24-两两交换链表中的节点
描述:
-
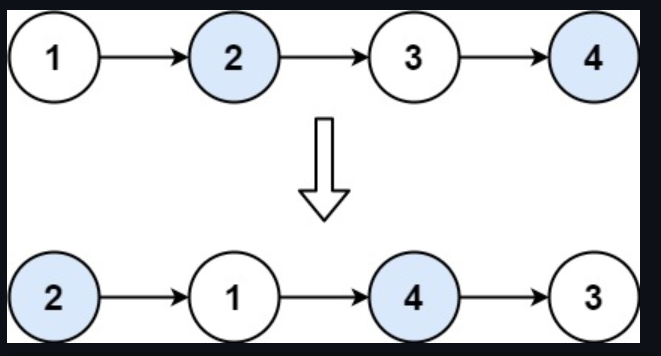
给你一个链表,两两交换其中相邻的节点,并返回交换后链表的头节点。你必须在不修改节点内部的值的情况下完成本题(即,只能进行节点交换)

思路:
- 这题的操作方法和206-翻转链表的方法类似, 206题每次遍历操作一个元素, 这个题, 操作两个元素
代码:
/*
* @lc app=leetcode.cn id=24 lang=cpp
*
* [24] 两两交换链表中的节点
*/
// @lc code=start
/**
* Definition for singly-linked list.
* struct ListNode {
* int val;
* ListNode *next;
* ListNode() : val(0), next(nullptr) {}
* ListNode(int x) : val(x), next(nullptr) {}
* ListNode(int x, ListNode *next) : val(x), next(next) {}
* };
*/
class Solution
{
public:
ListNode *swapPairs(ListNode *head)
{
ListNode *dummyHead = new ListNode(0); // 虚拟头结点
dummyHead->next = head;
ListNode *cur = dummyHead;
ListNode *first;
ListNode *second;
while (cur->next != nullptr && cur->next->next != nullptr)
{
first = cur->next;
second = cur->next->next;
first->next = second->next;
second->next = first;
cur->next = second;
cur = cur->next->next;
}
return dummyHead->next;
}
};