力扣206. 反转链表

129 阅读2分钟

一起养成写作习惯!这是我参与「掘金日新计划 · 4 月更文挑战」的第6天,点击查看活动详情

力扣206. 反转链表

一、题目描述:

给你单链表的头节点 head ,请你反转链表,并返回反转后的链表。

示例 1:

img

输入:head = [1,2,3,4,5] 输出:[5,4,3,2,1] 示例 2:

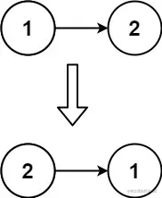
img

输入:head = [1,2] 输出:[2,1] 示例 3:

输入:head = [] 输出:[]

提示:

链表中节点的数目范围是 [0, 5000] -5000 <= Node.val <= 5000

进阶:链表可以选用迭代或递归方式完成反转。你能否用两种方法解决这道题?

来源:力扣(LeetCode) 链接:leetcode-cn.com/problems/re… 著作权归领扣网络所有。商业转载请联系官方授权,非商业转载请注明出处。

二、思路分析:

  1. 这道题考察了什么思想?你的思路是什么?

    思路有点难理解,不过画个图一步一步推理就容易明白了。

    我们得先保留下一个节点的地址,然后将第一个节点指向空节点,然后移动这些坐标,将第二个节点指向第一个节点,以此类推。。。

  2. 做题的时候是不是一次通过的,遇到了什么问题,需要注意什么细节?

    不是一次通过的,我们得考虑链表为空的情况,刚开始我没有考虑就取next= head->next,当然我们直接在前面用个if判断语句就行了。

  3. 有几种解法,哪种解法时间复杂度最低,哪种解法空间复杂度最低,最优解法是什么?其他人的题解是什么,谁的效率更好一些?用不同语言实现的话,哪个语言速度最快?

    还有一种递归解法,确实有点难理解。

    下面是力扣作者NoColor96的解析,我认为解释得十分清楚,可以供各位参考。

         /**
          * 以链表1->2->3->4->5举例
          * @param head
          * @return
          */
         public ListNode reverseList(ListNode head) {
             if (head == null || head.next == null) {
                 /*
                     直到当前节点的下一个节点为空时返回当前节点
                     由于5没有下一个节点了,所以此处返回节点5
                  */
                 return head;
             }
             //递归传入下一个节点,目的是为了到达最后一个节点
             ListNode newHead = reverseList(head.next);
                     /*
                 第一轮出栈,head为5,head.next为空,返回5
                 第二轮出栈,head为4,head.next为5,执行head.next.next=head也就是5.next=4,
                           把当前节点的子节点的子节点指向当前节点
                           此时链表为1->2->3->4<->5,由于4与5互相指向,所以此处要断开4.next=null
                           此时链表为1->2->3->4<-5
                           返回节点5
                 第三轮出栈,head为3,head.next为4,执行head.next.next=head也就是4.next=3,
                           此时链表为1->2->3<->4<-5,由于3与4互相指向,所以此处要断开3.next=null
                           此时链表为1->2->3<-4<-5
                           返回节点5
                 第四轮出栈,head为2,head.next为3,执行head.next.next=head也就是3.next=2,
                           此时链表为1->2<->3<-4<-5,由于2与3互相指向,所以此处要断开2.next=null
                           此时链表为1->2<-3<-4<-5
                           返回节点5
                 第五轮出栈,head为1,head.next为2,执行head.next.next=head也就是2.next=1,
                           此时链表为1<->2<-3<-4<-5,由于1与2互相指向,所以此处要断开1.next=null
                           此时链表为1<-2<-3<-4<-5
                           返回节点5
                 出栈完成,最终头节点5->4->3->2->1
              */
             head.next.next = head;
             head.next = null;
             return newHead;
         }
    

三、AC 代码:

 /**
  * Definition for singly-linked list.
  * struct ListNode {
  *     int val;
  *     struct ListNode *next;
  * };
  */
 ​
 ​
 struct ListNode* reverseList(struct ListNode* head){
     if(head == NULL) return head;
     struct ListNode* next = NULL;
     struct ListNode* n = NULL;
     while(head){
         next = head->next;
         head->next = n;
         n = head;
         head = next;
     }
 ​
     return n;
 }

四、总结:

递归方法要好好理解。