数据结构 - 二叉树(Binary Tree)

392 阅读4分钟

博客迁移:原文写自「简书 - 数据结构-二叉树(Binary Tree)」2021.06.23

1、二叉树定义和特点

  • 1.1、定义
- 二叉树(Binary Tree)是 **n**(n>=0)个结点的有限集合;
- 该集合或者为空集(空二叉树);
- 或者由一棵根节点和两棵互不相交的、分别称为根节点的左子树和右子树的二叉树组成
  • 1.2、特点
- 每个节点最多有2棵子树(度最大为2)
- 左子树和右子树是有顺序的
- 即使某个节点只有一棵子树,也要区分它是左子树还是右子树

2、二叉树的遍历

从根节点出发,按照某种次序依次访问二叉树中所有节点,使得每个节点被访问一次且仅被访问一次

  • 2.1、前序遍历: 先访问根节点,然后前序遍历左子树,再前序遍历右子树

  • 前序遍历:ABDGHCEIF 前序遍历:ABDGHCEIF

public void preOrderTraverse(Node<E> node) {
    if (node == null) return;
    
    System.out.println(node.element); // 打印
    preOrderTraverse(node.left);
    preOrderTraverse(node.right);
}
  • 2.2、中序遍历:从根节点开始(⚠️并不先访问根节点),中序遍历根节点的左子树,然后访问根节点,最后中序遍历右子树。(⚠️二叉搜索树的中序遍历结果是升序或降序

  • 中序遍历:GDHBAEICF

中序遍历:GDHBAEICF

public void inOrderTraver(Node<E> node) {
    if (node == null) return;

    inOrderTraver(node.left);
    System.out.println(node.element);
    inOrderTraver(node.right);
}
  • 2.3、后序遍历: 从左到右先叶子后结点的方式遍历访问左右子树,最后是访问根节点

  • 后序遍历:GHDBIEFCA 后序遍历:GHDBIEFCA

public void postOrderTraverse(Node<E> node) {
    if (node == null) return;

    postOrderTraverse(node.left);
    postOrderTraverse(node.right);
    System.out.println(node.element);
}
  • 2.4、层序遍历: 从树的第一层开始访问(也就是根节点),从上而下逐层遍历,在同一层中,按从左到右的顺序对结点逐个访问

  • 层序遍历:ABCDEFGHI 层序遍历:ABCDEFGHI

public void levelOrderTraverse(){
    if (root == null) return;
    
    // 使用队列来实现:先进先出 ✨✨✨✨✨
    Queue<Node<E>> queue = new LinkedList<>();
    queue.offer(root);

    while (!queue.isEmpty()) {
        Node<E> node = queue.poll();
        System.out.println(node.element);

        if (node.left != null) {
            queue.offer(node.left);
        }

        if (node.right != null) {
            queue.offer(node.right);
        }
    }
}
  • 2.5、根据遍历结果重构二叉树
以下结果可以保证重构出唯一一棵二叉树✨✨✨
- 前序遍历 + 中序遍历
- 后序遍历 + 中序遍历


例:已知一棵二叉树的前序遍历序列为:ABCDEF,中序遍历序列为:CBAEDF,请问这棵二叉树的后续遍历结果是多少?

思路:
- 根据:前序遍历 + 中序遍历 还原二叉树,再查后续遍历
- 前序遍历,第一个结点一定是根结点✨✨✨

解题
- 前序遍历:ABCDEF    =>     根节点为A
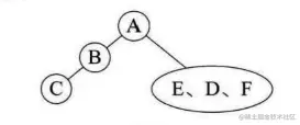
- 中序遍历:CBAEDF    =>     左子树(CB)、右子树(EDF),        即图2.4.1
- 前序,先 B 后 C     =>     所以 C 是 B 的孩子(未确定左右)
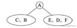
- 中序,先 C 后 B     =>     C 是 B 的左孩子,               即图2.4.2

同理,根据以上顺序,得出右子树

⚠️
- 如果不是特别熟练的话,一定要从还原出的树中走一遍前、中、后,与题目是否相对
- 前序遍历 + 后序遍历 无法确定一个二叉树,因为不知道根节点,可能存在多种情况

