链表篇--两两交换链表中的节点与删除链表的倒数第 N 个结点

173 阅读1分钟

一起养成写作习惯!这是我参与「掘金日新计划 · 4 月更文挑战」的第5天,点击查看活动详情

1.题目一

24. 两两交换链表中的节点

给你一个链表,两两交换其中相邻的节点,并返回交换后链表的头节点。你必须在不修改节点内部的值的情况下完成本题(即,只能进行节点交换)。

 

示例 1:

输入:head = [1,2,3,4] 输出:[2,1,4,3]

示例 2: 输入:head = [] 输出:[]

示例 3: 输入:head = [1] 输出:[1]


思路

建议使用虚拟头结点,这样会方便很多,要不然每次针对头结点(没有前一个指针指向头结点),还要单独处理。

接下来就是交换相邻两个元素了,此时一定要画图,不画图,操作多个指针很容易乱,而且要操作的先后顺序


代码

var swapPairs = function (head) {
  let ret = new ListNode(0, head), temp = ret;
  while (temp.next && temp.next.next) {
    let cur = temp.next.next, pre = temp.next;
    pre.next = cur.next;
    cur.next = pre;
    temp.next = cur;
    temp = pre;
  }
  return ret.next;
};

1.题目二

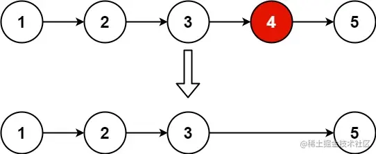
19. 删除链表的倒数第 N 个结点

给你一个链表,删除链表的倒数第 n 个结点,并且返回链表的头结点。

 

示例 1:

输入:head = [1,2,3,4,5], n = 2 输出:[1,2,3,5]

示例 2:

输入:head = [1], n = 1 输出:[]

示例 3:

输入:head = [1,2], n = 1 输出:[1]

提示:

  • 链表中结点的数目为 sz
  • 1 <= sz <= 30
  • 0 <= Node.val <= 100
  • 1 <= n <= sz

思路

首先使用虚拟头节点

双指针的经典应用,如果要删除倒数第n个节点,让fast移动n步,然后让fast和slow同时移动,直到fast指向链表末尾。删掉slow所指向的节点就可以了。


代码

var removeNthFromEnd = function (head, n) {
   let fast=head,
       sort=head
    while(n-->0){
        fast=fast.next
    }
    //进入循环前判断 fast是否为null 如果为null则要删除的就是第一节点
    if(fast==null) return head.next
    while(fast.next){
        fast=fast.next
        sort=sort.next
    }
    sort.next=sort.next.next
    return head
};