回开头

如果有交点 在两个指针分别走过另一个指针“来时的路”期间 一定会相遇——也就是返回相遇的那个点,下方代码中直接返回a了 如果没交点 在两个指针必定同时走完彼此的路(a链长度+b链长度=b链长度+a链长度)——也就是a(null) === b(null) 返回a(null)


代码

var getIntersectionNode = function(headA, headB) {
    let a = headA;
    let b = headB;
    if(a === null || b === null){
        return null;
    }
    while(a !== b) {
        //如果没有交点的话走上相同的路程最后也会同时为null
        a = a === null ? headB : a.next
        b = b === null ? headA : b.next

    }
    return a
};