机器学习之——机器学习应用建议

212 阅读4分钟

本文已参与「新人创作礼」活动,一起开启掘金创作之路

机器学习的应用建议

好久没有更新机器学习的学习笔记了,上一次还是更新的神经网络的部分。这一次我们来聊一聊,机器学习的应用建议。

决定下一步做什么

假设我们需要用一个线性回归模型(Linear Regression)来预测房价,当我们运用训练好了的模型来预测未知数据的时候,发现有较大的误差,我们下一步可以做什么?

  1. 获得更多的训练实例——通常是有效的,但是代价较大,下面的方法也可能有效,可以考虑优先采用下面的几种方法。
  2. 尝试减少特征的数量
  3. 尝试获得更多的特征
  4. 尝试增加二项式特征
  5. 尝试减少归一化程度λ
  6. 尝试增加归一化程度λ

我们不应该随机选择上面的某种方法来改进我们的算法,而是运用一些机器学习诊断法来帮助我们知道上面哪些方法对我们的算法是有效的。

假设的评估(Evaluating A Hypothesis)

过拟合检验

为了检验算法是否过拟合,我们将数据分成训练集和测试集,通常用70%的数据作为训练集,剩下30%的数据作为测试集。很重要的一点是,训练集和测试集均要含有各种类型的数据,通常我们对数据要进行“洗牌”,然后再分成训练集和测试集。

测试集评估

在通过训练集让我们的模型学习得出其参数后,对测试集运用该模型,我们有两种方式计算误差:

  • 对于线性回归模型,我们利用测试集数据计算代价函数J
  • 对于逻辑回归模型,我们除了可以利用测试数据集来计算代价函数外:​还可以计算错误分类的比率,对于每一个测试集实例,计算:​然后对计算结果求平均。

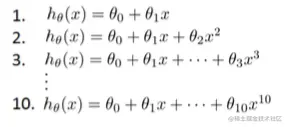
模型选择(交叉验证集)

假设我们要在10个不同次数的二项式模型之间进行选择:

显然越高次数的二项式模型越能够适应我们的训练数据集,但是适应训练数据集并不代表着能推广至一般情况,我们应该选择一个更能适应一般情况的模型。我们需要使用交叉验证集来帮助选择模型,即:

  • 使用60%的数据作为训练集
  • 使用20%的数据作为交叉验证集
  • 使用20%的数据作为测试集

模型选择的方法为:

  1. 使用训练集训练出10个模型
  2. 用10个模型分别对交叉验证集计算得出交叉验证误差(代价函数的值)
  3. 选取代价函数值最小的模型
  4. 用上面步骤3中选出的模型对测试集计算得出推广误差(代价函数的值)

偏倚和偏差诊断(Diagnosis Bias VS. Variance)

高偏倚和高偏差的问题基本上来说就是低拟合和过拟合的问题。

我们通常会通过将训练集和交叉验证集的代价函数误差与多项式的次数绘制在同一张图表上来帮助分析:

  • 对于训练集,当d较小时,模型拟合程度更低,误差较大;随着d的增长,拟合程度提高,误差减小。
  • 对于交叉验证集,当d较小时,模型拟合程度低,误差较大;随着d的增长,误差呈现先减小后增大的趋势,转折点是我们的模型开始过拟合训练数据集的时候。

如果我们的交叉验证集误差较大,我们如何判断是偏倚还是偏差呢?

根据上面的图表,我们知道:

  • 训练集误差和交叉验证集误差相近时:偏倚/低拟合
  • 交叉验证集误差远大于训练集误差时:偏差/过拟合

归一化与偏倚/偏差

在我们在训练模型的过程中,一般会使用一些归一化的方法来防止过拟合。但是我们可能归一化的程度太高或太小了,即我们再选择λ的值时也需要思考与刚才选择多项式模型次数类似的问题。

我们选择一系列的想要测试的λ值,通常是在0-10之间的呈现2倍关系的值,如:0,0.01,0.02,0.04,0.08,0.16,0.32,0.64,1.28,2.56,5.12,10 共12个。

我们同样把数据分为训练集、交叉验证集和测试集。

选择λ的方法为:

  1. 使用训练集训练处12个不同程度归一化的模型
  2. 用12个模型分别对交叉验证集计算得出交叉验证误差
  3. 选择得出交叉验证误差最小的模型
  4. 运用步骤3中选出的模型对测试及计算得出推广误差

  • 当λ较小时,训练集误差较小(过拟合)而交叉验证集误差较大
  • 随着λ的增加,训练集误差不断增加(低拟合),而交叉验证集误差则是先减小后增加

学习曲线(Learning Curves)

学习曲线是学习算法的一个很好的合理检验(Sanity Check),学习曲线是将训练集误差和交叉验证集误差作为训练集实例数量(m)的函数绘制的图表。

即,如果我们有100个数据,我们从第1个数据开始,逐渐学习更多的数据。思想是:当训练较少数据的时候,训练的模型将能够非常完美的适应较少的训练数据,但是训练出来的模型却不能很好的适应交叉验证集数据或测试数据集。

如何利用学习曲线识别高偏倚/低拟合:

作为例子,我们尝试用一条直线来适应下面的数据,可以看出,无论训练集有多么大误差都不会有太大改观:

也就是说在高偏倚/低拟合的情况下,增加数据到训练集不一定能有帮助。

如何利用学习曲线识别高偏差/过拟合:

假设我们使用一个非常高次的多项式模型,并且归一化非常小,可以看出,当交叉验证集误差远大于训练集误差时,往训练集增加更多数据可以提高模型的效果。

也就是说,在高偏差/过拟合的情况下,增加更多数据到训练集可能提高算法效果。

决定下一步做什么

回顾之前提出的六种可选的下一步,让我们来看一看我们在什么情况下应该怎样选择:

  1. 获得更多的训练实例——解决高偏差
  2. 尝试减少特征的数量——解决高偏差
  3. 尝试获得更多的特征——解决高偏倚
  4. 尝试增加二项式特征——解决高偏倚
  5. 尝试减少归一化程度——解决高偏倚
  6. 尝试增加归一化程度——解决高偏差

神经网络的偏倚和偏差

  • 使用较小的神经网络,类似于参数较少的情况,容易导致高偏倚和低拟合,但计算代价较小
  • 使用较大的神经网络,类似于参数较多的情况,容易导致高偏差和过拟合,虽然计算代价比较大,但是可以通过归一化手段来调整而更加适应数据

通常选择较大的神经网络并采用归一化处理会比采用较小的神经网络效果要好。

对于神经网络中的隐藏层的层数的选择,通常从一层开始逐渐增加层数,为了更好地做选择,可以把数据分为训练集、交叉验证集和测试集,针对不同隐藏层层数的神经网络训练神经网络,然后选择交叉验证集代价最小的神经网络。

\