内卷大厂系列《打家劫舍三连击》

228 阅读5分钟

一起养成写作习惯!这是我参与「掘金日新计划 · 4 月更文挑战」的第4天,点击查看活动详情

一、打家劫舍I

你是一个专业的小偷,计划偷窃沿街的房屋。每间房内都藏有一定的现金,影响你偷窃的唯一制约因素就是相邻的房屋装有相互连通的防盗系统,如果两间相邻的房屋在同一晚上被小偷闯入,系统会自动报警。

给定一个代表每个房屋存放金额的非负整数数组,计算你 不触动警报装置的情况下 ,一夜之内能够偷窃到的最高金额。

示例一:

输入: nums = [2,3,2]
输出: 3
解释: 你不能先偷窃 1 号房屋(金额 = 2),然后偷窃 3 号房屋(金额 = 2), 因为他们是相邻的。

示例二:

输入:[2,7,9,3,1]
输出:12
解释:偷窃 1 号房屋 (金额 = 2), 偷窃 3 号房屋 (金额 = 9),接着偷窃 5 号房屋 (金额 = 1)。
     偷窃到的最高金额 = 2 + 9 + 1 = 12 。

leetcode

1、分析

方法一:一维dp,dp[i]含义:相邻位置不能劫,0~i位置得到的最高钱数

相邻的房子不能劫,当前来到i位置,罗列可能性:

  • 要(劫)i位置的钱,则加上i-2位置上的钱是当前i位置偷窃到的最高金额
  • 不要(不劫)i位置的钱,则i-1位置上的钱就是当前i位置上的最高金额

max(dp[i-1],arr[i] + dp[i-2])

方法二:不需要一维dp一整张表,只需要两个变量从左往右滚动更新即可

  • 当前i位置依赖于i-1位置和i-2位置
  • 当前i+1位置依赖于i位置和i-1位置

2、实现

// 方法一
public static int rob(int[] nums) {
    if (nums == null || nums.length == 0) {
        return 0;
    }
    if (nums.length == 1) {
        return nums[0];
    }
    int N = nums.length;
    int[] dp = new int[N];
    dp[0] = nums[0];
    dp[1] = Math.max(nums[0], nums[1]);
    for (int i = 2; i < N; i++) {
        dp[i] = Math.max(dp[i - 1], nums[i] + dp[i - 2]);
    }
    return dp[N - 1];
}

// 方法二
public static int rob(int[] nums) {
    if (nums == null || nums.length == 0) {
        return 0;
    }
    if (nums.length == 1) {
        return nums[0];
    }
    int pre2 = nums[0];
    int pre1 = Math.max(nums[0], nums[1]);
    for (int i = 2; i < nums.length; i++) {
        int cur = Math.max(pre1, nums[i] + pre2);
        pre2 = pre1;
        pre1 = cur;
    }
    return pre1;
}

二、打家劫舍II

你是一个专业的小偷,计划偷窃沿街的房屋,每间房内都藏有一定的现金。这个地方所有的房屋都 围成一圈 ,这意味着第一个房屋和最后一个房屋是紧挨着的。同时,相邻的房屋装有相互连通的防盗系统,如果两间相邻的房屋在同一晚上被小偷闯入,系统会自动报警 。

给定一个代表每个房屋存放金额的非负整数数组,计算你 在不触动警报装置的情况下 ,今晚能够偷窃到的最高金额。

示例一:

输入: nums = [2,3,2]
输出: 3
解释: 你不能先偷窃 1 号房屋(金额 = 2),然后偷窃 3 号房屋(金额 = 2), 因为他们是相邻的。

示例二:

输入:nums = [1,2,3,1]
输出:4
解释:你可以先偷窃 1 号房屋(金额 = 1),然后偷窃 3 号房屋(金额 = 3)。
     偷窃到的最高金额 = 1 + 3 = 4 。

示例三:

输入: nums = [1,2,3]
输出: 3

1、分析

打家劫舍环形问题,0位置和N-1位置的房子只能劫一个

选0位置的话,从0~N-2

不选0位置的话,从1~N-1

所以打家劫舍II就是打家劫舍I的分两次求解的最大金额,最后再max

当然可以像打家劫舍I数组空间压缩下,利用有限变量即可。

2、实现

public int rob(int[] nums) {
    if (nums == null || nums.length == 0) {
        return 0;
    }
    if (nums.length == 1) {
        return nums[0];
    }
    if (nums.length == 2) {
        return Math.max(nums[0], nums[1]);
    }
    int N = nums.length;
    int[] dp1 = new int[N];
    dp1[0] = nums[0];
    dp1[1] = Math.max(nums[0], nums[1]);
    for (int i = 2; i < N - 1; i++) {
        dp1[i] = Math.max(dp1[i - 1], nums[i] + dp1[i - 2]);
    }
    int[] dp2 = new int[N];
    dp2[1] = nums[1];
    dp2[2] = Math.max(nums[1], nums[2]);
    for (int i = 3; i < N; i++) {
        dp2[i] = Math.max(dp2[i - 1], nums[i] + dp2[i - 2]);
    }
    return Math.max(dp1[N - 2], dp2[N - 1]);
}

三、打家劫舍III

小偷又发现了一个新的可行窃的地区。这个地区只有一个入口,我们称之为 root 。

除了 root 之外,每栋房子有且只有一个“父“房子与之相连。一番侦察之后,聪明的小偷意识到“这个地方的所有房屋的排列类似于一棵二叉树”。 如果 两个直接相连的房子在同一天晚上被打劫 ,房屋将自动报警。

给定二叉树的 root 。返回 在不触动警报的情况下 ,小偷能够盗取的最高金额 。

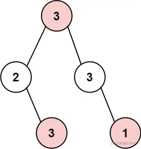
示例一:

image.png

输入: root = [3,2,3,null,3,null,1]
输出: 7 
解释: 小偷一晚能够盗取的最高金额 3 + 3 + 1 = 7

示例二:

image.png

输入: root = [3,4,5,1,3,null,1]
输出: 9
解释: 小偷一晚能够盗取的最高金额 4 + 5 = 9

leetcode

1、分析

二叉树上打家劫舍问题,利用二叉树的递归套路模型很好分析。

以x为头节点的树抢不抢,罗列可能性:

  • 抢x,子树获得的最好收益
  • 不抢x,子树获得的最好收益

2、实现

public static class TreeNode {
    public int val;
    public TreeNode left;
    public TreeNode right;
}

public static int rob(TreeNode root) {
    Info info = process(root);
    return Math.max(info.no, info.yes);
}

public static class Info {
    public int no;  // 整个子树,在不抢头节点的情况下,获得的最好收益
    public int yes; // 整个子树,在抢头节点的情况下,获得的最好收益

    public Info(int n, int y) {
        no = n;
        yes = y;
    }
}

public static Info process(TreeNode x) {
    if (x == null) {
        return new Info(0, 0);
    }
    Info leftInfo = process(x.left);
    Info rightInfo = process(x.right);
    // 不抢x的情况下,最好收益
    int no = Math.max(leftInfo.no, leftInfo.yes) + Math.max(rightInfo.no, rightInfo.yes);
    // 抢x的情况下,最好收益
    int yes = x.val + leftInfo.no + rightInfo.no;
    return new Info(no, yes);
}