leetcode刷题 141. 环形链表,Easy (Java)哈希表+快慢指针

166 阅读2分钟

本文已参与「新人创作礼」活动,一起开启掘金创作之路。

1.题目描述

给你一个链表的头节点 head ,判断链表中是否有环。

如果链表中有某个节点,可以通过连续跟踪 next 指针再次到达,则链表中存在环。 为了表示给定链表中的环,评测系统内部使用整数 pos 来表示链表尾连接到链表中的位置(索引从 0 开始)。注意:pos 不作为参数进行传递 。 仅仅是为了标识链表的实际情况。

如果链表中存在环 ,则返回 true 。 否则,返回 false

 

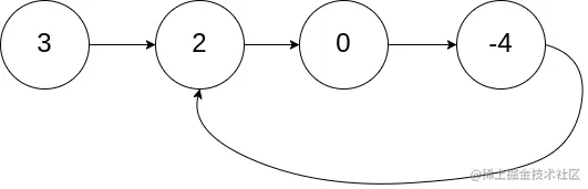
示例 1:

image.png
输入:head = [3,2,0,-4], pos = 1
输出:true
解释:链表中有一个环,其尾部连接到第二个节点。

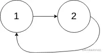
示例 2:

image.png
输入:head = [1,2], pos = 0
输出:true
解释:链表中有一个环,其尾部连接到第一个节点。

示例 3:

image.png
输入:head = [1], pos = -1
输出:false
解释:链表中没有环。  

提示:

  • 链表中节点的数目范围是 [0, 104]
  • -105 <= Node.val <= 105
  • pos 为 -1 或者链表中的一个 有效索引 。  

进阶: 你能用 O(1)(即,常量)内存解决此问题吗?

来源:力扣(LeetCode)
链接:leetcode-cn.com/problems/li…

著作权归领扣网络所有。商业转载请联系官方授权,非商业转载请注明出处。

2.题解

2.1 哈希表

2.1.1 思路

如果没有环,那所有的节点都只会遍历一次;如果有环,那么就会重复访问到节点。
而节点的访问次数则是可以用哈希集来计算的。
因为哈希集的特点就是一个节点只能存一次,如果再往里存就会产生false,那就说明有了环;而如果走完了链表,还没有返回那就说明链表没有环,可以返回true

2.1.2 Java代码

public class Solution {
    public boolean hasCycle(ListNode head) {
        HashSet<ListNode> visited = new HashSet<>();
        while(head != null){
            if(!visited.add(head)){
                return true;
            }
            head = head.next;
        }
        return false;
    }
}

2.2 快慢指针

2.2.1 思路

链表中指针真的很常用,这道题就是用快慢指针去解的。
基本思路就是快指针走两步,慢指针走一步,那如果存在环,那么快慢指针的差总会走到环的长度,那此时两个指针就会相遇。
那如果两个指针有一个到达了null,那说明是没有环的,是有尽头的。

2.2.2 Java代码

public class Solution {
    public boolean hasCycle(ListNode head) {
        if(head == null||head.next == null){
            return false;
        }
        ListNode fast = head.next;
        ListNode slow = head;
        while(slow != fast){
            if(fast == null || fast.next == null){
                return false;
            }
            slow = slow.next;
            fast = fast.next.next;
        }
        return true;
    }
}