2.4.1

2.4.2

2.4.3


3、特殊的二叉树

  • 3.1、真二叉树(Proper Binary Tree)

所有节点的度要么为0,要么为2

真二叉树(Proper Binary Tree)

  • 3.2、满二叉树(Full Binary Tree)
  • 所有节点的度要么为0,要么为2,且所有的叶子节点都在最后一层
- 在同样高度的二叉树中,满二叉树的叶子节点数量最多,总节点数量最多
- 满二叉树一定是真二叉树,真二叉树不一定是满二叉树 ✨

满二叉树(Full Binary Tree)

  • 3.3、完全二叉树(Complete Binary Tree)

叶子节点只会出现"最后2层",且"最后1层"的叶子节点都靠"左对齐"

- 完全二叉树从根节点至倒数第2层是一棵满二叉树
- 满二叉树一定是完全二叉树,完全二叉树不一定是满二叉树

完全二叉树(Complete Binary Tree)


4、前驱节点、后继节点

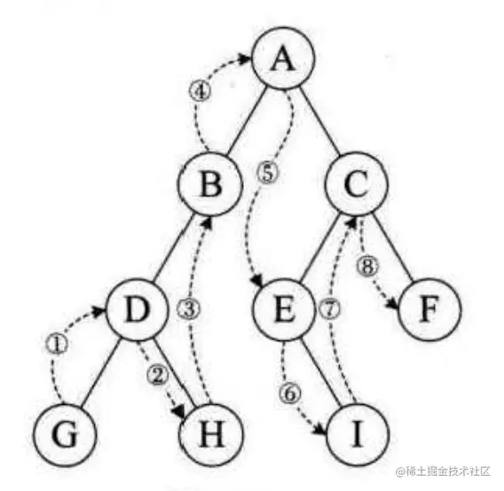
  • 4.1、前驱节点: 中序遍历时的前一个节点
⚠️如果是二叉搜索树,前驱节点就是前一个比它小的节点

情况一:node.left != null
predecessor = node.left.right.right.right...
终止条件:right = null

情况二:node.left == null 
predecessor = node.parent.parent.parent.parent...
终止条件:node 在 parent的右子树中

情况三:node.left == null && node.parent == null
没有前驱



protected Node<E> predecessor(Node<E> node) {
    if (node == null) return node;

    // 前驱节点在左子树当中(left.right.right.right...)
    Node<E> p = node.left;
    if (p.left != null) {
        while(p.right != null) {
            p = p.right;
        }
        return p;
    }

    // 从父节点,祖父节点寻找前驱节点
    while(node.parent != null && node == node.parent.left){
        node = node.parent;
    }

    return node.parent;
}
  • 4.2、后继节点: 中序遍历时的后一个节点
⚠️- 如果是二叉搜索树,前驱节点就是后一个比它大的节点

情况一:node.right != null 
successor = node.right.left.left.left...
终止条件:left 为 null

情况二:node.right == null && node.parent != null
successor = node.parent.parent.parent.parent...
终止条件:node在parent左子树中

情况三:node.right == null && node.parent == null
没有后继节点



protected Node<E> successor(Node<E> node) {
    if (node == null) return node;

    Node<E> p = node.right;
    if (p.right != null) {
        while(p.left != null) {
            p = p.left;
        }
        return p;
    }

    while(node.parent != null && node == node.parent.right){
        node = node.parent;
    }

    return node.parent;
}

5、其他重要性质

- 二叉树的第i层,最多有2^(i-1)个节点(i>=1)✨

- 在高度为h的二叉树上最多有2^h - 1个节点(h>=1)✨

- 对于任何一棵二叉树,如果叶子节点的个数为n0,度为2的节点个数为n2,则有:n0 = n2 + 1;✨✨✨✨

验证:
假设度为1的节点个数为n1,那么二叉树的节点总数 n=n0+n1+n2;✨✨
二叉树的边树  T = n1 + 2*n2 = n-1 = n0 + n1 + n2 - 1;
消除等号左右共项:n0 = n2 + 1;

待补充:TODO()

6、工具篇

二叉树-图形化展示工具