并发编程框架Disruptor之高性能设计

1,240 阅读6分钟

一起养成写作习惯!这是我参与「掘金日新计划 · 4 月更文挑战」的第7天,点击查看活动详情

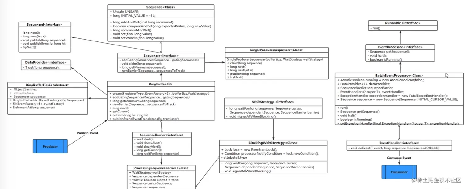
架构 UML

1 单线程写

Disruptor的RingBuffer, 之所以可以做到完全无锁,也是因为"单线程写",这是所有"前提的前提",离了这个前提条件,没有任何技术可以做到完全无锁。Redis、Netty等等高性能技术框架的设计都是这个核心思想。

2 系统内存优化-内存屏障

实现无锁,还需一个关键技术:内存屏障。

对应到Java语言,就是valotile变量与happens before语义。

参阅: 内存屏障 - Linux的smp_wmb()/smp_ rmb() 系统内核:比如Linux的kfifo:smp_ wmb(),无论是底层的读写 都是使用了Linux的smp_ wmb github.com/opennetwork…

3 系统缓存优化-消除伪共享

缓存系统中是以缓存行(cache line) 为单位存储的。缓存行是2的整数幂个连续字节,一般为32-256个字节。最常见的缓存行大小是64个字节。

当多线程修改互相独立的变量时,如果这些变量共享同一个缓存行,就会无意中影响彼此的性能,这就是伪共享。

核心:Sequence

可看成是个AtomicLong,用于标识进度。还有防止不同Sequence之间CPU缓存伪共享(Flase Sharing)。

如下设计保证保存的 value 永远在一个缓存行中。(8 个long,正好 64 字节),空间换时间。这些变量就是没有实际意义,只是帮助我们进行缓存行填充(Padding Cache Line),使得我们能够尽可能地用上CPU高速缓存(CPU Cache) 若访问内置在CPU的L1 Cache或L2 Cache,访问延时是内存的1/15乃至1/100。而内存访问速度远慢于CPU。想追求极限性能,需尽可能多从CPU Cache拿数据,而非从内存。

CPU Cache装载内存里的数据,不是一个个字段加载,而是加载整个缓存行。 如定义长度64的long类型数组,则数据从内存加载到CPU Cache,不是一个个数组元素加载,而是一次性加载固定长度的一个缓存行。

64位Intel CPU计算机的缓存行通常64个字节(Bytes)。一个long数据需8字节,所以一下会加载8个long数据。 即一次加载数组里面连续的8个数值。这样的加载使得遍历数组元素时,会很快。因为后面连续7次的数据访问都会命中缓存,无需重新从内存里读取数据。

但不使用数组,而使用单独变量时,这就出问题了。 Disruptor RingBuffer(环形缓冲区)定义了RingBufferFields类,里面有indexMask和其他几个变量存放RingBuffer的内部状态信息。 CPU在加载数据时,自然也会把这个数据从内存加载到高速缓存。 但这时,高速缓存除了这个数据,还会加载这个数据前后定义的其他变量

这时,问题就来了,Disruptor是个多线程的服务器框架,在这个数据前后定义的其他变量,可能会被多个不同线程更新、读取数据。这些写入及读取的请求,会来自不同 CPU Core。于是,为保证数据的同步更新,不得不把CPU Cache里的数据,重新写回内存或重新从内存里加载数据。

这些CPU Cache的写回和加载,都不是以一个变量作为单位。这些都是以整个Cache Line作为单位。 所以,当INITIAL_CURSOR_VALUE 前后的那些变量被写回到内存时,这个字段自己也写回到了内存,这个常量的缓存也就失效了。 当要再次读取这个值时,要再重新从内存读取。这就意味着,读取速度大大变慢。 对此,Disruptor利用了缓存行填充,在 RingBufferFields里面定义的变量的前后,分别定义了7个long类型的变量:

  • 前面7个来自继承的 RingBufferPad 类
  • 后面7个直接定义在 RingBuffer 类

这14个变量无任何实际用途。我们既不读他们,也不写他们。

而RingBufferFields里面定义的这些变量都是final,第一次写入后就不会再修改。 所以,一旦它被加载到CPU Cache后,只要被频繁读取访问,就不会再被换出Cache。这意味着,对于该值的读取速度,会一直是CPU Cache的访问速度,而非内存的访问速度。

使用RingBuffer,利用缓存和分支预测

这利用CPU Cache的性能的思路,贯穿整个Disruptor。Disruptor整个框架,就是个高速的生产者-消费者模型(Producer-Consumer)下的队列。

生产者不停往队列生产新的待处理任务,而消费者不停从队列处理掉这些任务。 实现一个队列,最合适的是链表。只要维护好链表头和尾。生产者只要不断地往链尾插入新节点, 消费者只需不断从头部取出最老节点处理。LinkedBlockingQueue可直接用在生产者-消费者模式。 Disruptor并没用LinkedBlockingQueue,而使用个RingBuffer数据结构,这个RingBuffer底层是个固定长度的数组。比起链表,数组的数据在内存里会存在空间局部性。

数组的连续多个元素会一并加载到CPU Cache,所以访问遍历的速度会更快。而链表里面各个节点的数据,多半不会出现在相邻的内存空间,自然也就享受不到整个Cache Line加载后数据连续从高速缓存里面被访问到的优势。

数据的遍历访问还有一个很大的优势,就是CPU层面的分支预测会很准确。这可以使得我们更有效地利用了CPU里面的多级流水线,我们的程序就会跑得更快。这一部分的原理如果你已经不太记得了,可以回过头去复习一下第25讲关于分支预测的内容。

4 算法优化-序号栅栏机制

我们在生产者进行投递Event的时候,总是会使用:

 long sequence = ringBuffer.next();

Disruptor3.0中,序号栅栏SequenceBarrier和序号Sequence搭配使用。协调和管理消费者与生产者的工作节奏,避免了锁和CAS的使用。

  • 消费者序号数值必须小于生产者序号数值
  • 消费者序号数值必须小于其前置(依赖关系)消费者的序号数值
  • 生产者序号数值不能大于消费者中最小的序号数值
  • 以避免生产者速度过快,将还未来得及消费的消息覆盖

SingleProducerSequencerPad#next

     /**
      * @see Sequencer#next(int)
      */
     @Override
     public long next(int n) // 1
     {
         if (n < 1) // 初始值:sequence = -1
         {
             throw new IllegalArgumentException("n must be > 0");
         }
     // 语义级别的
     // nextValue为SingleProducerSequencer的变量
         long nextValue = this.nextValue;
 ​
         long nextSequence = nextValue + n;
         // 用于判断当前序号是否绕过整个 ringbuffer 容器
         long wrapPoint = nextSequence - bufferSize;
         // 用于缓存优化
         long cachedGatingSequence = this.cachedValue;
 ​
         if (wrapPoint > cachedGatingSequence || cachedGatingSequence > nextValue)
         {
             long minSequence;
             while (wrapPoint > (minSequence = Util.getMinimumSequence(gatingSequences, nextValue)))
             {
                 LockSupport.parkNanos(1L); // TODO: Use waitStrategy to spin?
             }
 ​
             this.cachedValue = minSequence;
         }
 ​
         this.nextValue = nextSequence;
 ​
         return nextSequence;
     }

参考