310. 最小高度树 : 树形 DP 模板题

1,116 阅读4分钟

一起养成写作习惯!这是我参与「掘金日新计划 · 4 月更文挑战」的第6天,点击查看活动详情

题目描述

这是 LeetCode 上的 310. 最小高度树 ,难度为 中等

Tag : 「树形 DP」、「DFS」、「动态规划」

树是一个无向图,其中任何两个顶点只通过一条路径连接。 换句话说,一个任何没有简单环路的连通图都是一棵树。

给你一棵包含 nn 个节点的树,标记为 00 到 n1n - 1 。给定数字 nn 和一个有 n1n - 1 条无向边的 edges 列表(每一个边都是一对标签),其中 edges[i]=[ai,bi]edges[i] = [a_i, b_i] 表示树中节点 aia_ibib_i 之间存在一条无向边。

可选择树中任何一个节点作为根。当选择节点 xx 作为根节点时,设结果树的高度为 hh 。在所有可能的树中,具有最小高度的树(即,min(h))被称为 最小高度树 。

请你找到所有的 最小高度树 并按 任意顺序 返回它们的根节点标签列表。

树的 高度 是指根节点和叶子节点之间最长向下路径上边的数量。

示例 1:

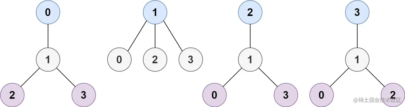
输入:n = 4, edges = [[1,0],[1,2],[1,3]]

输出:[1]

解释:如图所示,当根是标签为 1 的节点时,树的高度是 1 ,这是唯一的最小高度树。

示例 2:

输入:n = 6, edges = [[3,0],[3,1],[3,2],[3,4],[5,4]]

输出:[3,4]

提示:

  • 1<=n<=21041 <= n <= 2 * 10^4
  • edges.length==n1edges.length == n - 1
  • 0<=ai,bi<n0 <= ai, bi < n
  • ai!=biai != bi
  • 所有 (ai,bi)(ai, bi) 互不相同
  • 给定的输入保证是一棵树,并且不会有重复的边

树形 DP

这是一道树形 DP 模板题。

当确定以某个点为根节点时,整棵树的形态唯一固定,不妨以编号为 00 的节点作为根节点进行分析。

假设当前处理到的节点为 u,其是从父节点 fa 遍历而来,且将要遍历的子节点为 j

即树的形态如图所示(一些可能有的出边用虚线表示):

image.png

树形 DP 问题通常将问题根据「方向」进行划分,对于当前处理到的节点 u 而言,我们根据是否考虑「从 fau 的出边」将其分为「向下」和「向上」两个方向。

假设我们通过 DFS 预处理出 ff 数组和 gg 数组,其中 f[u]f[u] 代表在以 00 号点为根节点的树中,以 u 节点为子树根节点时,往下的最大高度;g[u]g[u] 代表在以 00 号点为根节点的树中,以 u 节点为子节点时,往上的最大高度。那么最终以 u 为根节点的最大高度为 max(f[u],g[u])\max(f[u], g[u])

其中 f[u]f[u] 只需要简单的 DFS 即可处理出来,但对于 g[u]g[u] 而言,其同样包含「往上」和「往下」两部分,对于往上的部分 max(g[u],g[fa]+1)\max(g[u], g[fa] + 1),对于往下的部分,我们需要考虑「fa 节点往下的最大值 f[fa]f[fa]」是否由 u 节点参与而来进行分情况讨论,如果 f[fa]f[fa] 本身不由 u 参与,那么 g[u]g[u] 应当是 fa 节点往下的最大值 +1+1 而来;如果本身 fa 往下的最大值由 u 节点参与,此时应当使用 fa 往下的次大值 +1+1 来更新 g[u]g[u]

因此我们需要对 ff 数组进行拆分,拆分为记录「最大值的 f1f1 数组」和记录「次大值的 f2f2 数组」,同时使用 pp 数组记录下取得 f1[u]f1[u]u 的子节点 j 为何值。

另外实现上,在处理「往上」方向的 DFS 时,为避免对 fa 节点为空的处理,我们可以将「用 fa 来更新 u」调整为「用 u 来更新 j」。

代码:

class Solution {
    int N = 20010, M = N * 2, idx = 0;
    int[] he = new int[N], e = new int[M], ne = new int[M];
    int[] f1 = new int[N], f2 = new int[N], g = new int[N], p = new int[N];
    void add(int a, int b) {
        e[idx] = b;
        ne[idx] = he[a];
        he[a] = idx++;
    }
    public List<Integer> findMinHeightTrees(int n, int[][] edges) {
        Arrays.fill(he, -1);
        for (int[] e : edges) {
            int a = e[0], b = e[1];
            add(a, b); add(b, a);
        }
        dfs1(0, -1);
        dfs2(0, -1);
        List<Integer> ans = new ArrayList<>();
        int min = n;
        for (int i = 0; i < n; i++) {
            int cur = Math.max(f1[i], g[i]);
            if (cur < min) {
                min = cur;
                ans.clear();
                ans.add(i);
            } else if (cur == min) {
                ans.add(i);
            }
        }
        return ans;
    }
    int dfs1(int u, int fa) {
        for (int i = he[u]; i != -1; i = ne[i]) {
            int j = e[i];
            if (j == fa) continue;
            int sub = dfs1(j, u) + 1;
            if (sub > f1[u]) {
                f2[u] = f1[u];
                f1[u] = sub;
                p[u] = j;
            } else if (sub > f2[u]) {
                f2[u] = sub;
            }
        }
        return f1[u];
    }
    void dfs2(int u, int fa) {
        for (int i = he[u]; i != -1; i = ne[i]) {
            int j = e[i];
            if (j == fa) continue;
            if (p[u] != j) g[j] = Math.max(g[j], f1[u] + 1);
            else g[j] = Math.max(g[j], f2[u] + 1);
            g[j] = Math.max(g[j], g[u] + 1);
            dfs2(j, u);
        }
    }
}
  • 时间复杂度:O(n)O(n)
  • 空间复杂度:O(n)O(n)

最后

这是我们「刷穿 LeetCode」系列文章的第 No.310 篇,系列开始于 2021/01/01,截止于起始日 LeetCode 上共有 1916 道题目,部分是有锁题,我们将先把所有不带锁的题目刷完。

在这个系列文章里面,除了讲解解题思路以外,还会尽可能给出最为简洁的代码。如果涉及通解还会相应的代码模板。

为了方便各位同学能够电脑上进行调试和提交代码,我建立了相关的仓库:github.com/SharingSour…

在仓库地址里,你可以看到系列文章的题解链接、系列文章的相应代码、LeetCode 原题链接和其他优选题解。