Leetcode 101. 对称二叉树

175 阅读1分钟

Leetcode 101. 对称二叉树

一起养成写作习惯!这是我参与「掘金日新计划 · 4 月更文挑战」的第6天,点击查看活动详情

1、题目📑

给你一个二叉树的根节点 root , 检查它是否轴对称。

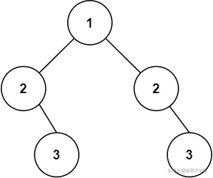
实例1

img

输入:root = [1,2,2,3,4,4,3]

输出:true

实例2

img

输入:root = [1,2,2,null,3,null,3]

输出:false

限制

  • 树中节点数目在范围 [1, 1000]
  • -100 <= Node.val <= 100

2、思路🧠

方法一:递归

  1. 特判: 如果头节点 root == null时,返回 true
  2. 递归:结束条件
    • 如果左右两个节点都为空,则一定是对称的
    • 左右节点有一个节点为空,则必然不可能对称
    • 前两点如果都不满足,说明存在左右两个孩子节点,则进行左右节点的值比较
  3. 返回:调用dfs函数进行递归判断。

方法二:辅助队列

该方法实现以方法一思路相同,将左右节点通过队列来辅助存储。

  1. 特判: 如果头节点 root == null && 头结点的左孩子为空,头结点的右孩子为空时,返回 true
  2. 初始化: 将头结点的左孩子、右孩子依次入队。
  3. 循环遍历:
    • 左右节点为空时,跳过此次判断
    • 左右节点有一个节点为空,则必然不可能对称
    • 前两点如果都不满足,说明存在左右两个孩子节点,则进行左右节点的值比较
  4. 结束循环,说明以上的所有条件都满足,直接返回true。

废话少说~~~~~上代码!

3、代码👨‍💻

第一次commit AC

/**
 * Definition for a binary tree node.
 * public class TreeNode {
 *     int val;
 *     TreeNode left;
 *     TreeNode right;
 *     TreeNode() {}
 *     TreeNode(int val) { this.val = val; }
 *     TreeNode(int val, TreeNode left, TreeNode right) {
 *         this.val = val;
 *         this.left = left;
 *         this.right = right;
 *     }
 * }
 */
class Solution {
    public boolean isSymmetric(TreeNode root) {
        if(root==null) {
			return true;
		}
		//调用递归函数
        return dfs(root.left, root.right);
    }
    public boolean dfs(TreeNode left, TreeNode right){
        //在判断对称,需要考虑以下3种情况
        //1、如果左右两个节点都为空,则一定是对称的
        //2、左右节点有一个节点为空,则必然不可能对称
        //3、前两点如果都不满足,说明存在左右两个孩子节点,则进行左右节点的值比较
        //如果前3个条件都不满足,继续往该节点的孩子节点进行递归判断
        if(left == null && right == null) return true;
        if(left == null || right == null) return false;
        if(left.val != right.val) return false;
        
        return dfs(left.left, right.right) && dfs(left.right, right.left);
    }
}

时间复杂度:O(N) N 为二叉树的节点数量

空间复杂度:O(N) 这里代表遍历的深度

第二次commit AC

/**
 * Definition for a binary tree node.
 * public class TreeNode {
 *     int val;
 *     TreeNode left;
 *     TreeNode right;
 *     TreeNode() {}
 *     TreeNode(int val) { this.val = val; }
 *     TreeNode(int val, TreeNode left, TreeNode right) {
 *         this.val = val;
 *         this.left = left;
 *         this.right = right;
 *     }
 * }
 */
class Solution {
    public boolean isSymmetric(TreeNode root) {
        if(root != null && root.right == null && root.left == null) return true;

        LinkedList<TreeNode> queue = new LinkedList<>();
        queue.add(root.left);
        queue.add(root.right);
        while(!queue.isEmpty()) {
            //取出两个节点,再比较这两个节点
			TreeNode left = queue.poll();
			TreeNode right = queue.poll();
            if(left == null && right == null) continue;
            if(left == null || right == null) return false;
            if(left.val != right.val) return false;

            queue.add(left.left);
            queue.add(right.right);
            queue.add(left.right);
            queue.add(right.left);
        }
        return true;
    }
}

时间复杂度:O(N) N 为二叉树的节点数量

空间复杂度:O(N)

image-20220406210148435

4、总结

该题目的对树要了解,并掌握DFS,BFS相关知识。对于树,打牢遍历基础。要像有序数组对二分敏感一样,做到树对递归敏感。在递归判断过程中存在短路现象,在进行 与(&&) 操作时,如果返回值 false 则后面的不再进行计算。

❤️‍来自专栏《LeetCode基础算法题》欢迎订阅❤️‍

厂长写博客目的初衷很简单,希望大家在学习的过程中少走弯路,多学一些东西,对自己有帮助的留下你的赞赞👍或者关注➕都是对我最大的支持,你的关注和点赞给厂长每天更文的动力。

对文章其中一部分不理解,都可以评论区回复我,我们来一起讨论,共同学习,一起进步!

原题链接: 101. 对称二叉树 - 力扣(LeetCode) (leetcode-cn.com)