☆打卡算法☆LeetCode 114、二叉树展开为链表 算法解析

137 阅读3分钟

一起养成写作习惯!这是我参与「掘金日新计划 · 4 月更文挑战」的第8天,点击查看活动详情

推荐阅读

大家好,我是小魔龙,Unity3D软件工程师,VR、AR,虚拟仿真方向,不定时更新软件开发技巧,生活感悟,觉得有用记得一键三连哦。

一、题目

1、算法题目

“给定二叉树的根节点,将它展开为一个单链表。”

题目链接:

来源:力扣(LeetCode)

链接: 114. 二叉树展开为链表

2、题目描述

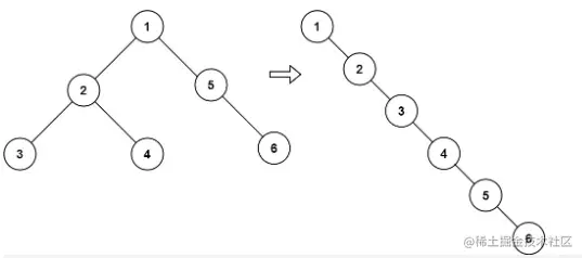
给你二叉树的根结点 root ,请你将它展开为一个单链表:

展开后的单链表应该同样使用 TreeNode ,其中 right 子指针指向链表中下一个结点,而左子指针始终为 null 。 展开后的单链表应该与二叉树 先序遍历 顺序相同。

image.png

示例 1:
输入: root = [1,2,5,3,4,null,6]
输出: [1,null,2,null,3,null,4,null,5,null,6]
示例 2:
输入: root = []
输出: []

二、解题

1、思路分析

这道题的题意是要求将二叉树展开为单链表,单链表中的节点顺序即为二叉树的前序遍历访问各节点的顺序。

所以,可以对二叉树进行前序遍历,获得各节点访问的顺序。

但是将二叉树展开为单链表会破坏二叉树的结构,因此对二叉树的前序遍历结束之后要更新每个节点的左右子节点的信息。

实现前序遍历可以通过递归的方式。

2、代码实现

代码参考:

class Solution {
    public void flatten(TreeNode root) {
        List<TreeNode> list = new ArrayList<TreeNode>();
        preorderTraversal(root, list);
        int size = list.size();
        for (int i = 1; i < size; i++) {
            TreeNode prev = list.get(i - 1), curr = list.get(i);
            prev.left = null;
            prev.right = curr;
        }
    }

    public void preorderTraversal(TreeNode root, List<TreeNode> list) {
        if (root != null) {
            list.add(root);
            preorderTraversal(root.left, list);
            preorderTraversal(root.right, list);
        }
    }
}

image.png

3、时间复杂度

时间复杂度 : O(n)

其中n是二叉树的节点数,前序遍历的时间复杂度为O(n)。

空间复杂度: O(n)

其中n是二叉树的节点数,空间复杂度取决于栈的遍历深度,栈内的元素个数不会超过n,因此空间复杂度为O(n)。

三、总结

这道题,我们使用了前序遍历方法进行遍历,但是将节点展开会破坏二叉树的结构,所以对二叉树的前序遍历结束之后要更新每个节点的左右子节点的信息。

因此前序遍历和再开为单链表其实是分成了两步,那能不能在不丢失子节点的信息的情况下,同事将前序遍历和展开单链表同时进行呢。

其实,可以在遍历左子树之前就获得左右子节点的信息,存入栈内,子节点的信息就不会丢失,就可以将前序遍历和展开为单链表同时进行了。